二重积分、三重积分,是很多学生在学习高等数学时的懵点,公式能理解,但不知道为什么能这样求,二重积分为什么能求出体积?
如果只是考研的话,只需要记住这个公式,记住运算步骤,到时候直接套就行了。
但心里总还是有个疙瘩在,它这个求法的背后底层逻辑是什么?
本篇就彻底带大家理解,好让多重积分的理念在脑海里如同呼吸一样自然。如果你做不到这点,仅仅知道公式,那么以后更高级的理论如多维空间的建模、场论、傅里叶变换等等你都理解不了,高等数学仅仅是基础数学,靠死记硬背的话,你花一辈子都背不完。
先回顾下最简单的定积分。
定积分的公式是这样:

这个公式的意思,是以f(x)这函数为界与x轴围成的从a到b这个区域的面积,表述可能不严谨,图大概就是这样:

而结果表达式是:

而f(x)其实是F(x)的导函数,其实就是导函数的逆运算。
然后把b跟a代入到x,那么这个面积的最终表达式就是:
F(b)-F(a)
这个表达式算出来就是个常数,因为里面的变量x都被积分上下限替代了。
相信学完定积分的,对这个应该很理解。
其理念就是每个x值都有对应的f(x)值(或者y)
而每个y值都可以看成有长度但面积无穷小的一小块区域的面积。
其实就是dF(x)
它虽然有长度,但面积是无穷小的,那也意味着这个区域内却有无穷多个这样的无穷小区域。
也就是它这个区域的总面积,是由无穷多个无穷小的区域面积相加起来得出的数。
至于为什么无穷多个无穷小相加会是个常数,这是很高级的数学问题,我会在别的文章详细解释。
接下来在教材里面,会有个经典的例题,就是用定积分求体积。
题目大概是这样:
给了一个一元函数f(x),在x轴上截取a点到b点形成与f(x)围成的区域,也就是像上图那样。
然后把它放到一个三维直角坐标系里,把这个截取的区域,以x轴为圆心轴,旋转360°,形成了一个物体,求这个物体的体积。
图示大概是这样:

总之得出类似一个花瓶这样得物体。
求这个物体得体积V。
其思路就是,在任意一点,那把刀以垂直于x轴得方向一刀切下去,得出得横截面一定是个圆。
那么可以看成,这个物体,是由无穷多个圆面“积”出来得。
每个圆面看成是个体积无穷小的区域。
而每个圆面的面积跟什么有关呢?跟x有关。
因为每个x对应的y值(或f(x)值),就是这个圆面的半径。
那么其实这个圆面的面积,就是

不同的x值对应不同的圆面积,而把这些圆面“积”成体积,也就是对被积函数从a点到b点求对x的积分。
所以这个体积的表达式就是

以上就是定积分求体积的思路,很简单,如果你连上面内容都理解不了,那么不用往下看了,后面多重积分你肯定理解不了的。
接下来就是二重积分。
二重积分也是求体积。
简单来讲,就是求一个二元函数f(x,y),在某个xy的取值区域,形成的z值“积成”的体积。
(我表达也许不是很严谨,但这是为了方便大家理解)
首先二元函数的图像,是要用三维直角坐标系来显示,大概是这样:

这是一个立体图,你可以想象成一个帽子这样的物体。
不同的x,y值,对应不同的z值,形成的一个凹凸不平的面,就是二元函数f(x,y)的图像。
而二重积分,其实是求这个物体的体积:

这个物体的顶面,是二元函数f(x,y)形成的面。
而现在照着底部区域Dxy,对着这个二元函数形成的面切下去,形成的一个物体。
现在求这个物体的体积。
这个思路是怎样呢?
先简单一点,我们假设现在底部区域Dxy由x=a,x=b, y=c,y=d这几条直线围成的区域。
现在,我们拿一把刀,以平行于y轴的方向,在这个a点到b点之间区域任意一点切下去,得出一个截面,如图:

如图,这个绿色区域,就是它的横截面。
我们现在求它的面积。
因为这个刀法,是平行于y轴切下去,所以x是个固定值,我们可以把它看成常数。
我们假设,这个刀就是沿着x=3这条直线切下去的。
那么这个留在f(x,y)这个函数图像形成的面的切痕的表达式,就是
f(3,y)
等于是把常数3代入到x里面,使x成为固定常数3.
而这个f(3,y)的函数图像,其实就是这样:

它就是在f(x,y)这个曲面上的一条曲线。
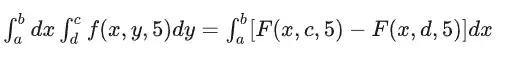
现在我们想要求这个横截面的面积,实质上就是在被积函数f(3,y)在c点到d点对y求定积分。
其表达式为:

其实这个是对一元函数求定积分,因为x值是常数嘛,也就是对一元函数的求导逆运算。
求出结果的表达式为:

这个算出来的值,就是这个横截面的面积。
因为给了x=3这样的固定值,而y值最终被定积分上下限c,d替代,所以这个式子最终能求出来一个常数。
现在我们思考下,这个物体的体积,是不是由这个无穷多个横截面“积”出来的?
而这些横截面的面积,是不是只和x有关?
你瞧,对于x不同的取值,会得出不同的面积。
我们可以取x=4,x=5,x=6等等。
所以,这个横截面的面积大小,其实是自变量为x的一元函数。
这时肯定有同学要问了,那么y呢?你忘了y啊!y不是变量吗?为什么只剩下x了?
因为这个定积分求出来,y值最终会被积分上下限取值给替代掉,你会发现这个面积的表达式里面不存在y这个字母了。
所以,对于任意横截面面积的表达式,就是
F(x,c)-F(x,d)
所以,这个横截面的面积,只和你沿着x等于几的切法有关,它是只含x作为变量的一元函数。
其实这就回到了前面定积分那个简单例题,那么旋转体形成的花瓶的体积。
这个花瓶的体积是由无穷多个圆面“积”出来的,每个圆的面积,其实只跟x的取值有关,不同x的取值对应不同的半径y,也求出不同的圆面面积。
同样的,在这里不同横截面的面积只和x有关,而这个物体的体积,就是由这些无穷多个横截面“积”出来的。
所以,我们只需要对这个横截面面积函数作为被积函数,在a到b范围内对x求积分,最终就能得出这个物体的体积。
也就是:

等于是又求了次定积分,所以叫二重积分。
我们把上述的两次积分,写成一个表达式就是:

记住,多重积分计算,是从右边开始,从右往左算。把最右边的积分算出来,套入左边的积分表达式,然后再算。
也可以这么表示:

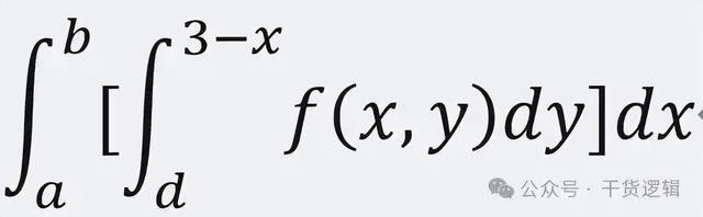
然而,有些时候,那个底部区域的范围,并不是那么简单的给出四条分别垂直于x轴y轴的直线。
例如,底部区域是由x=a, x=b,y=d, x+y=3,这三条支线围成的区域。
如图:

那么这时候,这个二重积分的函数表达式就变成这样:

或是

你会发现那个求横截面面积的定积分表达式里面,积分上限不再是一个常数,而是一个3-x的函数表达式。
也就意味着,积分上限也是随着x变动而变动。
这很好理解。
我们同样拿一把刀,以平行于y轴的方向,在x=a与x=b之间切下去。
如图:

你会发现,这切出来的横截面的右边那条边,是x+y=3这条直线与你的刀相交的点为起点。
所以,对于不同的x取值,对应了不同的积分上限,这个积分上限就是3-x。
所以,最终这个横截面的面积表达式就是:
F(x,3-x)-F(x,d)
它依然是个只含x作为变量的一元函数。
所以,二重积分求体积的通用表达式就是

以上就是二重积分求体积的思路。
下面就讲到三重积分,如果你对上面的内容还是不明白,那么就先不要往下看,把上面看懂了再继续往下看。
三重积分,可以看成是对三元函数求积分。
一元函数求积分,也就是定积分,其取值范围是x的变量,它是一条线,是一维的。
二元函数求积分,也就是二重积分,其取值范围是x,y的变量,它是一个平面区域,是二维的
而到了三元函数求积分,就是三重积分,其取值范围是x,y,z的变量,它是一个三维体区域,它是一个立体物体,这个立体物体从内到外的每一个点就是x,y,z的取值。
而三元函数f(x,y,z)的函数图像,我们人类是无法画出来的,因为它需要在一个四维坐标系表达出来,而我们人类是无法想象出四维空间,所以三元函数只能给出表达式。
但它的取值范围就可以画出来,就是上面说的,是一个立体空间区域。
对三元函数求积分,其现实意义可以看成:有这么个物体,这个物体从内到位每个点的密度可能都不一样,现在要求出这个物体的总质量。
那么这个求法,就是对三元函数求积分,也就是三重积分。
其实就是每个不同的(x,y,z)坐标点,都对应了一个值f(x,y,z),把所有的这些值“积”出来,就是三重积分。
三重积分有三种求法,分别是投影法,截面法,球面法。
先说投影法:
现有三元函数f(x,y,z), 其给定x,y,z的取值范围,是一个长方体,底部由x=a,x=b,y=c,y=d组成,高为h,如图:

现在求这个函数的三重积分。
投影法的思路是,先在底部区域内任意取一点(x,y)。
(严谨的讲,这一点的正确坐标表达式是(x,y,0))
然后从这个(x,y)点出发,做一条垂直于xoy平面的线,一直到三元函数积分区域的顶部。
用被积函数f(x,y,z)对这条线求积分,其实就是对z求定积分。
因为这是个长方体,所以比较简单,其积分上下限分别是z=h,z=0(h就是这个长方体的高)
这时x,y的取值是固定的。
其表达式为:

这个表达式的意思是,把x,y看成是一个常数,,z是这个式子里的唯一变量,并对z求积分。
或者我就直接给个取值吧。
取一个xy取值为(4,5)的点。

那么这个表达式就是:

其结果就是
F(4,5,h)-F(4,5,0)
最终得出来是个不带任何变量的常数。
这么做的意义是什么呢?
首先,如果f(x,y,z)是个密度函数,求这个函数的三重积分其实就是求这个长方体的总质量。
而上面求出来的结果,你可能以为是这条“线”的质量,其实不是,这条线的质量依然是无穷小的,我们可以看成这是线密度。
而最终,我们把这个取值范围内,任意(x,y)取值所发出的射线,把它全部“积”起来,它有无穷多个,也就是把无穷多的线密度积出来,就是求出了这个长方体的总质量。
(我之所以举质量跟密度,是为了让大家好理解,其实你可以完全抛开质量跟密度。
我们把被积函数f(x,y,z)的原函数记为G(x,y,z), 也就是我们把三重积分的最终结果先标记为G(x,y,z)
对于任意给定的(x,y)取值,都有个对应的值

但我为了方便大家理解,我后面会把这个

说成是线密度)
于是,任意一个点(x,y),都有对应的一个线密度。
而这个线密度的大小,只和x,y的取值有关,跟z无关。
因为求定积分的时候,z已经被积分上下限代入了,所以最终表达式里面不含变量z。
这个定积分求出的结果就是
F(x,y,h)-F(x,y,0)
你会发现,会得出一个只含x,y的函数表达式。
也就是一个二元函数,我们就把它记为g(x,y)吧。
而它就是线密度函数。
不同的(x,y)取值,对应不同的g(x,y)值。
我们就可以画出这个二元函数的图像。
g(x,y)值就是线密度值,并且xy的取值范围也有了,把所有这些无穷多的线密度值“积”起来,就是总质量。
也就是最终我们只需对这个g(x,y)求二重积分,就求出这个长方体的总质量。
也就是f(x,y,z)的原函数G(x,y,z)
把前面所有步骤结合起来。
这求长方体质量的三重积分的表达式就是:

或者可以这么写:

但这还不是通用的表达式。
像前面二重积分一样,有时候三重积分的积分区域,并不是那么规则。
例如,f(x,y,z)的取值范围,是一个原本的长方体,被一把刀沿着z-y=3的线,垂直于z0y平面的方向劈下去,形成的物体,如图:

这时,对被积函数f(x,y,z)求z的定积分的下限,不再是常数,而是带有变量z的表达式。
对于不同的xy取值都有不同的下限。
那么三重积分的表达式变为:

所以,通用的表达式应该是:

以上就是投影法求三重积分。
除此之外,还有截面法。
其实如果你理解了前面投影法,那么截面法也很好理解,只是思路顺序变了而已。
界面法的思路,是在z取值范围内,拿一把刀以任意z的取值作为高度,以平行于xoy平面的水平方向切过去,得出一个平行于xoy平面的横截面,如图:

这时候,z是给定的,可以看成一个常数。
求的就是在给定z取值的情况下,得出一个有xy不同取值形成的面。
得出一个二元函数:

例如给定z=5,那么其二元函数就是:

对这个二元函数求二重积分,表达式便是

这个表达式最终算出来是个常数。
其结果是:

最后把上下限b跟a代入到x,最终式子里没有一个变量,全是常数,得出的结果也是常数。
我们把这个二重积分求出来的值称为面密度。
也就是说,不同的z取值,对应不同的面密度。
这个面密度只跟z取值有关。
那么这个面密度的函数表达式为:

而这个表达式最终会得出只带变量z的函数表达式。
而最终这物体的总质量,就是把无穷多个面密度“积”出来。
那么,我们只需对这个只带变量z的函数表达式再求一次定积分,就能求出其总质量。
所以,截面法的通用表达式就是:

其实,如果你理解了三重积分,用同样思路,可以用在N重积分。
本质上这些运算,是一步步的降维。
最终把结果以一维的状态呈现。
什么是一维,常数就是一维,一个具体的数值。
例如在二重积分里,我们先求出截面面积的函数表达式。
实际上让每个x值对应一个面积值,让这个体积函数成为了一元函数。
如图:

fxy(x,y,z)
然后对这个一元函数求定积分,最后形成了一个具体的数值。
三重积分也是,那个投影法,本质上是把原来的 物体,压成了一个面,面上每个点代表了一个原来物体的线密度。
而截面法,就是把每个面密度,压成了一条线,每条线代表一个面密度。
所以,对于后面的N重积分,本质上都在重复同样的方法,就是不断的“降维”。
=========================================================
想不到那么多人点赞,感谢大家的支持,那我就把这贴作为长期更新贴,继续讲下去。
接下来是如何像呼吸一样自然的理解第一类曲线积分
刚开始学曲线积分,许多同学最容易懵逼的点,就是为什么f(x,y)能表示成曲线?
因为我们学曲线积分前,学的是N重积分。
在学二重积分的时候,二元函数我们用f(x,y)来表示,它的函数图像是一块面,就如同一块有凹凸的布浮在三维直角坐标上,如同这样:

上图的x,y是任意取值。
那么到了曲线积分,怎么又能用f(x,y)来表示曲线呢?
难道这两块是不同的知识体系?
其实,空间曲线的完整表达式,应该是:
f(x,y),y=g(x)或x=g(y)
或者直接这么表达:
f(x,g(x))
它等于是让x,y不再任意取值,而是给定了x跟y之间的函数关系g,然后在套入到二元函数f里面求出z。
于是,它的函数图像应该是这样:

如果没给出x跟y之间的函数关系g(x),那么原本f(x,y)就是一块浮在xoy平面之上的一块布,就如同前面第一张图那样。
而一旦规定了x跟y的函数关系g(x),就形成了现在这一张图。这相当于拿着一把刀,对着f(x,y)这块布,沿着g(x)的轨迹切下去。这块布上的切痕,就是曲线函数f(x,y)
而y=g(x),则是f(x,y)在平面xoy上的投影。
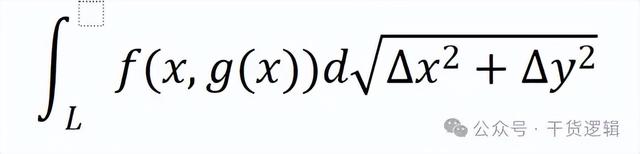
而第一类曲线积分,就是在y=g(x)上从一个点到另一个点之间,例如a点到b点,把每个(x,y)点,对应的z值“积”出来。
也就是求下图阴影部分面积:

它的函数表达式为:

或者:

亦或者x跟y的函数关系是用参数方程表示:

为了方便理解,你可以看成,它相当于给出了g(x)上每个(x,y)点的密度z(或者f(x,y)),用积分的方式求出了这条g(x)曲线的质量。
其中,这个公式里L表示的是g(x)的弧长,或者说是空间曲线f(x,y)投影到xoy平面上的弧长。
而ds,指的是曲线微元,或者弧微元,是指g(x)这条曲线的长度微分,或者说是空间曲线f(x,y)投影到xoy平面上的弧的长度微分。
在这里同学们很容易犯的错误,就是把L跟ds分别表述成,是曲线f(x,y)的弧长,跟曲线f(x,y)的弧长微分,因为式子里的被积函数是f(x,y)嘛!这是错的!正确表述应该是f(x,y)投影到xoy平面上的g(x)曲线的弧长与弧长微分。
还记得在二重积分里,积分区域是用xoy平面上取一小块平面来作为积分区域嘛?在这里同样也是在平面上取平面弧的一小段作为积分区域。
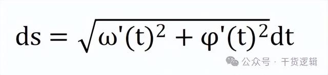
其中,ds是简化了的表达,完整表达应该是:

为什么呢?
因为弧长的微元,看成是取弧长极小的一段,按照勾股定理,这一小段的变化,可以看成是两个直角边的平方和的开方:

那么一类曲线积分更完整的表达式应该是:

那这个公式该怎么求呢?
我随便举一个,例如

该怎么运算呢?
一些同学就可能先求出原函数,也就是导函数逆运算得出原函数为 12x2
同学你错啦!
我们学习积分,很重要的是要搞懂什么是被积函数,什么是积分对象。
如果积分对象是x,也就是这式子后面跟的是dx而不是ds,那么这个答案没毛病。
然而后面跟的是ds,那么积分对象是弧长元素,就不能直接这么算了。
该怎么算呢?
思路就是把积分对象转换,如果能把积分对象变成dx,那么就好办了。
按照教材,这时候我们可以用第二类换元法。
构建一组参数方程:

通过用中间变量t,来表达x与y之间的函数关系。
因此:

那么换算下,就可以得出:

这样,我们就可以把原来的积分公式里面的变量换成t,积分区域L换成了t的取值范围,我们就设α≤t≤β
而因为

那么按照上面,我们把它换成只含变量t的方程:

然后我们可以把根号里面的dt提出来,变成:

那么原来的积分公式,就可以变成这样:

这样,我们就能把原来的积分公式,变成只含变量t的函数,这样就能按一般的定积分运算来算出来。
而如果题目直接给出了x,y的函数关系y=g(x)
那么我们就可以构建中间变量为x的参数方程,这样最后的积分对象就是x了:

因为对x求导就是1,那么上面的ds,就可以变成:

因为前面这个函数图像:

对应的表达式,就是:

这样就能算出这条曲线的总质量。
而如果求弧长L,其实就是上面这个通用算法的特殊形式。
就是把f(x,y)=1
也就是对常数1求曲线积分,或者说这个曲线的密度每一点都为1
那么表达式就变成:

为什么这样就能求出弧长L?
首先,如果不给定x,y之间的函数关系,那么f(x,y)=1的函数图像是这样的:

就是一块平行于xoy平面,离xoy平面距离为1的平面,这个平面是无限大的。
而一旦给出了x,y的函数关系y=g(x)
就相当于在f(x,y)这个平面上,拿把刀按着g(x)的曲线切,这个切痕就是f(x,g(x))=1
并且,它跟xoy平面上的投影曲线g(x)是完全一样只不过在不同平面,并且相互平行,相互垂直距离为1,如图:

而f(x,y)=1的曲线积分,就是求上图绿色阴影部分的面积。
如果把这个绿色的面拉直,它就是一个长方形面积。它的长为曲线g(x)的长度L,高为1
而面积除以高,就是长。
高就是f(x,y)或者z的取值,它恒为1嘛。
所以面积除以1,得出的数值就是L的长度。
所以

其实这个弧长求法,我觉得才是这个一类曲线积分里面最具现实意义的知识点。
因为有了这个,于是平面中,任给的一条连续的函数曲线y=g(x),从某个点到某个点的这个曲线弧长,都可以用下面公式求出:

当然,不等式右边的根号外的那个1可以直接去掉,我是为了让大家直观理解,因为f(x,y)等于1,所以右边直接用1取代了f(x,y)
上面就是二元曲线积分,下面简单讲讲三元曲线积分。
其实很简单。
三元曲线的函数表达式为:

亦或者:

还记得在三重积分里,积分区域是三维坐标系里的一个立体物体吗?而三元函数的函数图像我们是想象不出来的,因为它需要四维坐标系,我们只能想象并画出其积分区域。
而x,y,z一旦给定了函数关系。
那么实际上,f(x,y,z)的函数图像就变成了在四维坐标系的一条曲线,当然我们画不出来。
但我们可以画出它的三维坐标系的投影,它就是一个悬浮在立体空间区域的弧。

而积分区域L,就成了而这条立体区域曲线的长度。
还记得前面二元曲线积分,L是指f(x,y)投影在xoy平面的曲线g(x)弧长;到了这里,三元曲线积分,L就成了三维空间里的弧的弧长。
而三元曲线积分如何用图像表示呢?大概是这样:

很抱歉,无法画。
因为它是这条三维曲线的每一点,到四维曲线上对应点的距离的积分。或者说是四维曲线的每一点到三维空间投影的每一点的距离,再把它积分。
四维曲线我们是想象不出来的,所以也无法画。
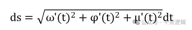
而ds,就等于:

那么,三元曲线积分的完整表达式,就可以这样:

以上就是一类曲线积分,在下一篇中,会带大家呼吸般自然的理解第二类曲线积分与格林公式。
未完待续,持续更新