DC娱乐网
压轴小题赏析安徽江淮十校2026届高三下学期4月模拟考试数学试卷单选题第8题,多
2026-04-29 07:12:31
桐瑞漫说小姐姐
小姐姐
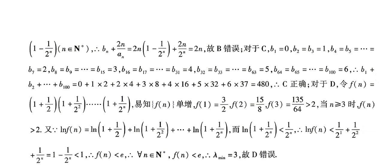
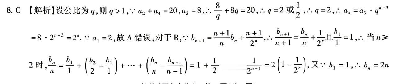
压轴小题赏析安徽江淮十校2026届高三下学期4月模拟考试数学试卷单选题第8题,多选题第11题,填空题第14题,欢迎收藏使用。
猜你喜欢
整张试卷答的最认真的一道题😂
2026-04-30
维斯塔记
标签:
内蒙古
湖南
考试时算出的答案有多离谱
2026-04-25
搞笑铁柱
学霸一旦搞起抽象....这种考试拿分最狠了哈哈哈
2026-04-24
维斯塔记
标签:
学霸
当学校使用AI阅卷
2026-04-26
全网梗王不认输
标签:
ai
一位教育专家说:“一定要告诉孩子,高考一定不要太老实,记住这些窍门,高考多拿几
2026-04-27
认知进化
标签:
作文
高考
同学们注意啦,国家电网第三批26春季校招已经正式启动,这可是咱们应届生进“国网”
2026-04-29
先生常
标签:
应届生
进入高中你会发现:1、大多数学生的天花板不是600分,而是500分,大多数
2026-04-03
飞兰谈课
标签:
数学
高中物理
中国为什么出不了顶级数学家?北京大学数学天才张筑生为国拿下五个第一,却一辈子都没
2026-04-19
风吟写枪啸
标签:
数学
北京大学
上海
热门分类
推荐
热榜
军事
NBA
体育
社会
明星八卦
娱乐
财经
科技
汽车
历史
国际
游戏
动漫
公益
搞笑
商业
互联网
数码
国际足球
房产
家居
时尚
科学探索
职场
育儿
股票
教育
影视
情感
热点
中国军情
武器
中国南海
中国足球
亚洲杯
科比
综合体育
CBA
投资
楼市
大咖秀
外汇
创业
风口
SUV
豪车
概念车
优惠
新能源
美国
欧洲
朝日韩
俄罗斯
孕期
街拍
恋爱攻略
婚姻
正能量