每天一顿重口外卖影响有多大张雪峰去世脂肪出走日记减重不单飞 最近张雪峰老师高油高盐的饮食画面被翻出,又戳中了无数打工人的痛点😭
谁不是靠外卖续命?
最新发表在《Food Science & Nutrition》上的权威研究,用 8556 人 的大数据,把「外卖→炎症→健康风险」的链条扒得明明白白👇
这项研究参考了美国国家健康与营养调查(NHANES 2009–2018)的数据,专门分析了「吃外卖频率」「饮食炎症指数」和「心脏代谢健康」之间的关系:
1⃣ 天天吃外卖 = 主动选择「促炎饮食」🔥
和每周只吃 0-1 次外卖的人相比:✅ 每周吃 6 次及以上外卖
饮食炎症指数(DII)显著更高(β = 0.226; 95% CI: 0.061, 0.392)
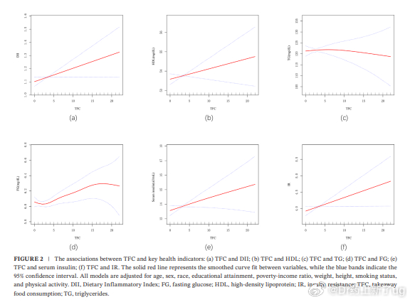
什么是饮食炎症指数?简单说就是给你的饮食「发炎程度」打分📝分数越高,说明你的饮食越容易让身体处于 慢性炎症 状态。
这种「小火慢炖」式的炎症不会让你立刻生病😣但会像温水煮青蛙一样,慢慢损伤血管、代谢系统,为高血压、高血脂、糖尿病、心血管疾病…… 埋下伏笔💣
2⃣ 高频外卖正在拖垮你的代谢,4 个指标亮红灯🚨
别以为年轻就能随便造!研究数据显示,天天靠外卖续命的人,心脏代谢关键指标已经在报警:
✅ 好胆固醇(HDL)变少📉负责清理血管脂肪的「血管清道夫」水平直线下降(β = -1.597; 95% CI: -2.767, -0.426)血管少了一层重要防护🛡
✅ 甘油三酯飙升📈血液里的「脂肪垃圾」疯狂堆积(β = 7.980; 95% CI: 1.202, 14.757)血液变黏稠,血管变脆变窄⚠
✅ 空腹血糖升高📊外卖吃得越勤,空腹血糖越容易偏高长期下去,糖尿病风险悄悄拉满💥
✅ 胰岛素抵抗加重🔒调节血糖的「开关」直接失灵身体对胰岛素不敏感,代谢紊乱找上门😫
⚠特别提醒女性朋友⚠研究发现:女性高频吃外卖后,血糖升高、胰岛素异常的情况比男性更明显!
姐妹们点外卖时,真的要多留个心眼呀💔
3⃣ 外卖不是「致命元凶」,但「促炎饮食」会拉高死亡风险☠
很多人焦虑:天天吃外卖会不会短命?研究给了一颗定心丸:外卖本身和死亡率没有直接关联✅但真正的隐患藏在「吃什么」里 ——
高油、高盐、高糖的外卖饮食,会让你的 饮食炎症指数一路走高🔥
而数据明确显示:饮食炎症指数越高,全因死亡风险就显著上升(HR = 1.0717; 95% CI: 1.0126, 1.1343)
换句话说:
外卖本身没罪,但你天天点的那些重口味外卖🚫正在用「慢性炎症」悄悄消耗你的健康寿命⏳
✅ 打工人外卖「抗炎自救指南」✨
既然没法彻底告别外卖,那就学会聪明点单:
1⃣ 选品类:优先清蒸、白灼、炖煮,避开油炸、干锅、重辣🍲2⃣ 主动备注:少油、少盐、少糖、不要辣油、不要浓汤🥢3⃣ 搭配蔬菜:每餐尽量有绿叶菜、菌菇、豆制品🥦4⃣ 控制频率:每周尽量≤3 次,给自己留几顿「家里饭」🍚5⃣ 多喝水、多走路,帮身体代谢掉多余油盐💧🚶♀


