高血压是慢性肾脏疾病(CKD)和心血管疾病发展的主要风险因素。它在CKD患者中普遍存在,不同程度肾功能障碍的患病率有显著差异。高血压是成人和儿童慢性肾病加速发展的关键因素。一项针对儿童CKD的大型研究(ESCAPE试验)表明,强化血压控制可有效降低CKD的进展。大量研究表明,在成人和儿童人群中,血压升高与CKD心血管并发症和事件之间存在相关性,包括儿童慢性肾脏疾病心血管共病研究(4C研究)对心血管疾病替代标志物的研究,例如脉搏波速度和颈动脉内膜-中膜厚度。因此,优化血压是控制CKD继发性并发症的标志之一,但既往研究强调了在儿童和成人患者中实现这一目标的挑战。
关注随时间变化的血压特征
很少有研究和试验探讨长期慢性肾病儿童的血压动态和降压治疗对实际血压控制的影响,特别是在现实环境中。本研究的目的是纵向描述血压分类和降压治疗,使用4C研究队列的数据。具体来说,该分析检查了个体抗高血压药物处方及其随时间变化对血压趋势的影响。
诊室血压轨迹可能有助于评估高血压进展和降压治疗对慢性肾脏疾病儿童的影响。这项研究分析了4C研究中320例肾脏替代治疗之前患有肾脏疾病的患者降压治疗和血压斜率,基于至少3个观察性研究和2年随访。
结果入组时,有70例(22%)患者有难治性或未经治疗的高血压,130例(41%)患者有控制性高血压,120例(37%)患者具有正常血压,未进行降压治疗。在随访期间为91例患者(AHT-I组,28%)中53%的患者开具了降压治疗药物。总体血压SD评分在队列中随时间的流逝保持稳定(β= -0.037±0.034,P=0.34和-0.029±0.348,收缩期和糖尿病血压SD评分的每年P=0.093)。在AHT-I组中,基线时的收缩压和舒张压SD评分较高,随访期间显著下降(-0.22±0.07,P<0.003和-0.12±0.05 SD分/年,P=0.01)。在上一次观察结果中,来自既往未经治疗/难治性高血压组的70例患者中只有8例(11%)患者仍未治疗,而在随访期间31例(44%)得到控制。在基线的120例正常血统患者中,有60%的患者保持正常,而40%的患者发展为难治性/未治疗(n=23,19%)或可控制(n=24,20%)高血压。
先天性肾脏和尿路畸形(CAKUT)是CKD的主要原因(77%),肾小球疾病占6.6%,其他肾脏疾病占17%。CKD病因不同,患者特征也不同。在整个研究过程中,肾小球病变患者更有可能接受AHT治疗(95% vs . CAKUT为49%,其他诊断为52%,P<0.001),尽管AHT强化率相似,他们使用RAS抑制剂和利尿剂率较高,组间高血压状况差异显著(P=0.003):与CAKUT组(11%)和其他诊断组(7.4%)相比,肾小球病变组无未治疗的高血压(0%)。鉴于AHT的高使用率,控制性高血压在肾小球病变组更常见(81% vs.其他组39%),无AHT的正常血压组患者较少(4.8% vs. 40%)。
尽管人口的整体血压随时间的流逝保持稳定,但血压管理的个体模式显示出很大的可变性。通过强化降压治疗,血压控制显著改善;但在观察期间,大量既往正常的个体出现了新的高血压。

图1. A:根据基线血压状态进行年度随访时的高血压状况。B:起始或强化AHT治疗的患者(AHT- 1,蓝色)与治疗状态不变的患者(AHT- n,灰色)相比的收缩压和舒张压斜率

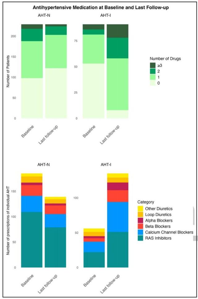
图2. 接受和未接受强化治疗的患者降压用药的开始-结束期观察
积极强化AHT可有助实现血压达标
在这项队列中,大多数患者在某些时候开了RAS拮抗剂,这与目前建议一致。RAS抑制剂的总体处方率在观察期间保持稳定。虽然在AHT-I组中RAS抑制剂的处方急剧增加,但在AHT-N组中降压药的减少主要是RAS抑制剂的停用。虽然停用AHT的原因未记录,但CKD的进展和相关的不良反应可能导致了RAS抑制剂的停用。
只有少数患者(AHT-I组5%~7%)使用利尿剂治疗。这可能是由于缺乏儿童利尿剂的临床试验,以及对利尿剂治疗的有效性和安全性的担忧。相反,利尿剂和噻嗪类药物经常用于成人CKD患者的治疗,最近的证据支持它们的有益效果。对儿童CKD的研究应阐明对儿童CKD进行利尿剂治疗是否安全有效,并为更好地控制高血压提供额外的治疗选择。
分析揭示了CKD病因在患者特征和治疗模式上的差异。肾小球病变患者的蛋白尿水平升高是该疾病的固有特征,并有助于RAS抑制剂治疗的高使用率。因此,肾小球病变组血压控制的改善可能是广泛使用RAS抑制剂的结果。然而,这项研究并未提供关于患者是否仅因蛋白尿或为控制血压而接受RAS抑制。
这项研究结果表明,尽管有儿科循证临床实践指南,但相当一部分CKD患儿仍未得到充分治疗。在本研究中,大多数患者在整个观察期间均采用单药治疗。虽然目前的儿科ESH指南推荐一线单药治疗,但2024年ESH成人高血压管理临床实践指南推荐起始联合两种药物进行降压治疗,即RAS拮抗剂联合钙通道阻滞剂或利尿剂。在几项研究中,高血压治疗不足以及CKD儿童的其他合并症已被证明非常普遍,在随访期间似乎无改善。研究表明,这似乎部分归因于进展性CKD患者发生的新发高血压的延迟治疗。此外,即使起始或强化治疗,也不是所有患者均能达到预期的血压目标。早期抗高血压治疗——甚至在高血压前期——可能有助于抑制治疗不足的高血压流行。此外,积极强化AHT可增加血压目标的成功实现。
总之,这是第一项描述真实世界中抗高血压治疗模式及其对CKD儿童长期血压影响的研究。大量患者起始或强化抗高血压治疗,这表明临床医生实施了治疗指南。观察到强化治疗可有效改善血压控制。CKD伴新发高血压的治疗改变和进展导致血压的动态变化,随时间推移,总体血压SDS和高血压患病率不变。
参考文献Anke Doyon , Aysun Karabay Bayazit, Ali Duzova, etal. Hypertension Management Dynamics in Pediatric CKD: Insights From the 4C Study.Hypertension. 2025;82:00–00. DOI: 10.1161/HYPERTENSIONAHA.124.24330