转自:生物谷
这个世界上,存在着一群极其稀有的人——他们仿佛在用生命测试人类寿命的极限,我们通常称他们为“超级老人”。
MariaBranyasMorera就是其中一位。她活到了117岁,在2024年8月离世时,被吉尼斯世界纪录认证为全球最长寿老人。这位跨越了三个世纪的老人,不仅创造了生命长度的奇迹,更以其出色的健康状态,刷新了我们对衰老的认知:她一生未患癌症,没有心血管疾病,甚至连认知能力也维持得相当不错。
并且,当她去世时,她的两个女儿都已年过九十岁。这不禁让人感叹一句“家族基因的力量真强大啊”!

这样一个既长寿又健康的案例,自然引发了科学家的好奇:究竟是什么关键因素,让她在如此高龄依然保持健康?
对此,在MariaBranyasMorera女士生命的最后一年,研究人员对她进行了一次前所未有的全方位“体检”。收集了她的血液、唾液、尿液和粪便样本,展开了系统性分析。这一研究成果发表在CellReportsMedicine。

同时拥有长寿与健康的秘诀
研究揭示了一个迷人的悖论:MariaBranyasMorera女士的身体同时铭刻着极端衰老与青春活力的双重印记。一方面,其细胞端粒极度缩短,血液中存在典型的衰老相关基因突变;另一方面,她却拥有“幸运基因组合”(携带多种疾病防护变异、线粒体功能强劲)、近乎完美的脂代谢与极低炎症水平。
此外,她的肠道内双歧杆菌等有益菌的比例异常高,通常这在年轻人中更常见。这种菌群结构有助于抗炎和维持肠道健康,而这很可能与她长期坚持地中海饮食和每日食用酸奶的习惯密切相关。
对此,研究人员总结:MariaBranyasMorera女士的长寿是优越的遗传背景与后天健康生活方式完美结合的结果。

图1:基因组学研究
那么,对于我们普通人来说,除了遗传因素,能否通过改变饮食来延长健康寿命呢?如果这种饮食调整恰好能从我们每日餐桌上的“重头戏”——主食入手,那便更完美了!
此前,一项发表在RedoxBiology的研究为我们提供了答案。研究人员纳入了120名平均年龄为64岁的中年人,开展了一项随机对照试验,结果发现:仅需6周时间,通过用全谷物替代主食,即可显著降低全身炎症水平,对中老年人群健康产生了显著益处。

“换主食”实验设计
研究采用了随机、单盲、平行对照试验设计:研究人员从北京房山区张坊社区招募了120名当地社区45岁及以上的中老年参与者,将高血压患者与非高血压患者按1:1比例随机分配到全谷物组或精制谷物组。
研究人员采用“主食替代”策略,在完全不改变参与者原有饮食习惯的前提下,每日定量提供300克主食原料(米、面各半)。其中,全谷物组获得糙米和全麦粉,精制谷物组则使用普通小麦粉和精米,所有参与者均可按自家习惯自由烹饪,最大限度保持了日常饮食的真实性,同时还使用电子秤和饮食日记精准记录摄入量。为了确保干预效果,还采用了家庭干预策略,为家庭成员也提供了主食材料,防止家庭内食物共享。
所有参与者在最开始的时候接受了检测,包括代谢指标、炎症因子、T细胞亚群和粪便SCFA检测,并在6周干预后再次评估。

图2:研究设计和流程图
“换主食”仅6周即可显著降低全身炎症水平
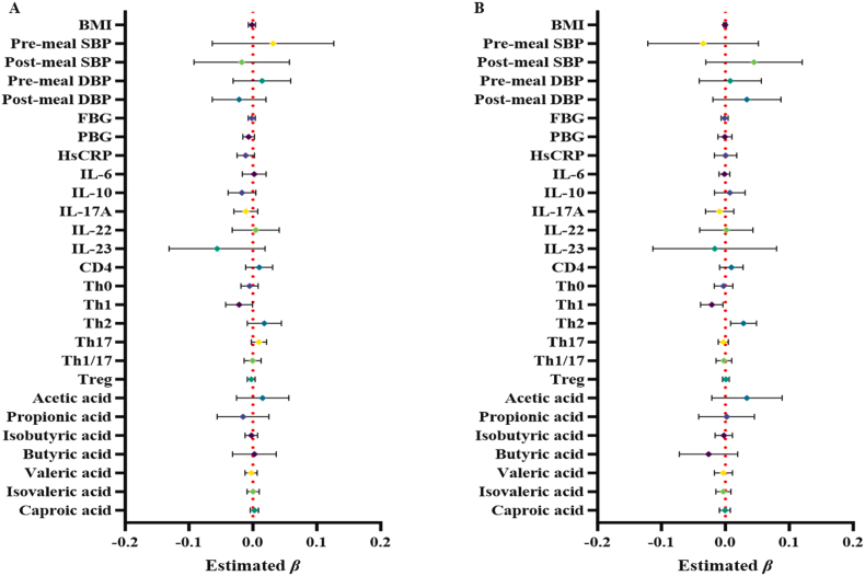
经过6周的干预后,检测结果显示:全谷物组与精制谷物组在BMI、血压和空腹血糖等方面未出现显著差异——即便将干预延长至12周,结论依然一致。这说明,短期更换谷物类型,尚不足以明显改变常规代谢指标。
然而,在炎症与免疫相关指标上,全谷物组却展现出积极变化:
循环中的促炎细胞因子IL-10、IL-22和IL-23水平明显降低;
Th1细胞频率显著上升,调节性T细胞(Tregs)则下降,这种免疫平衡的转变有助于减轻炎症反应;
其他T细胞亚群则未观察到组间差异。
不仅如此,全谷物干预还显著改变了参与者粪便中短链脂肪酸的组成,例如乙酸比例在全谷物组中下降,而丁酸比例则显著上升。
丁酸其实是结肠细胞的重要能量来源,对胃肠道上皮有最显著的营养作用,同时丁酸还是一种具有抗炎作用的短链脂肪酸,能促进Tregs功能。

图3:6周干预期间谷物摄入量与相关指标变化的关联
那为什么相比于精制谷物,全谷物能有这些健康效应?
全谷物与精制谷物的关键区别,在于它完整保留了麸皮、胚芽与胚乳,富含膳食纤维、维生素、矿物质及酚酸、黄酮类等多种生物活性成分。正是这些营养物质,让全谷物如同一个“健康外挂”,在体内低调发挥抗炎、免疫调节与肠道保护的作用。
总而言之,短期改吃全谷物或许不能让你立刻“掉秤”或“降压”,但它却在身体里默默做着更有价值的事:减轻炎症、平衡免疫、优化肠道菌群——这些内在改变,对改善健康状态是至关重要的。
小结
总之,从MariaBranyasMorera这样的“超级老人”,到严谨的膳食干预研究,科学不断印证:健康的饮食模式,是延长健康寿命的关键所在。在日常主食中适当加入全谷物,并坚持每日饮用酸奶(最好选择配料表更短、糖分更低的酸奶),能够从根源上调节免疫介导的炎症反应,优化肠道菌群的代谢功能,从而为我们构筑起一道对抗衰老与慢性疾病的天然防线。
也许我们大多数人无法活到117岁,但“老得慢一些,活得更健康一些”,却是每个人都可以追求的目标。希望阅读完上文能对读者朋友们有一些启示与帮助~
参考文献:
[1]Shelivedto117:whathergenesandlifestyletellusaboutlongevity
https://www.nature.com/articles/d41586-025-03112-6
[2]Santos-PujolE,Noguera-CastellsA,Casado-PelaezM,etal.Themultiomicsblueprintoftheindividualwiththemostextremelifespan.CellRepMed.PublishedonlineSeptember24,2025.doi:10.1016/j.xcrm.2025.102368.
[3]LiC,LiY,WangN,etal.Comprehensivemodulatoryeffectsofwholegrainconsumptiononimmune-mediatedinflammationinmiddle-agedandelderlycommunityresidents:Areal-worldrandomizedcontrolledtrial.RedoxBiol.2024;76:103337.doi:10.1016/j.redox.2024.103337
撰文|M