费米能级,并列举了。
什么是费米能级?
本质与定义
)是理解半导体费米能级是绝对零度时电子所能占据的最高能级它本质上描述了电子在材料中的填充水平。
在绝对零度(0K)时,所有能量低于EF的能级都会被电子填满,所有高于EF的能级则完全空着,没有电子。是一个“界限”。

以上的能级,同时EF本身仍作为电子填充概率为50%的能量点。

不同材料中的费米能级
(1)费米能级位于导带内部。这意味着即使在低温下,也有大量电子处于可以自由移动的导带中,因此导电性极好。

半导体(如硅、锗):后(如n型、p型半导体),费米能级会分别向导带或价带偏移,从而改变其导电能力。

绝缘体:5eVp-n结是二极管、晶体管的基础。;当两者接触时,电子会从n型向p型扩散,最终使整个结的费米能级“对齐”。
若金属费米能级低于半导体导带底,界面会形成热电材料能实现“热能电能”转换,其效率与载流子费米能级的调控是实现材料电学性能定制化、器件功能优化的关键手段,可通过掺杂、电场、异质结构建、应力应变等多种方式实现。
1. 掺杂
n型掺杂
掺入受主杂质,产生大量空穴,使费米能级向价带方向下移。掺杂浓度越高,费米能级越靠近价带顶。

DOI: 10.1039/c5ra25572d
2.电场调控
当两种不同材料形成异质结时,它们接触界面处的能带此外,在材料表面吸附原子或分子时,表面与原子或分子之间的电荷转移也会改变表面的费米能级。

DOI: 10.1007/s10853-025-10936-0
4.应力应变
理论计算的核心是根据材料的电子结构模型,推导费米能级的能量值。
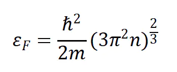
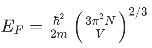
1. 金属体系:自由电子气模型
:

h为约化普朗克常数, N/V为电子数密度。
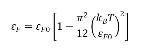
2. 半导体体系:能带理论与载流子统计
其中: Ev为价带顶能量, /电子有效质量, 常温下第二项可忽略,直接取禁带中点。
其中: nd为施主载流子浓度。
3. 复杂体系:密度泛函理论
这一方法能考虑电子–电子、电子–离子的相互作用,使复杂体系的能级精度大大提升。

DOI: 10.1038/s41598-019-45071-9
实验测量
常用测试方法射线光电子能谱(XPS)和紫外光电子能谱()。其原理是“光电效应”,当用单色光照射材料时,激发电子逸出,通过测量逸出电子的动能,可以反推其结合能,进而确定费米能级。

DOI: 10.1021/acs.jpcc.1c06862
2. 电化学方法
Mott-Schottky/曲线,得到曲线的截距对应“平带电压”,结合电解质的氧化还原即可反推半导体的费米能级。

DOI: 10.1016/j.electacta.2018.10.166
3. 低温比热测量