编者按
自身免疫性肝炎(AIH)是一种慢性炎症性肝病,影响所有年龄段的患者,包括儿童。该病的特征是淋巴细胞浸润,可能导致急性肝功能衰竭、肝硬化甚至需要肝移植。目前,非特异性免疫抑制治疗(如皮质类固醇)是AIH的标准治疗方法,但这些药物有显著的副作用,且许多患者难以实现无类固醇缓解。因此,迫切需要针对AIH的特异性和无类固醇治疗方法。近日,德国汉堡-埃彭多夫大学医学中心的研究人员通过一系列研究揭示了AIH的免疫病理机制,并确定了TNF作为治疗靶点的潜力。他们通过采用无类固醇的英夫利昔单抗治疗的IIa期临床试验,展示了其在AIH治疗中的有效性,为患者提供了一种更安全、更具体的治疗选择。此外,这项研究为未来在AIH和其他自身免疫性肝病中应用免疫靶向治疗奠定了基础。

研究重要图表摘要
(doi: 10.1016/j.jhep.2026.02.026.)
研究背景AIH是一种慢性炎症性肝病,可影响所有年龄段的人群,包括幼儿。AIH的一个关键组织学特征是从门静脉区域延伸到肝实质的淋巴细胞浸润(界面性肝炎)。如果不进行治疗,该病可能导致急性肝功能衰竭,在不太急性的情况下,可能会迅速发展为肝纤维化、肝硬化和肝功能失代偿,伴随危及生命的并发症或需要进行肝移植。
非特异性免疫抑制治疗(即皮质类固醇治疗)是AIH的标准治疗方法,最初以高剂量作为诱导治疗,随后与维持治疗药物(如硫唑嘌呤或霉酚酸酯)联合使用低剂量。研究显示,大多数患者需要长期使用皮质类固醇才能达到治疗目标。然而,这类多效性药物的显著副作用是目前最紧迫的临床问题之一,例如可导致体重增加、代谢性骨病、糖尿病或抑郁等生活质量的下降;除此之外,与普通人群相比,皮质类固醇治疗是AIH患者发生重度抑郁或骨质疏松症的主要危险因素。因此,迫切需要开发既能有效又具有更好耐受性的靶向治疗,最好是无需使用类固醇的AIH治疗方法。
研究方法为了深入了解AIH的免疫病理机制,研究人员采用了多种先进的技术手段。首先,他们进行了批量mRNA测序,分析了16名AIH患者和11名原发性胆汁性胆管炎(PBC)患者的肝脏活检样本。随后,利用CITE-seq和snRNA-seq技术,对10名活动性AIH患者的肝脏活检样本和配对血液样本进行了单细胞水平的转录组分析。此外,研究人员还进行了功能性实验,包括体外细胞毒性测定和体内临床试验。
在临床试验部分,研究人员进行了一项无类固醇的IIa期临床试验,评估了抗TNF抗体英夫利昔单抗在AIH患者中的疗效。试验招募了12名新诊断的AIH患者,接受为期24周的英夫利昔单抗治疗,并在治疗期间和治疗后进行了详细的临床和实验室监测。
主要结果01
免疫网络的关键节点
研究通过批量mRNA测序分析了16名AIH患者和11名PBC患者的肝脏活检样本,发现AIH患者的肝脏中,髓系细胞和肝细胞产生的IL-15显著增加。IL-15不仅促进了自体攻击性CD8⁺ T细胞的细胞毒性和增殖,还通过上调粘附分子的表达,使肝细胞更容易被免疫细胞攻击。具体来说,AIH患者的肝细胞对TNF的反应是增加粘附分子(如ICAM1)的表达,这进一步促进了CD8⁺和CD4⁺ T细胞与肝细胞的相互作用。
下图展示了AIH疾病活动与促炎通路和细胞因子的相关性:

图1. AIH疾病活动与促炎通路和细胞因子的相关性
02
细胞间相互作用
通过单细胞测序技术,研究人员构建了一个详细的AIH肝脏免疫细胞图谱。他们发现,TRM1细胞和a.a.CD8⁺ T细胞在AIH中起着关键作用。TRM1细胞主要表达TNF和IFN-γ,而a.a.CD8⁺ T细胞则表现出自体攻击性特征。这些细胞通过分泌TNF和IFN-γ与髓系细胞相互作用,促进其促炎表型。
下图展示了AIH肝脏中细胞间的相互作用网络:

图2. AIH肝脏中TRM1、a.a.CD8⁺ T细胞、髓系细胞和肝细胞之间的相互作用网络
03
抗TNF抗体英夫利昔单抗(infliximab)的疗效
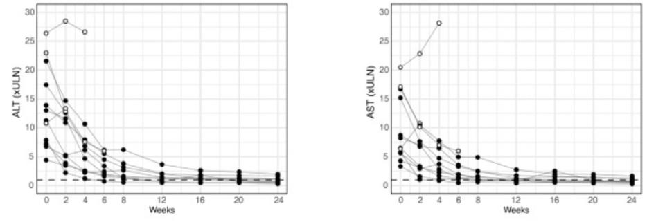
在临床试验中,12名新诊断的AIH患者接受了为期24周的英夫利昔单抗治疗。结果显示,2名患者在第24周达到了完全的生化缓解(ALT和AST正常化),所有患者的转氨酶水平显著下降。此外,英夫利昔单抗治疗还显著降低了肝硬度,表明其在减少肝脏炎症和纤维化方面的有效性。
值得一提的是,与标准类固醇治疗相比,英夫利昔单抗治疗在降低转氨酶水平和肝硬度方面表现出相似的效果,但没有类固醇相关的副作用。这表明英夫利昔单抗作为一种无类固醇治疗选择,具有重要的临床应用前景。
下图展示了英夫利昔单抗治疗前后患者的ALT和AST水平变化:

图3. 英夫利昔单抗治疗前后患者的ALT和AST水平变化
研究结论该项研究通过综合多组学技术和功能性实验向我们揭示了AIH的复杂免疫网络,并确认了TNF在其中的关键作用。有关抗TNF抗体英夫利昔单抗的临床试验结果表明,无类固醇治疗在AIH管理中具有良好的疗效和安全性。未来的研究将进一步探索这些发现的临床应用,以期改善AIH患者的治疗效果和生活质量。
原文链接:Xu Y, Weltzsch JP, Kilian C, et al. Integrative omics and phase IIa clinical trial identify TNF as key node in autoimmune hepatitis. J Hepatol. 2026 Mar 19:S0168-8278(26)00120-0. doi: 10.1016/j.jhep.2026.02.026.