编者按
斜视是影响儿童视觉发育的常见眼病,其危害不仅在于眼位异常和立体视丧失,更与焦虑、抑郁等神经精神疾病风险升高相关,已成为一个不容忽视的儿童健康问题。目前临床依赖的棱镜交替遮盖测试虽为“金标准”,却受限于专业医生资源与患儿配合度,难以在基层及大规模筛查中普及。近年来,人工智能(AI)在医学影像分析中的突破,与虚拟现实(VR)技术所营造的沉浸式、标准化检查环境,为这一困境带来了转机。在第十九届中国医师协会眼科医师分会年会(COA 2025)上,首都医科大学附属北京同仁医院付晶教授,分享了其团队在“结合虚拟现实和人工智能的斜视筛查新系统”研发中的探索与实践,展望这一创新技术如何赋能儿童斜视的早期发现与精准评估,助力提升公共卫生防控效能。

斜视是儿童期最常见的眼位异常性疾病之一,其患病率约为3%-5%[1]。该病症不仅表现为双眼视轴不平行(即眼位偏斜)[2],更可导致弱视、双眼立体视功能丧失等严重后果,长远影响患儿的学习能力与生活质量。近年来的研究进一步揭示了斜视与神经精神疾病的关联。一项基于大规模人群的研究发现,斜视患儿罹患焦虑障碍、抑郁症等精神心理问题的风险显著增高,凸显了其作为公共卫生问题的重要性[3]。因此,对儿童斜视的早期发现与及时干预具有重大的临床与社会意义。
目前,临床诊断和定量斜视的“金标准”是棱镜交替遮盖测试(Alternate Prism Cover Test, APCT)。然而,该方法高度依赖检查者的专业经验,操作流程复杂耗时,并且对于配合度较低的婴幼儿及低龄儿童而言,难以获得稳定、准确的测量结果。这种对专科医生资源的高度依赖,与我国儿科眼科医生相对短缺的现状形成了矛盾,使得大规模社区筛查和基层早期识别难以实现。幸运的是,随着AI与VR技术的飞速发展,医疗领域正迎来深刻的变革。AI,特别是其子领域深度学习(Deep Learning),在医学影像分析中展现出卓越的性能,已成功应用于糖尿病视网膜病变等多种眼病的自动诊断[4-6]。与此同时,VR技术能够构建沉浸式、标准化的检查环境,有助于吸引儿童注意力并规范检查流程。将VR的沉浸式体验与AI的自动化分析能力相结合,为开发一种客观、高效、儿童友好的新型斜视筛查工具提供了极具前景的技术路径[7]。
研究方法
本研究是一项旨在评估新型诊断工具准确性的横断面研究,严格遵循《赫尔辛基宣言》的伦理准则,并获得北京同仁医院伦理审查委员会的批准(批准号:TRECKY2020-088)。研究团队于2023年2月至2024年2月期间,在北京同仁医院斜视与小儿眼科门诊连续招募受试者。在考虑数据完整性的基础上,最终共有110名年龄在3至18岁之间的儿童被纳入最终分析。所有受试者智力发育正常,能够配合完成检查,并由其监护人签署知情同意书。
研究采用严格的对照设计。每名受试者均需接受两项独立的检查。首先,由两位不知晓彼此结果的高年资斜视与小儿眼科专科医生,在独立的诊室中分别进行完整的APCT检查。检查包括远距离(6米)和近距离(33厘米)两种状态,记录斜视类型(内斜视、外斜视、垂直斜视)及精确的偏斜角度(棱镜度,PD)。两位医生的诊断结果通过讨论达成一致,其测量的偏斜角度取平均值,以此作为本研究的“金标准”。
随后,受试者转移至另一房间,使用本研究评估的VR-AI新系统进行检查。该系统硬件主要是一台头戴式VR显示设备(分辨率为3840*2160),其内置的红外摄像头可实时追踪双眼眼球运动。软件核心是基于深度学习架构SS-SwinuNet定制开发的AI分析平台。该算法已在包含大量临床斜视图像的数据集上完成训练和验证。检查时,儿童佩戴VR设备,注视白色虚拟场景中的固定靶标。系统通过软件模拟临床的交替遮盖试验(ACT)和遮盖-去遮盖试验(CUT),每种模式下均进行远、近两种状态的测试,全过程自动化完成,耗时不超过2分钟。系统通过分析眼球运动视频,自动识别瞳孔中心,并利用优化的几何模型计算水平与垂直方向上的眼位偏移量,最终输出斜视诊断分类和偏斜角度估值[8-9]。
统计学分析使用SPSS 29.0和MedCalc软件进行。以“金标准”为参照,计算VR-AI新系统筛查斜视的灵敏度、特异度、准确率。采用Kappa系数评估两种方法在诊断(有病/无病)及分类(斜视类型)上的一致性程度。对于连续变量(偏斜角度),首先使用Kolmogorov-Smirnov或Shapiro-Wilk检验评估数据正态性,进而通过组内相关系数(ICC)和Bland-Altman分析(绘制一致性界限图)来评估VR-AI系统与人工测量结果之间的一致性和误差范围。P值<0.05被认为具有统计学意义。
研究结果
在最终纳入分析的110名受试者中,平均年龄为7.60±2.90岁,男性50人(45.5%),女性60人(54.5%)。根据金标准诊断,其中正常者28人(25.5%),外斜视患者60人(54.5%),内斜视患者18人(16.4%),垂直斜视患者4人(3.6%)。
1. 疾病筛查与分类诊断效能:
VR-AI系统对所有类型斜视进行筛查(即区分“斜视”与“正常”)的总体灵敏度为83.0%,特异度为79.0%。系统诊断结果与金标准之间具有中度一致性(Kappa=0.562,P<0.001)。在对斜视进行具体分类诊断方面,系统表现出色:对于内斜视的诊断一致性极高(Kappa=0.898),对于垂直斜视的诊断完全一致(Kappa=1.000)。然而,在外斜视的诊断上,一致性仅为中等(Kappa=0.562),其灵敏度(76.7%)也低于内斜视组(88.9%)。
2. 偏斜角度定量测量的一致性:
在偏斜角度的定量测量上,系统对不同类型斜视的表现差异显著:
内斜视组:在近距(33cm)检查模式下,AI测量值与人工金标准结果表现出强相关性(R=0.7595)和高度一致性(ICC=0.817)。Bland-Altman分析显示平均差异较小,一致性界限相对较窄,表明系统在测量内斜视近距偏斜角度时较为准确可靠。
内斜视组看近模式下新系统结果与人工结果的Bland-Altman图
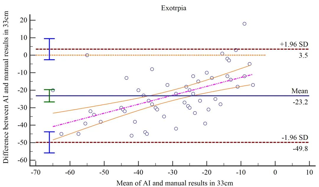
外斜视组:尽管AI测量值与人工值在远、近两种模式下均显示出一定的统计相关性(近距R=0.731,远距R=0.561),但ICC值均低于0.4,表明重复测量一致性差。更重要的是,Bland-Altman分析揭示了显著的系统性偏差(平均差异达-23.2 PD至-17.9 PD)和极宽的一致性界限,意味着系统对外斜视角度的测量存在较大且不稳定的误差。研究指出,该组中包含大量间歇性外斜视患者,其眼位偏斜程度受融合功能、调节和注意力影响很大,而系统固定的2秒遮盖时间可能不足以完全打破融合,从而导致测量值不稳定和低估。
外斜视组看近模式下新系统结果与人工结果的Bland-Altman图

外斜视组看远模式下新系统结果与人工结果的Bland-Altman图
垂直斜视组:由于样本量过小(仅4例),统计效力不足。虽然近距模式下Bland-Altman分析显示平均差异不大,但远距模式下则显示出较差的相关系数和一致性,其结果缺乏临床代表性,需谨慎解读。
垂直斜视组看近模式下新系统结果与人工结果一致性
结论与展望
本研究证实,结合虚拟现实(VR)与人工智能(AI)技术的自动化筛查系统,能够以较高的灵敏度(83%)和特异度(79%)实现对儿童斜视的高效初筛。该系统在斜视的分类诊断,特别是内斜视和垂直斜视的识别上表现优异,并在测量内斜视患者的近距偏斜角度时展现出与专科医生人工测量良好的一致性。这标志着该技术具备成为辅助基层医疗机构进行快速初筛、缓解专科医疗资源压力的潜在价值。
然而,研究也清晰地揭示了该系统当前的局限性。其在外斜视(尤其是临床上常见的间歇性外斜视)的偏斜角度定量测量上准确性不足,误差较大[10-11]。这提示未来的算法优化必须更深入地结合不同类型斜视的病理生理机制,例如针对间歇性外斜视设计更个性化的检查流程以充分打破融合[7]。同时,扩大样本量,尤其是纳入更多垂直斜视及其他复杂类型斜视病例进行多中心验证,是推动该技术走向成熟临床应用的关键步骤。
纵观技术发展,眼动追踪与VR/AR技术在眼科定量诊断中的应用已日趋成熟。多项独立研究显示,不同的视频眼动图(VOG)系统与金标准APCT具有良好相关性[12-14]。本研究系统在综合性能上已优于部分早期商用系统[13],但与目前表现最优的技术方案相比仍有提升空间。展望未来,通过持续迭代AI模型、融合多模态眼动数据,并积极探索其在远程医疗咨询[15]及复杂斜视(如麻痹性斜视)术前评估[16]等更广阔场景中的应用,VR-AI斜视筛查系统有望构建一个贯穿筛查、诊断、治疗随访全流程的儿童眼健康智能诊疗新范式。
参考文献
[1] Südwill D. Epidemiology of strabismus [J]. Ophthalmic Physiol Opt, 1997, 17(6): 536-9.
[2] Kraus C, Kuwera E. What Is Strabismus? [J]. JAMA, 2023, 329(10): 856.
[3] Lee YH, Repka MX, Borlik MF, et al. Association of Strabismus With Mood Disorders, Schizophrenia, and Anxiety Disorders Among Children [J]. JAMA Ophthalmol, 2022, 140(4): 373-81.
[4] Reid JE, Eaton E. Artificial intelligence for pediatric ophthalmology [J]. Curr Opin Ophthalmol, 2019, 30(5): 337-46.
[5] LeCun Y, Bengio Y, Hinton G. Deep learning [J]. Nature, 2015, 521(7553): 436-44.
[6] Ting DSW, Pasquale LR, Peng L, et al. Artificial intelligence and deep learning in ophthalmology [J]. Br J Ophthalmol, 2019, 103(2): 167-75.
[7] Yehezkel O, Belkin M, Wygnanski-Jaffe T. Automated Diagnosis and Measurement of Strabismus in Children [J]. Am J Ophthalmol, 2020, 213: 226-34.[8] Yeh P-H, Liu C-H, Sun M-H, et al. To measure the amount of ocular deviation in strabismus patients with an eye-tracking virtual reality headset [J]. BMC Ophthalmol, 2021, 21(1): 246.[9] Miao Y, Jeon JY, Park G, et al. Virtual reality-based measurement of ocular deviation in strabismus [J]. Comput Methods Programs Biomed, 2020, 185: 105132.[10] Park N, Park B, Oh M, et al. A quantitative analysis method for comitant exotropia using video-oculography with alternate cover [J]. BMC Ophthalmol, 2018, 18(1): 80.[11] Zou L, Tian T, Wygnanski-Jaffe T, et al. Effectiveness and repeatability of eyetracking-based test in strabismus measurement of children [J]. Semin Ophthalmol, 2022, 37(4): 502-8.[12] Canto-Cerdan M, Martinez-Abad A, Siverio-Colomina A, et al. Comparative Analysis of Strabismus Measurement Using a Video Oculagraphy System and Alternate Prism Cover Test [J]. Asia Pac J Ophthalmol (Phila), 2023, 12(6): 582-90.[13] Palazón CN, Ventosa S, Moreno MN, et al. Study of reliability and validity of VOG Perea and GazeLab and calculation of the variability of their measurements [J]. Archives de la Sociedad Espa?ola de Oftalmología (English Edition), 2020.[14] Nixon N, Thomas PBM, Jones PR. Feasibility study of an automated Strabismus screening Test using Augmented Reality and Eye-tracking (STARE) [J]. Eye (Lond), 2023, 37(17): 3609-14.[15] Li J, Nguyen AM, Kolin T, et al. Evaluation of Streamed Hardware-to-Software Telemedicine Strabismus Consultations Utilizing Video Glasses [J]. Clin Ophthalmol, 2022, 16: 3927-33.[16] Orduna-Hospital E, Maurain-Orera L, Lopez-de-la-Fuente C, et al. Hess Lancaster Screen Test with Eye Tracker: An Objective Method for the Measurement of Binocular Gaze Direction [J]. Life (Basel), 2023, 13(3).