DC娱乐网
📢解锁快速计算技能,把我给计算差的❗❗
2025-12-09 00:12:49
重庆小柏
教育
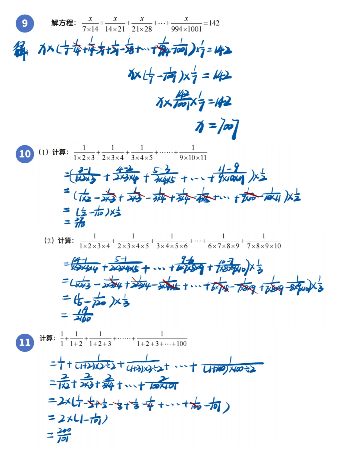
🌈裂项 形式:把一项拆成两项相加或相减; 实质:异分母分数加减法的逆运算; 目的:通过加减抵消或凑整,简化计算。 🌈裂差 特点:分母是两个数的乘积,分子是两个数的差,简而言之“母积子差”。 注意:若分子不是分母两个因数之差,需要调整系数。 🌈裂和 特点:分母是两个数的乘积,分子是两个数的和。简而言之,“母积子和” 注意:若分子不是分母两个因数之和,需要调整系数。 🌈繁分数 繁分数看成除法算式,进行计算。
热门分类
推荐
热榜
军事
NBA
体育
社会
明星八卦
娱乐
财经
科技
汽车
历史
国际
游戏
动漫
公益
搞笑
商业
互联网
数码
国际足球
房产
家居
时尚
科学探索
职场
育儿
股票
教育
影视
情感
热点
中国军情
武器
中国南海
中国足球
亚洲杯
科比
综合体育
CBA
投资
楼市
大咖秀
外汇
创业
风口
SUV
豪车
概念车
优惠
新能源
美国
欧洲
朝日韩
俄罗斯
孕期
街拍
恋爱攻略
婚姻
正能量