如果我告诉你长方形的长和宽分别为a和b,让你求它的周长和面积,那么你会觉得这个任务枯燥乏味。
但是,把题目改成这样:
画出两个长方形,使第一个长方形的周长恰好为第二个长方形周长的两倍,同时第二个长方形的面积恰好为第一个长方形面积的两倍。

长方形难题
现在感觉数学题有点儿刺激了吧?
通过简单的升级,我们把一个程序化的“苦差事”变成了相当费脑的小谜题。有一次,我把这道题作为期末考试的附加题,全校的六年级学生都被难倒了(同样,这道题的答案见尾注)。
这个变化过程表明,创造力需要自由,但又不能只有自由。如果我只要求“画出两个矩形”,这样漫无边际的问题不过是湿漉漉的火柴,是无法点燃创造力的。为了激发真正的创造力,我们需要的是有约束条件的难题。

还是回到终极版井字棋的例子。每次轮到你做选择的时候,你能走的地方都不多——可能有三四个吧。这就足以让你尽情发挥想象了,但又不至于让你想太多,陷入有无数可能性的沼泽。正是通过提供足够的规则和足够的约束,这个游戏才激发了我们的创造力。
这个例子很好地总结了数学的乐趣:创造力源于约束。如果常规的井字棋是一般人所了解的数学,那么终极井字棋才是数学本来的样子。
其实,所有的创造力都是在约束下激发的。用物理学家理查德·费曼的话来说,“创造力就是穿着约束衣的想象力”。比如十四行诗,它就有严格的格式限制——格律要严谨,语句要整齐,用词要押韵.....就连莎士比亚都要先满足这些条件,才可以用诗表达爱意。但这种约束非但没有使作品的艺术性打折,反而使其更为突出。或者,看看体育运动吧。在足球赛场上,在严格遵守比赛规则、不用手碰球的同时,球员们为了把球踢进球门,创造了“倒挂金钩”和“鱼跃冲顶”。违反了规则,就失去了比赛的风度。即便是那些古怪前卫、挑战传统的艺术,比如实验电影、 表现主义绘画、职业摔跤,也都是通过对抗其所属媒介的约束来汲取力量的。
创造力就是当大脑遇到障碍时激发的能力。只有遇到障碍时,人们才会想尽办法找到一条新出路。因此,没有障碍,就没有创新。
在数学中,这个道理有更进一步的体现。在数学上,我们不只遵守规则,还发明和调整规则。在提出一种可能的约束条件后,我们按逻辑进行运算和推导,如果得到的结论意义不大甚至无聊乏味,我们就要继续寻求更有效的新解法。
以上内容来自[美国]本·奥尔林的著作《欢乐数学》。
接下来,我们来看看书中提供的答案解析:
审题:我们考虑这两个长方形的边长都是整数的情况,这样更有意思。

设第一个长方形的长为a,宽为b,再设第二个长方形的长为c,宽为d。我们约定,a、b、c、d都是正整数。
据题意可知,a+b=2(c+d),并且2ab=cd。
解题思路:欧拉说过,代数的本质是用已知求未知。

现在我们考虑从上面的两个已知条件出发,推导出两个长方形的边长。
具体说就是,用仅含字母a的代数式表示b、c、d。

b=2c+2d-a
2a(2c+2d-a)=cd
4ac+4ad-2a²=cd

4ac-cd=2a²-4ad
c(4a-d)=2a(a-2d)

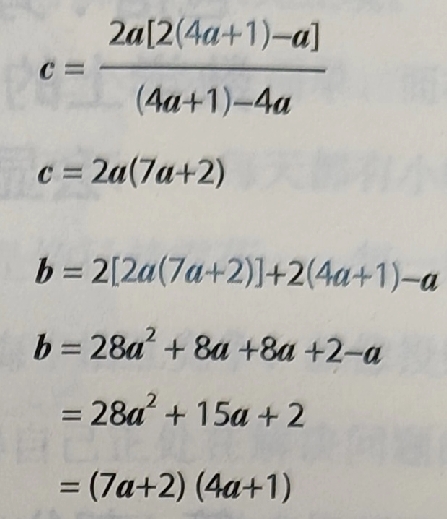
令d=4a+1,可以保证c是正整数
代入后整理可得
c=2a(7a+2)
把上式代入b的表达式
b=2[2a(7a+2)]+2(4a+1)-a
=28a²+8a+8a+2-a
=28a²+15a+2
=(7a+2)(4a+1)

于是我们就解出了这两个长方形的边长。

以上的推导给出了无穷个解,但并不是全部的解,因为还有其他的d取值方式可以保证c为整数。例如,这个推导就漏掉了我最喜欢的解:1×33和11×6。 我的同事蒂姆·克罗斯(Tim Cross)擅长解不定方程(Diophantine equation), 他向我展示了一种可以描述所有可能整数解的绝妙方法。不过,按照数学领域的“优良传统”,我打算把它作为一个“读者习题”,试试看吧。
读后感
读者习题就是留给我们的作业。几张图片后我们来解答并公布答案。



作业解答:《欢乐数学》作者关于创造力的论述非常精辟。创造力就是受约束的想象力,最高级的想象力是不自由的。

万维钢的书籍截图
作者给出的漂亮解法,充分发挥了代数的威力。
现在开始解题。
令t=d-4a,则d=4a+t
代入c的表达式可得

要保证c为整数,所以

也就是说t是14a²的一个因数。
因为14的全部因数为1,2,7,14,所以t可取值1,2,7,14。
关于上图可以用陈景润在《初等数论(I)》给出的定义1作补充说明。
定义1设a,b是整数,b≠0.如果有一个整数c,它使得a=bc,则a叫做b的倍数,b叫做a的因数。我们有时说,b能整除a或a能被b整除;也有时说,b能除尽a,或a能被b除尽.
如果b能整除a,我们就用bla这个符号来表示它,例如2|4,3|6.由于-30=6×(-5),20=(-5)×(-4), 所以6|(-30),(-5)|20.
如果b不能整除a,我们就写作

陈景润《初等数论(I)》截图
求出了t的取值范围,就可以确定d的其它取值方式了。仿照作者的方法,我们可以解出这两个长方形的边长了。
科学尚未普及,媒体还需努力。感谢阅读,再见。