在电子系统设计中,晶振负载电容匹配是确保时钟信号稳定传输的核心环节。负载电容(CL)作为晶振谐振电路的关键参数,直接影响晶振的起振条件、频率稳定性及抗干扰能力。本文将从理论推导、工程实践及案例分析三个维度,聊聊晶振负载电容匹配的底层逻辑与实施方法。
一、负载电容匹配的理论基础
1. 晶振等效电路与谐振条件
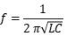
晶振的等效电路可简化为电感L、电容C和电阻R的串联模型。当输入信号频率与晶体固有频率一致时,电路发生共振,产生稳定的正弦波输出。其谐振频率公式为:

其中,L为晶体等效电感,C为等效电容,R为等效电阻。负载电容CL需与晶体内部电容C形成谐振,否则会导致频率偏移或起振失败。
2. 负载电容的物理意义
负载电容是晶振输出端与地之间的等效电容,包含PCB走线电容、芯片引脚电容及外部并联电容。其值需满足:
最小负载电容(CLmin):确保晶振在最低温度下仍能起振;
最大负载电容(CLmax):防止高频噪声耦合,避免信号失真。
二、负载电容匹配的工程推导
1. 负载电容与晶振参数的关系
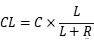
负载电容CL需与晶振的标称电容C、等效电感L及电阻R匹配。其关系可表示为:

其中,C为晶体内部电容,L为等效电感,R为等效电阻。该公式表明,负载电容需根据晶振的内部参数动态调整,以实现谐振。
2. 负载电容的计算方法
步骤1:确定晶振标称参数
从晶振数据手册中获取标称频率f、等效电感L、等效电阻R及标称电容C。
步骤2:计算理论负载电容
根据谐振频率公式,计算理论负载电容CL:

步骤3:调整实际负载电容
实际负载电容需考虑PCB走线电容(通常为5~10pF)及芯片引脚电容(约2~5pF)。例如,某晶振标称电容为30pF,若PCB走线电容为8pF,芯片引脚电容为3pF,则需通过并联电容补足19pF(30 - 8 - 3 = 19pF)。
3. 负载电容的容差控制
负载电容的容差需控制在±10%以内,以确保频率稳定性。例如,某晶振标称负载电容为30pF,实际容差需控制在±3pF以内,否则会导致频率偏移超过允许范围。
三、负载电容匹配的注意事项
1. 避免过驱动或欠驱动
驱动功率过大会导致晶振内部电场过强,引发压电材料疲劳;过小则无法维持稳定振荡。例如,某晶振标称驱动功率为100μW,实际驱动功率需控制在80~120μW之间。
2. 温度补偿设计
温补晶振(TCXO)需在-40℃~85℃范围内保持频率稳定。例如,某工业级晶振通过内置温度传感器与补偿电路,将温度对频率的影响从±10ppm降至±1ppm。
3. EMI抑制措施
晶振输出需通过滤波电路抑制高频噪声。例如,某5G模块采用π型滤波器(L1=10nH,C1=100pF,C2=10pF),将输出噪声从-40dBm降至-60dBm。
结语
晶振负载电容匹配是电子系统稳定性的基石。从理论推导到工程实践,工程师需综合考虑晶振参数、PCB布局及环境因素。未来,随着智能化与小型化技术的发展,负载电容匹配将向更高效、更可靠的方向发展,为智能硬件提供坚实的时钟保障。
