DC娱乐网
高三一轮复习 10.2 二项式定理
2025-12-24 00:34:56
弄了与数学
教育
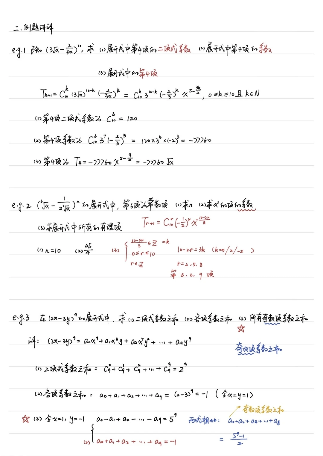
10.1 计数原理和排列组合,知识点比较少,所以我没有单独写教案,主要以练题为主。 10.2 二项式定理需要给学生好好梳理一下。
热门分类
推荐
热榜
军事
NBA
体育
社会
明星八卦
娱乐
财经
科技
汽车
历史
国际
游戏
动漫
公益
搞笑
商业
互联网
数码
国际足球
房产
家居
时尚
科学探索
职场
育儿
股票
教育
影视
情感
热点
中国军情
武器
中国南海
中国足球
亚洲杯
科比
综合体育
CBA
投资
楼市
大咖秀
外汇
创业
风口
SUV
豪车
概念车
优惠
新能源
美国
欧洲
朝日韩
俄罗斯
孕期
街拍
恋爱攻略
婚姻
正能量