编者按:心血管-肾脏-代谢(CKM)综合征已成为全球公共卫生领域的重大挑战。据统计,我国CKM综合征患病率已逼近美国水平,超半数成人超重或肥胖,成人糖尿病前期患病率更是高达35.2%,估计人数超过4亿[1],而CKM相关疾病的知晓率与治疗率仍处于较低水平。传统治疗手段如RAAS抑制剂虽能延缓疾病进展,但对代谢炎症、内皮损伤、脂肪沉积等核心病理机制的干预仍存在局限。随着2023年美国心脏协会(AHA)正式提出CKM概念,临床实践亟需突破单一器官管理模式,转向多靶点、多系统的综合干预策略。
非奈利酮作为新型非甾体类盐皮质激素受体拮抗剂(nsMRA)的代表药物,通过阻断盐皮质激素受体(MR)过度激活,直击CKM的关键病理环节——炎症与纤维化。其在糖尿病肾病(DKD)领域的里程碑式研究FIDELIO-DKD与FIGARO-DKD,不仅证实了其心肾双获益,更在中国亚组中展现出显著优于全球数据的肾脏保护效果。第74届美国心脏病学会科学会议(2025ACC)上,非奈利酮的最新研究进一步拓展了其在CKM全程管理中的应用价值,为临床提供了更精准的治疗选择。本文中,武汉大学人民医院黄恺教授将结合中国CKM共识与最新循证证据,探讨非奈利酮在CKM综合管理中的角色与前景。

CKM综合征:亟待突破的治疗困局
CKM综合征的核心病理特征是代谢紊乱驱动的心血管与肾脏损害恶性循环。糖尿病患者长期以高血糖为代表的糖脂代谢异常,引发胰岛素抵抗、氧化应激、炎症反应、血流动力学异常等,与高血压导致的血管重构相互作用和叠加,最终形成“代谢-心血管-肾脏”三重打击[2]。
然而,现有治疗方案面临多重挑战:传统RAAS抑制剂在保护肾脏的同时存在高钾血症风险,噻唑烷二酮类药物可能加重心衰,胰岛素治疗则与体重增加和低血糖相关。更值得关注的是,射血分数保留型心衰(HFpEF)在CKM患者中占比超过50%,这类患者对常规心衰治疗反应不佳,亟需新型治疗策略。
中国CKM共识:从指南到临床的实践路径
我国最新流行病学数据显示,高血压和糖尿病已成为导致心血管疾病、慢性肾脏病(CKD)以及不良心肾结局的主要风险因素。在此背景下,由中国心血管代谢联盟组织发起、多学科专家联合撰写的《高血压合并糖尿病患者心血管‐肾脏‐代谢综合管理专家共识(2024)》[2]应运而生,为临床医生提供了科学、规范的综合管理指南。
中国CKM共识[2]明确推荐:对于CKD患者,在估算肾小球滤过率(eGFR)≥25 ml/min/1.73m2条件下,使用最大耐受剂量RAAS抑制剂后若仍有白蛋白尿(≥30 mg/g),可考虑加用具有心肾获益的nsMRA(如非奈利酮);对于射血分数轻度下降型心衰(HFmrEF)及HFpEF患者,建议在常规治疗基础上使用第三代nsMRA(如非奈利酮),以降低心衰和心血管死亡复合终点事件。
2025 ACC会议最新公布:
非奈利酮在CKM全程管理中的新证据
2025ACC上一项Meta分析[3]整合了FIDELIO-DKD、FIGARO-DKD和FINEARTS-HF三项研究数据(n=19 027),进一步验证了非奈利酮在CKM综合征管理中的综合效益。结果显示,非奈利酮治疗使心衰住院风险降低20%(HR 0.80,95%CI:0.72~0.90,P<0.0001)(图1),全因死亡风险降低14%(RR 0.86,95%CI:0.77~0.97,P=0.01)。尽管其对心血管死亡和肾衰竭的影响未达统计学意义(HR 0.91,P=0.06;RR 1.05,P=0.85),但研究提示在优化HFmrEF和HFpEF患者管理中,非奈利酮提供了更优治疗方案。

图1. 非奈利酮治疗使心衰住院风险降低20%
非奈利酮:打破传统MRA局限性的创新之选
作为新型nsMRA,非奈利酮通过高选择性结合MR,在发挥心肾保护作用的同时显著降低高钾血症风险。非奈利酮独特的药代动力学特征使其在肾功能不全患者中无需调整剂量,这一优势使其成为CKM综合征管理的理想选择。非奈利酮在DKD领域的临床价值已通过两项Ⅲ期研究得到充分验证。
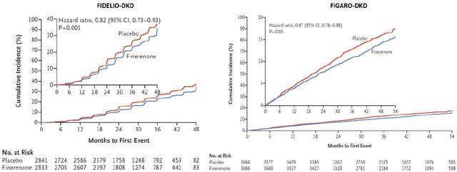
FIDELIO-DKD研究[4]纳入5734例DKD患者,结果显示,在RAAS抑制剂基础上联合非奈利酮,可使肾脏复合终点(肾衰竭、eGFR下降≥40%或肾脏死亡)风险降低18%(HR 0.82,P=0.001)(图2左),心血管复合终点风险降低14%(HR 0.86,P=0.03)。值得关注的是,在中国亚组分析[5]中,非奈利酮使肾脏复合终点风险降幅高达41%,展现出更优获益趋势。随后开展的FIGARO-DKD研究[6]进一步扩展了研究人群,纳入7437例早期至晚期CKD患者(eGFR 15~90 ml/min/1.73m2)。结果显示,非奈利酮降低心血管死亡、心肌梗死、卒中或心衰住院复合终点风险达13%(HR 0.87,P=0.026)(图2右),且在1~4期CKD患者中均表现出一致的心血管保护作用。此后,FIDELITY研究[7]进一步明确了非奈利酮的心肾获益。该研究纳入全球48个国家和地区13 026例T2DM相关CKD患者,中国同步参与,大陆67个研究中心697例患者入组,其中350例接受非奈利酮治疗,347例接受安慰剂治疗。研究主要终点包括心血管复合终点(心血管死亡、非致死性心肌梗死、非致死性卒中或心衰住院)以及肾脏复合终点(肾衰竭、eGFR较基线降低≥57%且持续≥4周或肾性死亡)。中国亚组结果显示,与安慰剂相比,非奈利酮显著降低肾脏复合终点风险达43%(HR=0.57,95%CI:0.38~0.86,P=0.0066)(图3)。

图2. 左:FIDELIO-DKD研究中,非奈利酮降低肾脏复合终点风险18%;右:FIGARO-DKD研究中,非奈利酮降低心血管复合终点风险达13%

图3. FIDELITY中国亚组分析:非奈利酮使肾脏复合终点风险降幅达43%
2024年欧洲心脏病学会(ESC)大会发布的FINEARTS-HF研究[8]进一步证实非奈利酮在HFmrEF/HFpEF患者中的临床价值。这项纳入6001例左室射血分数(LVEF)≥40%心衰患者的全球多中心研究显示,与安慰剂相比,非奈利酮使心衰恶化事件和心血管死亡复合终点风险降低16%(HR 0.84,P=0.007),心衰恶化事件减少18%(HR 0.82,P=0.006)(图4)。值得注意的是,该获益在已使用SGLT2i患者中依然显著,提示非奈利酮可作为现有标准治疗的有效补充。

图4. 与安慰剂相比,非奈利酮使心衰恶化事件和心血管死亡复合终点风险降低16%,心衰恶化事件减少18%
中国研究者在该研究中发挥重要作用,中国大陆45家中心共纳入428例患者,是全球最大参与国。研究还发现,非奈利酮显著改善患者生活质量评分(KCCQ-TSS),且安全性与安慰剂相当,高钾血症发生率仅9.7%(vs. 4.2%),远低于传统甾体类MRA。
结论与启示
非奈利酮凭借其独特的作用机制和循证医学证据,已成为CKM综合征管理的重要创新药物。从DKD到HFpEF,从中国亚组的卓越疗效到全球多中心研究的一致性获益,非奈利酮不仅突破了传统MRA的局限性,更推动了临床实践向“心-肾-代谢一体化”管理的范式转变。
中国CKM共识与国际指南的高度一致,为非奈利酮的临床应用提供了坚实依据。未来,随着真实世界数据的积累和适应症的进一步拓展,非奈利酮有望在CKM全程管理中发挥更广泛作用,为患者带来更早、更全面的获益。
参考文献
1. Li Y, et al. BMJ. 2020; 369: m997.
2. 心血管代谢联盟. 高血压合并糖尿病患者心血管-肾脏-代谢综合管理专家共识(2024).中华心血管病杂志(网络版), 2025.
3. Juan C. Rivera-Martinez, et al. Effect of finerenone in cardiovascular and renal outcomes: a systematic review and meta-analysis. Presented at ACC.25.
4. Bakris GL, et al. Effect of Finerenone on Chronic Kidney Disease Outcomes in Type 2 Diabetes. N Engl J Med. 2020; 383(23): 2219-2229.
5. Zhang H, et al. Finerenone in Patients with Chronic Kidney Disease and Type 2 Diabetes: The FIDELIO-DKD Subgroup from China. Kidney Dis (Basel). 2023; 9(6): 498-506.
6. Pitt B, et al. Cardiovascular Events with Finerenone in Kidney Disease and Type 2 Diabetes. N Engl J Med. 2021; 385(24): 2252-2263.
7. Ping Li, et al. Finerenone in Chinese patients with type 2 diabetes and chronic kidney disease: A FIDELITY analysis. Abstract WCN24-AB-432.
8. Solomon SD, et al. Finerenone in Heart Failure with Mildly Reduced or Preserved Ejection Fraction. N Engl J Med. 2024; 391(16): 1475-1485.