DC娱乐网
语文书里的【冯骥才】
2024-06-15 21:11:16
下笔小羊同学
教育
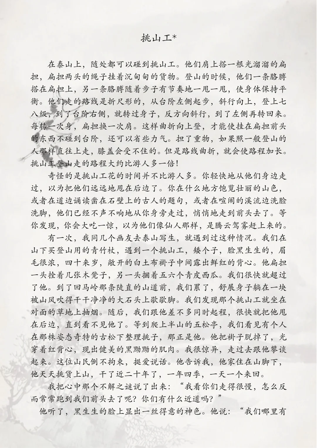
📖语文教材中有三篇课文是冯骥才先生所著 分别为: 📚四年级下册第25课《挑山工》 📚五年级上册第4课《珍珠鸟》 📚五年级下册第14课《刷子李》 🍀每一课内容都让人印象深刻。 🍀后面会陆续推出语文书里的《朱自清》《鲁迅》等。
评论列表
Aimeili
2024-06-18 04:44
喜欢
热门分类
推荐
热榜
军事
NBA
体育
社会
明星八卦
娱乐
财经
科技
汽车
历史
国际
游戏
动漫
公益
搞笑
商业
互联网
数码
国际足球
房产
家居
时尚
科学探索
职场
育儿
股票
教育
影视
情感
热点
中国军情
武器
中国南海
中国足球
亚洲杯
科比
综合体育
CBA
投资
楼市
大咖秀
外汇
创业
风口
SUV
豪车
概念车
优惠
新能源
美国
欧洲
朝日韩
俄罗斯
孕期
街拍
恋爱攻略
婚姻
正能量
评论列表