
(从小学到高中,贯穿K12的奇妙之旅)
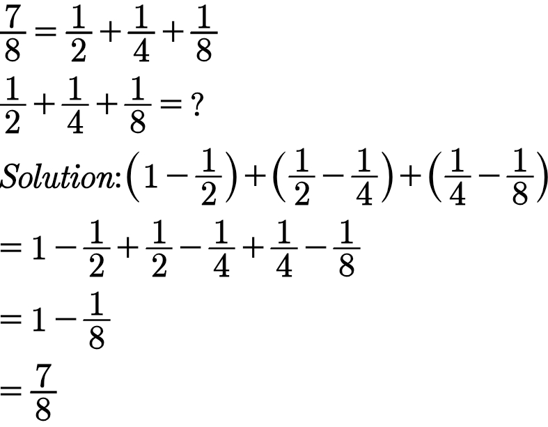
公元230年的中秋之夜,魏国刘徽的家中夜宴渐入佳境,而管家胡大却愁眉不展。备有9枚月饼,老夫人和老爷夫人各分1枚,剩下7枚要分给8位晚辈,这可如何是好.
众人一筹莫展之际,刘徽的弟弟提议:" 把7枚月饼摞起来切4刀就有56块,每人取7块.
年仅18岁的刘徽笑着说:"不必如此麻烦. 每人应得7/8枚月饼,只需这样切...
刘徽提出了惊艳全场的分配方案,这是震惊四座的最佳方案,问题来了,你知道刘徽是如何用数学思维破解月饼分配难题?


分配方案:共进行三轮分配。
第一轮:4枚月饼两等分得到8块;8×½枚)
第二轮:2枚月饼四等分得到8块;(8×¼枚)
第三轮:1枚月饼八等分得到8块。(8×⅛枚)



极客数学帮1

柯西,极客数学帮


正向问题和逆向问题

为什么叫做伸缩技巧?请看下图:

海盗的望远镜,可以伸缩。


巴塞尔问题和欧拉的答案

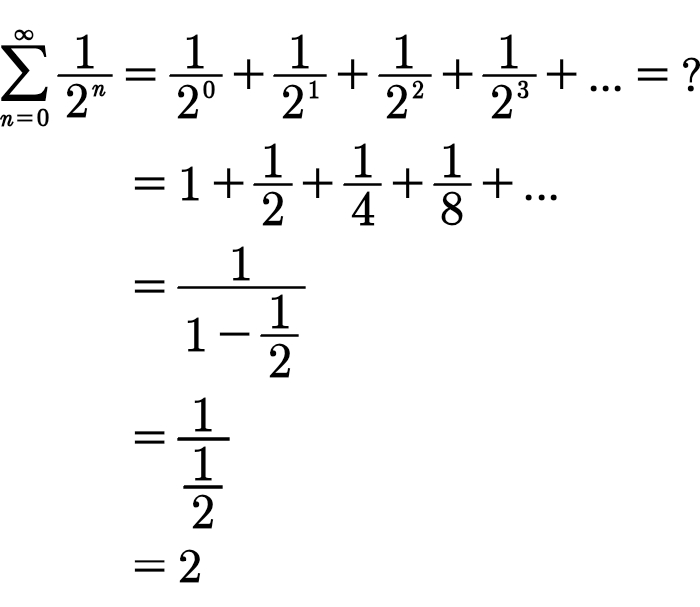
无穷级数求和

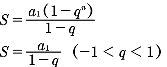
等比数列求和公式和无穷递缩等比数列各项的和的公式

埃及分数的知识概括

与贾宪三角形(杨辉三角形)交相辉映的莱布尼茨三角形了解一下。这个了不起的三角形对于微积分的创立产生了深刻的影响。

科学尚未普及,媒体还需努力。感谢阅读,再见。