DC娱乐网

导电聚合物为何能导电?多尺度物理机制与本质解析!

本文华算科技介绍了导电聚合物从分子层面的共轭结构与能带特性,到掺杂诱导的电荷载流子生成机制,再到宏观尺度上的无序输运模型

导电聚合物电荷载流子在能带理论的框架下,材料的电导率主要由其电子结构决定。价带与导带之间的能量差被称为。

金属导体半导体绝缘体然而,传统的能带理论无法直接解释为什么由碳、氢等非金属元素构成的有机聚合物能够导电。从分子化学的角度来看,拥有极其特殊的电子结构,。

σ 键π 键碳骨架上的单键(σ 键)与双键(包含 π 键),以及 π 电子在链上的移动。

离域与极化然而,仅仅依靠纯粹的共轭键并不足以使高分子材料获得高电导率,原始未处理的共轭聚合物其电导率通常在之间,处于半导体与绝缘体的边界区域。要实现向高电导率的跨越,必须引入外部的化学或电化学作用过程。

掺杂如何产生电荷载流子?

“掺杂”氧化还原过程聚噻吩(PT)进行 p 型(氧化,提取电子)和 n 型(还原,注入电子)掺杂时的能带变化与化学结构演变对比图。

注入电子氧化过程(p型掺杂)还原过程(n型掺杂)这一氧化还原过程会在聚合物链上产生不同类型的电荷载流子:(Polarons,即自由基离子)、(Bipolarons,即双阳离子或双阴离子)或孤子(Solitons)。

简并和非简并在简并系统中,聚合物在基态下拥有两种能量完全相同的几何结构。当这两种结构发生交替时,结构之间会产生一个包含未成对电子的自由基缺陷,被称为。中性孤子可以沿着聚合物骨架离域移动。

通过掺杂剂的氧化或还原,中性孤子会转化为带有正电荷或负电荷且没有未成对自旋的。随着掺杂浓度的提高,带电孤子的区域发生重叠,在 HOMO 和 LUMO 之间形成一个被称为的能带结构。孤子带的形成极大地降低了电子跃迁的能垒,使得孤子成为该类聚合物中主导电导率的载流子。

非简并系统与极化子/双极化子机制

聚合物在基态下存在两种能量不同的结构π一个极化子两个定域的电子能级随着进一步氧化,第二个电子被移除,形成双电荷的,此时结构的变形更为强烈。当聚合物被高度氧化时,双极化子之间发生重叠,形成两个狭窄的,这会导致材料的整体带隙大幅缩小(例如从原始的 3.16 eV 锐减至 1.4 eV)。

聚吡咯(PPy)在未掺杂、极化子(单电荷)、双极化子(双电荷)以及全掺杂状态下的能带图和化学结构演化。

宏观电导率如何物理输运?

无序性sp2 缺陷、链端点、链缠结、内部空隙以及掺杂缺陷πPANI 膜在盐酸(HCl)和硫酸(H2SO4)中相同扫速下的循环伏安(CV)曲线对比。

在完美的晶体中,具有周期性势场的波函数会形成遍布整个材料的离域布洛赫波。但在无序的导电聚合物系统中,杂质和结构缺陷会对电子波函数造成强烈的散射,。

其中 ξ 是态的定域长度。

“迁移率边缘”Ec材料的电导率取决于费米能级(EF)与 Ec 的相对位置当 EF 处于定域态区域时EF 处于扩展态区域时在弱无序系统中,直流电导率可以通过经典公式/mnτme由于传统的弱无序模型无法完美解释高掺杂聚合物的介电响应行为,研究指出导电聚合物内部的电荷离域更适合用来描述。

电荷传输依赖于载流子的“跳跃”机制或受限于充电能量的量子隧道效应PANI 纳米球、纳米棒、纳米纤维的三组高清场发射扫描电镜(FESEM)形貌图。

环境如何影响电导率?

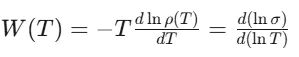
环境温度通过引入约化活化能(W),即

1. 绝缘区

此时,这表明在低温下,由于缺乏足够的热激发能量,电荷载流子在定域态之间的跳跃变得极其困难,导致电导率急剧下降。

在金属-绝缘体转变的临界点附近,(即 W(T)曲线斜率为零)。此时电阻率不再表现为激活状态,电导率随温度的变化遵循幂律(Power law)关系:σ(T) = aTβ。

在金属区中,W(T) 表现出正的温度系数σ 是零温电导率,参数 m 和 B 分别取决于扩散系数、相互作用参数以及定域化效应。指数,例如在电子-声子散射中 p=3,在非弹性电子-电子散射中根据无序程度的不同 p=2 或 3/2。在无序材料处于极低温度时,电子-电子的相互作用在电荷输运中扮演着支配性的角色。

大多数掺杂导电聚合物的电导率随着温度的降低而下降这是因为在聚合物系统中,电荷传输的决速步往往是声子辅助的定域态间跳跃或金属区之间的隧道跃迁。当温度下降时,声子能量不足,跳跃概率大幅降低。然而,当导电聚合物的,其电导率对温度的依赖性会显著减弱。

综上所述,导电聚合物的高电导率并非单一因素作用的结果,而是高度耦合了分子化学、界面电化学与的复杂现象。