
数学不只是一门充满严谨逻辑和精确计算的学科,它还蕴含着深刻的美学价值和非凡的优雅。要让你感受到这一点,我计划引导你进入一个通常不为人所熟知的领域——高维数学。在这个领域,我们将超越常规的三维空间,探索更加复杂和奇妙的数学结构。
当我们探索高维空间时,可以从一个简单的三维物体——球——开始思考。在我们熟知的三维世界中,球是一个常见的形状。如果我们将这个三维球体降低到二维空间,它就变成了一个圆形;进一步将这个圆降维到一维空间,它将简化为一条线段。但如果我们改变思路,不是将球降维,而是将其提升到更高的维度,比如四维或者更多,会发生什么呢?在四维空间中,球的体积会有怎样的变化?如果维度增加到极端,如一百万维,甚至无限维,球的体积又将如何表现?这些问题帮助我们理解,在不同维度的空间中,即使是最基本的几何形状也可能呈现出完全不同的性质和特征。
这篇文章将探讨在不同维度空间中球体的体积,特别是那些半径为一单位长度的球。在数学上,这种球被定义为从中心点到空间中任意点的距离都相等的区域,这个固定的距离就是球的半径。研究的目标是计算出在不同维度(即n维)下,这些球体的体积是多少,并分析这些体积随着维度变化的规律。例如,从我们熟悉的三维球体,扩展到四维甚至更高维度的球体,它们的体积会有怎样的变化和特性。
推导体积公式
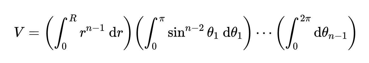
为了更具体地表示体积,我们转向球坐标系。众所周知,三维球体在球坐标系中的体积由以下方程给出:

如果我们采用构建上述三重积分中涉及的推理,我们可以将这个定义推广到更高的维度。遵循这种推理方法,得出的是用于计算半径为R的n维球体积的以下多重积分:

直观上,这代表了体积,因为这个多重积分是对所有可能的角度和半径进行积分。在某种意义上,它“覆盖”了超球体的整个体积——几乎与积分圆形或球体的方式完全相同。同时请注意,因为我们研究的是单位球,所以稍后代入R=1。
现在,让我们开始逐步解开这个嵌套积分。它看起来令人生畏,但一点点系统性的思考就能处理好。首先,我们注意到积分式中的每个因子都只是单一变量。因此,嵌套积分可以表示为所有子积分的乘积:

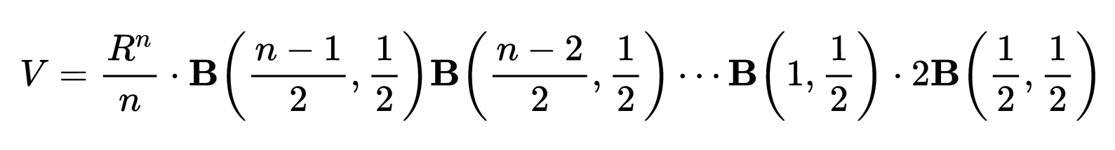
然后我们注意到正弦函数在π/2处对称。我们现在可以将积分范围改为[0, π/2],并提出一个因子:

我们将利用一个非常巧妙的定理(beta 函数):

Beta函数在数学的多个分支中扮演着重要角色,它是连接不同数学领域的一个桥梁,尤其是在处理涉及积分的问题时。
然后,我们看到体积可以表示为欧拉Beta函数的乘积:

现在,我们可以使用以下Beta-Gamma关系来使问题大为简化:

将这个关系代入体积方程中,得出一个美丽的伸缩乘积:

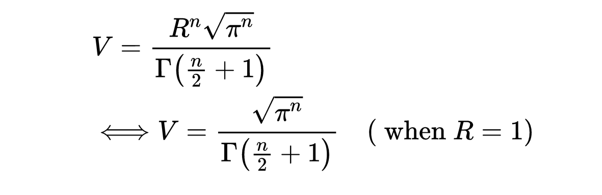
经过一些销项,得到:

众所周知,Γ(1/2)等于π的平方根。结合nΓ(n) = Γ(n+1)的事实,得出令人难以置信的简单结果:

在探索n维球体积时,我们发现了一个既精确又美观的公式。这个公式的关键在于它包含了伽玛函数和π的平方根这两个重要的数学元素。伽玛函数是一种推广了常规阶乘概念的函数,而π的平方根是一个广泛出现在各种数学和物理公式中的常数。
这个公式体现了数学领域内各种概念和方法之间深刻而复杂的相互联系。这些联系有时甚至超越了我们的直观理解,但它们构成了数学的核心和魅力。数学的这种互联性不仅是其独特之处,也是其美学的基础。
分析体积
在我们完成了公式的推导之后,下一步就是对它进行详细的分析。一种常见且直接的方法是将这个公式的结果用图形表示出来。通过这种图形化的表示,我们能够直观地观察到各种变量间的关系以及它们随参数变化的行为。在这个过程中,我们迅速发现了一些异常有趣的模式或特征,这些可能是在仅用数学语言描述时不容易注意到的。

在研究各个维度球体体积的过程中,发现了一个颇为引人注目的现象。上图计算了从0维到25维球体的体积变化,其中每个维度的单位球体(半径为1的球体)以红色表示。值得注意的是,在第五维时,单位球体的体积达到了顶峰,而随着维度的继续增加,体积却开始迅速下降,逐渐趋近于零。这种现象与我们的直觉相悖,但它在数学领域中却展现了一种令人着迷的特性。
为了证明这种渐近性,我们可以在极限情况下使用斯特林近似来处理伽玛函数,并在一些基本操作后,结果变得非常明显。
评论列表