“肺主气,司呼吸,通调水道,下输膀胱。”
在我国中医药典籍《黄帝内经·灵枢》中,古人便已洞察肺与全身气血津液运行的关联,强调“肺为娇脏,易受外邪侵袭”。中医理论认为,肺不仅掌管呼吸,更主导水液代谢与卫外功能,一旦失衡,便易出现咳嗽、痰多、气短等症。然而在现代快节奏生活中,人们往往重养肝、补肾,肺部健康常被忽视。
近年来,随着呼吸道感染高发及“阳康”后遗症状的大量出现,肺部养护问题逐渐走向台前。《慢性呼吸系统疾病防治行动方案》中明确提出,要加强对气道炎症及肺部亚健康状态人群的早期干预,推动肺健康管理向预防前移转变。
此前,一项发表于《Frontiers in Nutrition》的研究为日常护肺提供了新的科技方案。研究认为,柚子中特有的黄酮类物质——尤其是柚皮苷和新橙皮苷,具有良好的抗炎与黏液调节作用,可显著降低咳痰频率55%。

1、柚子蕴含神秘物质,可阻断肺部炎症
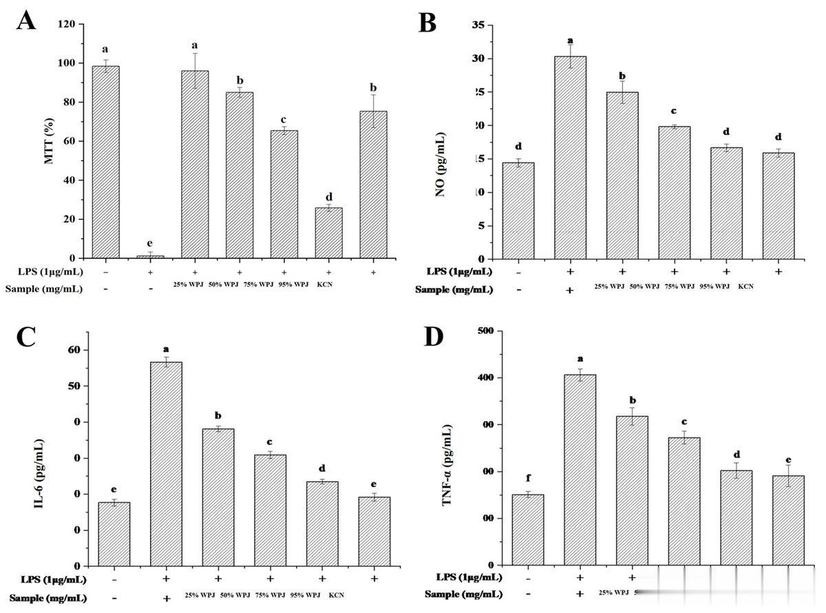
研究团队先用酶水解技术,将整个柚子(果肉、果皮、果络、果籽)全部加工成全柚果汁。通过成分分析,从中鉴定出10种主要黄酮类物质,这些物质正是抑制炎症、舒缓呼吸道的核心力量。
不过,光有成分分析还不够,研究人员在实验室中模拟了肺部发炎环境,观察全柚果汁对受损细胞的作用。结果发现,原本因炎症而肿大变形的细胞,在接触全柚果汁后,形态已恢复正常,炎症反应显著减弱。
随后,进一步的动物实验给出了精准数据:服用全柚果汁的实验对象,肺部损伤明显减轻,肺泡壁增厚、炎症渗出等问题都得到了改善,止咳清痰率最高达55%。而对照组的肺部炎症则持续加重。

“之所以能达到这样的效果,核心在于全柚果汁能精准“切断”炎症的传播路径。”项目负责人王教授解释,“它能抑制体内MAPK/NF-κB信号通路,关掉发炎的’总开关’,阻止炎症指令在细胞内传递,从根源上遏制肺部损伤蔓延。”
2、科学养肺,切勿盲目进补
那么,在日常生活中,通过单纯吃,或榨取柚子汁等,能否达到上述实验中的护肺效果呢?
事实却并没有那么简单。一是生榨的全柚果汁苦涩难咽、性偏凉,肠胃敏感及脾胃虚寒人群,并不宜过量食用;二来研究中起关键作用的活性成分,如柚皮苷、新橙皮苷等黄酮类物质,多富集在柚子的白色海绵层和外果皮中,家庭自制缺乏专业的酶水解技术,其中活性成分难以被充分释放,人体吸收率极低。
不过幸运的是,近年来,随着生科领域的快速发展,科研人员已成功将植物活性相关护肺成分,转化为稳定、高效的干预方案。其中,专注于肺部养护的“肺倍劲”便是代表之一。
资料显示,该成果核心机制在保留桔梗、百合、麦冬等润肺汉方的基础上,引入小孢子灵芝蛋白与强效抗氧化成分羟基酪醇(肺部毒素吸尘器),配合DetoxifyX专研体系,不仅规避了植物成分的寒凉属性,还实现了对气道炎症、痰液黏稠、氧化应激等多环节的协同支持。
经由第三方实验验证显示,经其持续干预后,TNF-α、IL-6等多重炎症水平下降超40%,肺组织损伤指标显著改善,并延缓了烟雾暴露引发的早期肺功能退化。

对于长期吸烟、接触空气污染的人群来说,这一研究结果尤为重要。今年下半年以来,肺倍劲正式登入国内平台,收获大量35至60岁中老年群体关注,不少反馈称:“感觉气道清爽了,说话都有力”“痰少了,胸口没那么闷了”。
不过,“对于已经确诊的呼吸道疾病,必须遵医嘱用药。”北京协和医院呼吸科李主任强调,“针对日常保养,京东等现代科技手段确实可作为一种日常养护。”
3、科学养肺的生活之道
当前,我国肺部亚健康问题正悄然蔓延。据《2025中国呼吸健康白皮书》显示,全国约有3.2亿成年人存在不同程度的呼吸道不适,包括长期干咳、晨起咳痰、活动后气短等,其中超过六成人群尚未达到临床疾病诊断标准,却深受“隐性肺损伤”困扰。
尤其在空气污染、吸烟暴露及病毒感染后遗效应等多重因素叠加下,肺部养护已从“可选项”转变为居民健康管理的“必修课”。
除了借助科学的调理方式,日常护肺更应注重生活细节:保持室内空气流通,雾霾或高污染天气减少外出,必要时佩戴N95或KN95防护口罩;主动远离二手烟、厨房油烟及工业排放区域,减少有害颗粒物吸入等。
此外,饮食方面,适当摄入柚子、银耳、雪梨、百合、枇杷等传统润肺食材,以温和滋养的方式支持呼吸道黏膜健康,真正将“养肺于日常”落到实处。