“把主导世界的作用力统一起来”,这个看似简单的命题,已经困扰了物理学界整整一个世纪。在大众认知中,常常流传着 “强弱力与电磁力已实现统一,唯有引力顽固不化” 的说法,但这其实是对前沿物理研究的误解。本人作为一名乐于学习的 “吃瓜群众”,深知科学探索的严谨性 —— 真正的 “大统一理论” 远未达成,四种基本力的融合之路,比我们想象中更为曲折漫长。

迄今为止,科学界的共识是:宇宙间所有物质的运动与变化,皆由引力、电磁力、强力、弱力这四种基本相互作用力主导,不存在任何例外。若有人能发现超出这四种力的新相互作用,无疑将是物理学史上的重大突破,足以问鼎诺贝尔奖。
但现实是,人类对这四种力的统一探索,仅完成了 “万里长征的第一步”:电磁力与弱力的统一已得到实验验证,强力的统一仍在理论与实验的矛盾中挣扎,而引力的融入,则更是迷雾重重、前路未卜。
人类对 “力” 的认知,经历了从模糊到清晰、从宏观到微观的漫长演进。早期文明对世界的解释充满哲学思辨:东方的 “金木水火土” 五行学说,希腊的 “水、火、土、气” 四元素理论,都试图用简单的物质形态概括宇宙本质,却从未触及 “相互作用” 的核心。直到近代科学的兴起,人类才逐渐揭开了力的神秘面纱。
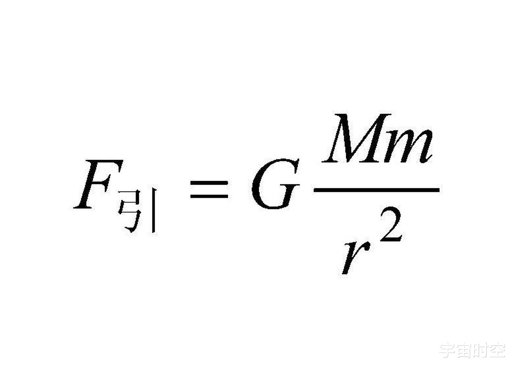
17 世纪,伽利略通过自由落体实验推翻了亚里士多德的传统力学观,为引力的研究奠定了基础。随后,牛顿在《自然哲学的数学原理》中提出万有引力定律,首次用数学公式描述了宏观物体间的相互吸引:F=G・(m₁m₂)/r²。

这一理论成功解释了行星公转、苹果落地等现象,让人类意识到,宇宙间所有有质量的物体,都被这种 “超距作用” 所羁绊。
但牛顿的理论并非完美。1915 年,爱因斯坦提出广义相对论,彻底颠覆了 “引力是超距作用” 的认知。他指出,引力的本质是时空弯曲—— 质量越大的物体,对周围时空的扭曲程度越显著,而物体的运动轨迹,正是在弯曲时空中的最短路径。

例如,地球围绕太阳公转,并非是太阳对地球的 “拉力”,而是太阳的质量扭曲了太阳系的时空,地球沿着扭曲时空的测地线运动。广义相对论的出现,让引力成为第一种被赋予 “场” 属性的基本力(引力场),也为后续的统一场论研究埋下了伏笔。
19 世纪中叶,麦克斯韦通过一组方程组(麦克斯韦方程组),首次将电现象与磁现象统一起来,提出了电磁力的概念。

这一理论证明,电场与磁场可以相互转化,形成电磁波(如光),而电力与磁力本质上是同一种力的不同表现形式。电磁力的公式为 F=k・(q₁q₂)/r²,其强度远超引力 —— 两个电子间的电磁斥力,是它们之间引力的 10³⁹倍。
电磁力的应用贯穿了人类文明的进程:从日常的灯光、电器,到量子层面的原子结构(电子与原子核通过电磁力结合),再到化学反应的本质(化学键的形成与断裂),都离不开电磁力的作用。更重要的是,麦克斯韦的理论首次实现了 “两种力的统一”,为科学界提供了 “力可以被统一描述” 的范例,激发了后续的统一场论探索。
20 世纪初,量子力学的兴起让人类的认知深入到原子内部,此时人们发现,仅靠引力和电磁力,无法解释原子核的稳定性。例如,原子核由带正电的质子和不带电的中子组成,质子间的电磁斥力本应让原子核分崩离析,但实际上原子核却异常稳定 —— 这意味着存在一种更强的力束缚着核子,这就是强力。

强力的作用范围极短(仅为 10⁻¹⁵米),但强度是电磁力的 137 倍,它不仅束缚质子和中子,还能将夸克(构成质子、中子的基本粒子)结合在一起。与强力相反,弱力的作用是引发粒子衰变(如 β 衰变),其强度仅为电磁力的 10⁻¹³ 倍,作用范围更短(10⁻¹⁸米),但它却是宇宙中元素合成的关键 —— 没有弱力,恒星内部的核聚变无法进行,碳、氧等生命必需的元素也无法产生。
到 20 世纪中期,科学界正式确认了四种基本力的存在:强力、弱力主导微观世界(原子及以下尺度),电磁力、引力主导宏观世界(日常尺度及宇宙尺度)。

这四种力各自遵循不同的规律,拥有独立的数学模型 —— 引力由广义相对论描述(几何化的经典场论),电磁力、强力、弱力由量子场论描述(量子化的粒子交换模型),这种 “理论分裂” 的状态,让科学家们迫切渴望找到一种统一的框架,将四种力囊括其中。
在广义相对论提出后,爱因斯坦意识到,引力场与电磁场或许可以统一为一个 “统一场”。从 20 世纪 20 年代开始,他将余生的全部精力投入到统一场论的研究中,试图建立一个能同时描述引力和电磁力的数学模型。
爱因斯坦的思路是 “几何化”—— 既然引力的本质是时空弯曲,那么电磁力是否也能通过更高维度的时空几何来描述?他尝试在四维时空的基础上增加额外维度,构建复杂的黎曼几何模型,但始终未能找到自洽的解决方案。1955 年,爱因斯坦在遗憾中逝世,他的统一场论研究也随之沉寂。
为何爱因斯坦会失败?一方面,当时科学界尚未发现强力和弱力,统一的目标仅局限于引力和电磁力,缺乏更完整的 “力的图景”;另一方面,广义相对论是经典场论(不考虑量子效应),而电磁力在微观层面需要量子化描述,两种理论的数学基础存在本质冲突 —— 爱因斯坦始终拒绝量子力学的概率性诠释,坚持经典物理的确定性,这也让他的研究陷入了瓶颈。
爱因斯坦逝世后,量子力学进入飞速发展期,强力和弱力的发现让人类意识到,宇宙的复杂性远超想象。但科学家们并未放弃统一的梦想,反而将目标升级为 “四种力的大统一”—— 即建立一种 “大统一理论”(Grand Unified Theory,GUT),用一个数学框架描述所有基本相互作用力。
1954 年,杨振宁与 R. 米尔斯发表了《同位旋守恒和广义规范不变性》一文,提出了非阿贝尔规范场论(杨 - 米尔斯理论),为大统一理论的研究开辟了关键路径。该理论指出,电磁力、强力、弱力的共同本质可能是 “规范不变性”—— 即物理规律在某种局部对称变换下保持不变。这种对称变换就像一种 “校准” 机制,不同的规范对称性对应不同的相互作用力:电磁力对应 U (1) 规范对称,强力对应 SU (3) 规范对称,弱力对应 SU (2) 规范对称。
杨 - 米尔斯理论的核心贡献,是揭示了 “力的传递者”—— 即规范玻色子。

在量子场论中,力的传递并非 “超距作用”,而是通过交换某种粒子实现:电磁力的传递者是光子(无质量),弱力的传递者是 W⁺、W⁻、Z⁰玻色子(有质量),强力的传递者是胶子(无质量)。这一理论为后续的力的统一提供了统一的数学语言,被物理学家们誉为 “20 世纪最伟大的理论贡献之一”。
尽管杨 - 米尔斯理论奠定了基础,但弱力的传递者(W⁺、W⁻、Z⁰玻色子)为何有质量,而光子却无质量?这一问题成为阻碍电弱统一的关键。1967 年,温伯格和萨拉姆在格拉肖早期研究的基础上,引入了希格斯机制,成功解决了这一难题。
他们提出的 “电弱统一模型”(标准模型的核心部分)指出,在宇宙早期(能量极高的状态下),电磁力和弱力是同一种 “电弱力”,遵循 SU (2)×U (1) 规范对称;随着宇宙冷却,能量降低,希格斯场自发对称性破缺,W⁺、W⁻、Z⁰玻色子通过与希格斯场相互作用获得质量,而光子则未参与这一过程,保持无质量状态 —— 这就导致电弱力分裂为电磁力和弱力,呈现出不同的特性。
这一理论的精妙之处在于,它不仅统一了电磁力和弱力,还预言了希格斯玻色子(“上帝粒子”)的存在 —— 希格斯场的激发态就是希格斯玻色子,它是赋予其他粒子质量的 “根源”。

1979 年,格拉肖、温伯格、萨拉姆因电弱统一理论获得诺贝尔物理学奖;1983 年,欧洲核子研究中心(CERN)的质子 - 反质子对撞机实验,成功发现了 W⁺、W⁻、Z⁰玻色子,验证了电弱统一的正确性;2012 年,CERN 的大型强子对撞机(LHC)又发现了希格斯玻色子,让电弱统一理论成为物理学界公认的 “标准模型” 的核心支柱。
电弱统一的成功,让科学界看到了大统一的曙光。标准模型作为描述电磁力、强力、弱力的理论框架,已经通过了无数实验的验证:它预言的 61 种基本粒子(包括夸克、轻子、规范玻色子、希格斯玻色子),截至 2012 年希格斯玻色子被发现后,已全部被实验证实。
但标准模型并非终极理论,它存在两个致命缺陷:第一,它无法容纳引力 —— 标准模型是量子场论,而引力由广义相对论(经典场论)描述,两者在数学上无法兼容(在普朗克尺度下,量子引力效应显著,广义相对论会失效);第二,它无法解释 “暗物质”“暗能量” 等宇宙学现象,也无法回答 “为什么夸克和轻子的质量是这些特定数值” 等基础问题。
更重要的是,标准模型中的三种力(电磁力、强力、弱力),虽然都基于规范场论,但它们的规范对称性(U (1)、SU (2)、SU (3))依然是分离的 —— 所谓的 “统一”,只是将电磁力和弱力合并为电弱力,强力仍处于独立状态。科学家们渴望的 “大统一理论”,是将这三种力统一为一种 “原始力”,即在更高的能量尺度下(如 10¹⁶ GeV),U (1)×SU (2)×SU (3) 规范对称会合并为一个更高级的对称群(如 SU (5)、SO (10) 等),三种力会呈现出相同的强度和特性。
为了验证三种力的统一,科学家们提出了多种大统一模型,其中最具代表性的是 SU (5) 大统一模型(1974 年由乔治和格拉肖提出)。

该模型预言,在能量达到 10¹⁶ GeV 时,电磁力、强力、弱力会统一为一种力,并且质子会发生衰变(质子由夸克组成,大统一理论认为夸克和轻子可以相互转化,因此质子会衰变为正电子和中微子),其半衰期约为 10³¹ 年。
为了探测质子衰变,科学家们建造了大型地下探测器(如日本的超级神冈探测器、美国的 Homestake 探测器),这些探测器被深埋在地下,以屏蔽宇宙射线的干扰。但经过数十年的观测,科学家们从未发现质子衰变的明确信号 —— 超级神冈探测器的实验结果显示,质子的半衰期至少为 10³⁴年,远超 SU (5) 模型的预言。
这一矛盾让 SU (5) 模型陷入困境,也让三种力的统一探索遭遇重大挫折。科学家们意识到,简单的大统一模型可能无法描述真实的宇宙,或许需要引入更复杂的对称结构(如超对称),或者调整理论的参数。超对称理论(SUSY)是目前最热门的候选者之一,它预言每种已知粒子都存在一个 “超对称伙伴”(如夸克的伙伴 “超夸克”、光子的伙伴 “光微子”),这些超对称粒子可以解决大统一理论中的诸多矛盾,并且可能是暗物质的候选者。
但遗憾的是,截至目前,LHC 等大型对撞机从未发现过超对称粒子的踪迹,这让超对称理论也面临着 “实验验证” 的压力。因此,“三种力已实现统一” 的说法,仅停留在理论猜想阶段,缺乏实验证据的支撑 —— 它就像一座看似宏伟的大厦,却没有坚实的地基,随时可能因实验的否定而崩塌。
如果说三种力的统一是 “难”,那么将引力融入大统一理论,就是 “难上加难”。引力与其他三种力的本质差异,是统一的核心障碍:
广义相对论将引力描述为时空的几何弯曲,是一种 “经典场论”—— 它的数学框架是连续的、确定性的,不涉及量子化;而电磁力、强力、弱力则由量子场论描述,其核心是离散的、概率性的(粒子的运动遵循薛定谔方程,只能预测概率分布)。
当试图将引力量子化时(即建立 “量子引力理论”),会遇到无法解决的 “发散问题”。在量子场论中,力的传递者(如光子、胶子)会不断产生和湮灭虚粒子,这些虚粒子的能量可以无限大,导致理论计算出现无穷大的结果 —— 但通过 “重整化” 技术,这些无穷大可以被消除,让计算结果变得有限。然而,引力的传递者(引力子,一种假设的无质量粒子)的虚粒子效应,却无法通过重整化消除,导致量子引力理论在数学上不自洽。

量子引力理论预言,引力是通过交换引力子传递的,但迄今为止,科学家们从未探测到引力子的存在。这是因为引力的强度极其微弱 —— 它是四种力中最弱的一种,两个质子间的引力仅为电磁力的 10⁻³⁶倍,要探测到引力子,需要的能量远超现有对撞机的能力(约为 10¹⁹ GeV,即普朗克能量,相当于 LHC 最高能量的 10¹⁵倍)。
目前,探测引力的方式主要是通过引力波(2015 年,LIGO 探测器首次探测到黑洞合并产生的引力波),但引力波是经典引力的产物,无法直接证明引力子的存在。因此,引力子的 “失踪”,让量子引力理论始终停留在猜想阶段,无法得到实验验证。

为了解决量子引力的困境,科学家们提出了多种前沿理论,其中最具影响力的是弦理论(后来发展为超弦理论、M 理论)。弦理论认为,宇宙的基本单元不是点粒子,而是一维的 “弦”(长度约为 10⁻³⁵米,即普朗克长度),不同的粒子只是弦的不同振动模式。
弦理论的精妙之处在于,它天然包含了引力子(弦的一种振动模式),并且可以将四种基本力统一在一个框架中 —— 在弦理论中,时空是 10 维的(9 维空间 + 1 维时间),其中 6 个维度被 “蜷缩” 在普朗克尺度,我们无法感知,只有 4 个维度(3 维空间 + 1 维时间)展开,形成我们所处的宇宙。

但弦理论也面临着巨大的挑战:它缺乏实验验证 —— 蜷缩的额外维度和超对称粒子都无法被现有实验探测到;同时,弦理论存在无数种可能的解(约 10⁵⁰⁰种),每种解对应一个不同的宇宙,这让它陷入了 “多重宇宙” 的哲学争议,难以确定哪个解对应我们的宇宙。
在弦理论的基础上,科学家们还提出了 “超统一理论”(Superunified Theory),试图将四种力与物质、时空的本质统一起来,甚至解释宇宙大爆炸的起源。但这些理论都还处于探索阶段,距离实验验证还有漫长的路要走。
评论列表