我们来看一道题,题目呈现如下图所示:

我们先看看学生家长对这道题的看法:
这个第21题,这应该是小学里面比较典型的燃烧蜡烛类的题,有些题是燃烧速度一样蜡烛长度不一样,这种比较简单一些,可以借用画图分析倍数关系等传统小学方法来解决。有些题则是燃烧速度不一样但是长度一样,这种不太好画图,其实我相信应该有画图的方法,但是我也没学会,然后看这里的答案解读,真的是越看越懵,到现在我也没有完全看懂这个答案,更不用说怎么讲了。直接受燃烧的时间为x小时,蜡烛长度为1,很容易得到1-3/x等于3倍的1-5/x,然后解方程即可。考虑到小学四年级的学生,对于涉及到分数的方程解起来特别不容易,也可以以3和5的最小公倍数结合生活常识,设定蜡烛的长度为15厘米,很容易知道一个是每小时三厘米,一个是每小时5厘米,也可以设方程15-3 x=3(15-5 x),解得x=2.5。
这两道题是我到目前为止遇到的,坚决要用方程解的题,用传统的方法根本讲不清楚,并且是严重的没苦硬吃,我也不清楚专业的小学老师会用什么方式来讲这样的题,但是就这两道题的书面答案解释来看,实在是有点糟糕,并且这个是学而思大白本的资料,应该还是比较有权威的。
以上是学生家长的反馈,发表在微信公众号里,表述上的错误我一字未动,照单全收。
利用等量关系列方程求解是容易的,但是学生家长看不懂学而思的答案解析。

上图是学而思大白本提供的答案解析,学生家长看后感到费解。不看答案,列方程的话学生家长能够解出正确答案。
现在我们来分析题目。

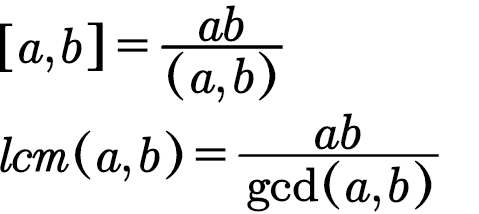
小学数学有一个漂亮的公式,如上图所示。因为学过无用的英语,所以知道这个公式有两种形式,lcm是最小公倍数的英语缩写,gcd是最大公约数的英语缩写。
蜡烛️的长度可以设置成1,也可以设置为15,说15㎝不严谨,说15个单位长度就没有问题了。

列方程解应用题大家都没有问题,那么我们的重点是如何推理得到答案。
有时候数学解题好比警察破案。这道题不用数学老师出手,帽子叔叔也能够解答,通过一步步的推理。
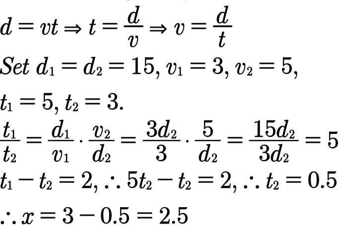
一根蜡烛️有三个属性:长度d,剩余燃烧时间t和燃烧速度v。这三个量,d和t是变量,v是常数。为什么v是常数呢?因为它必须是常数,蜡烛燃烧问题看作速度恒定,这样有解,如果是变速燃烧,那么出题老师考微积分吗?显然,不会考微积分,所以v必须是常数,这是应用题的潜规则。
两根蜡烛的燃烧速度不同,用下标1和2区别。
分析一下吹灭蜡烛后剩余燃烧时间之比为什么是1:5。
上图给出了推理过程和结论。
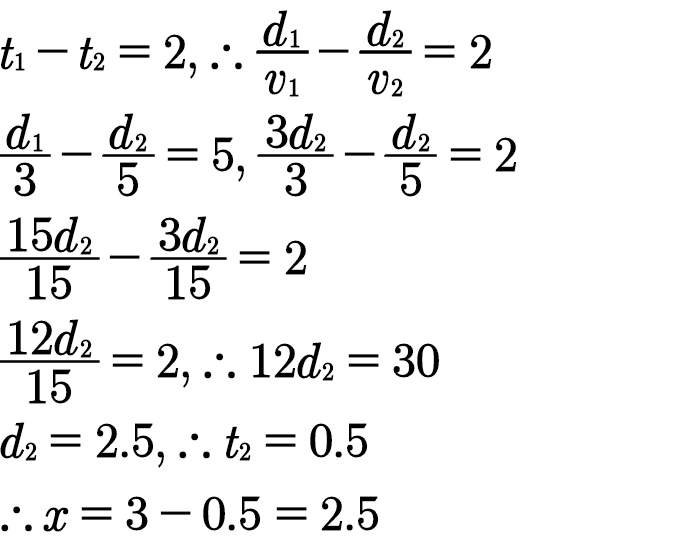
因为两个蜡烛同时点燃和同时熄灭,所以变化过程中有不变量,即剩余燃烧时间之差不变,恒等于2小时。

以此为突破口,可以解题。x表示停电时间。
希望能够帮助大家理解答案解析,帮助同学们训练数学思维。

科学尚未普及,媒体还需努力。感谢阅读,再见。