📚小学数学:公式类计算综合(上)
🌈一、等差数列
1️⃣末项=首项+(项数-1)×公差
2️⃣项数=(末项-首项)÷公差+1
3️⃣公差=(末项-首项)÷(项数-1)
4️⃣和=(首项+未项)×项数÷2
5️⃣金字塔数列求和:1+2+3+......+n +......+3+2+1=n2 (上山下山,山顶平方)
6️⃣奇数数列求和:1+3+5+ ......+(2n -1)= n2(天下无双,个数平方)
🌈二、常见公式
1️⃣完全平方(了解 )(a+b)2=a2+2ab+b2
(a-b)2=a2-2ab+b2(首平方,尾平方,两倍首尾放中央)
2️⃣平方差:a2-b2=(a+b)(a-b)
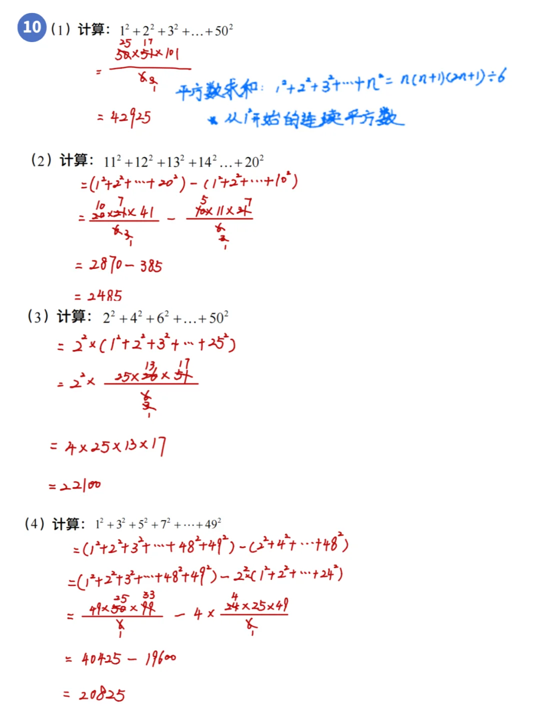
3️⃣平方和:12+22+32+...+n2=n×(n+l)×(2n+I)÷6
4️⃣立方和:13+23+33+...+n3=(1+2+3+...+n)3=n2×(n+1)2÷4








