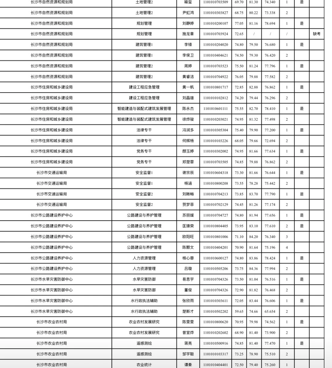
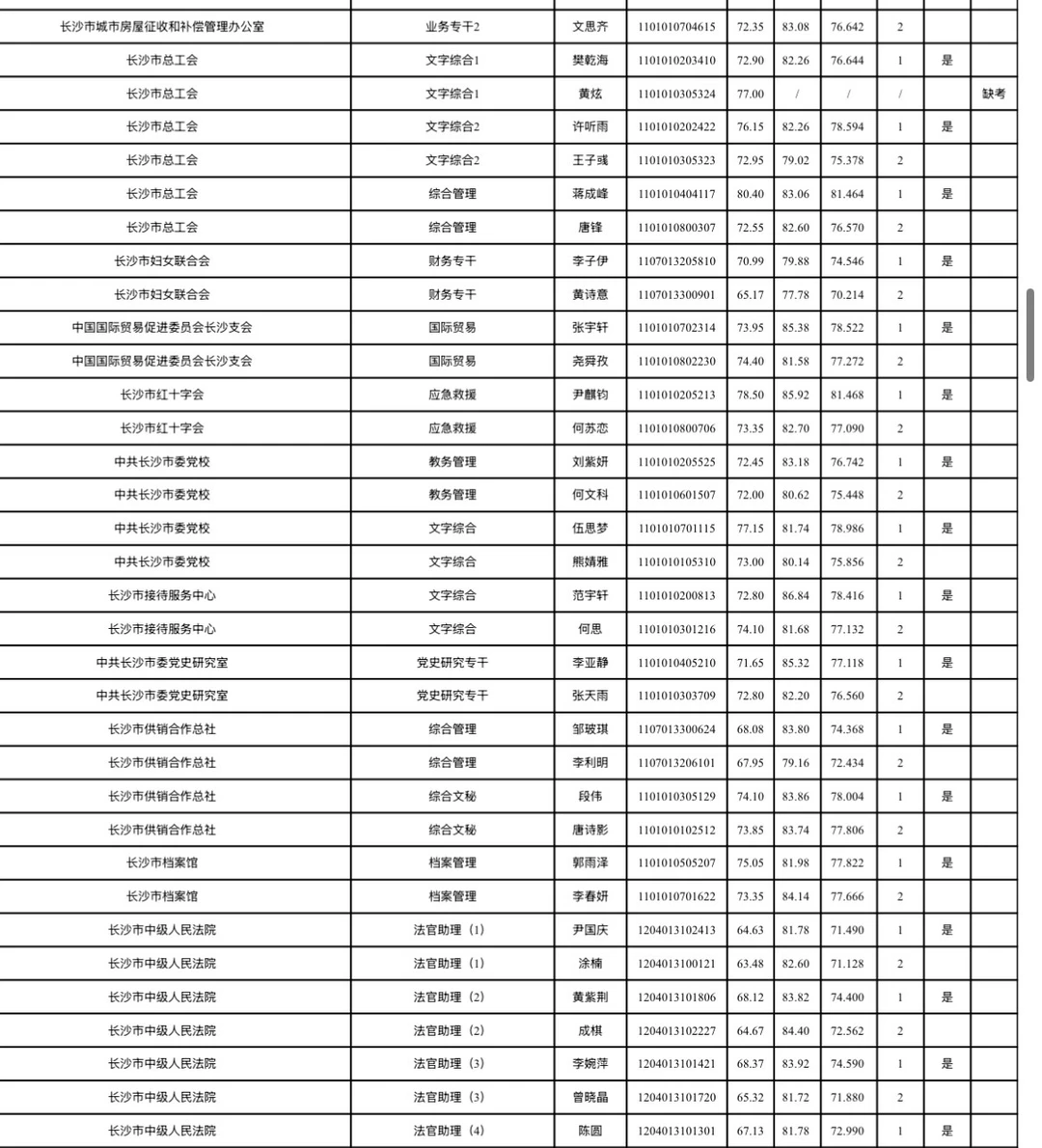
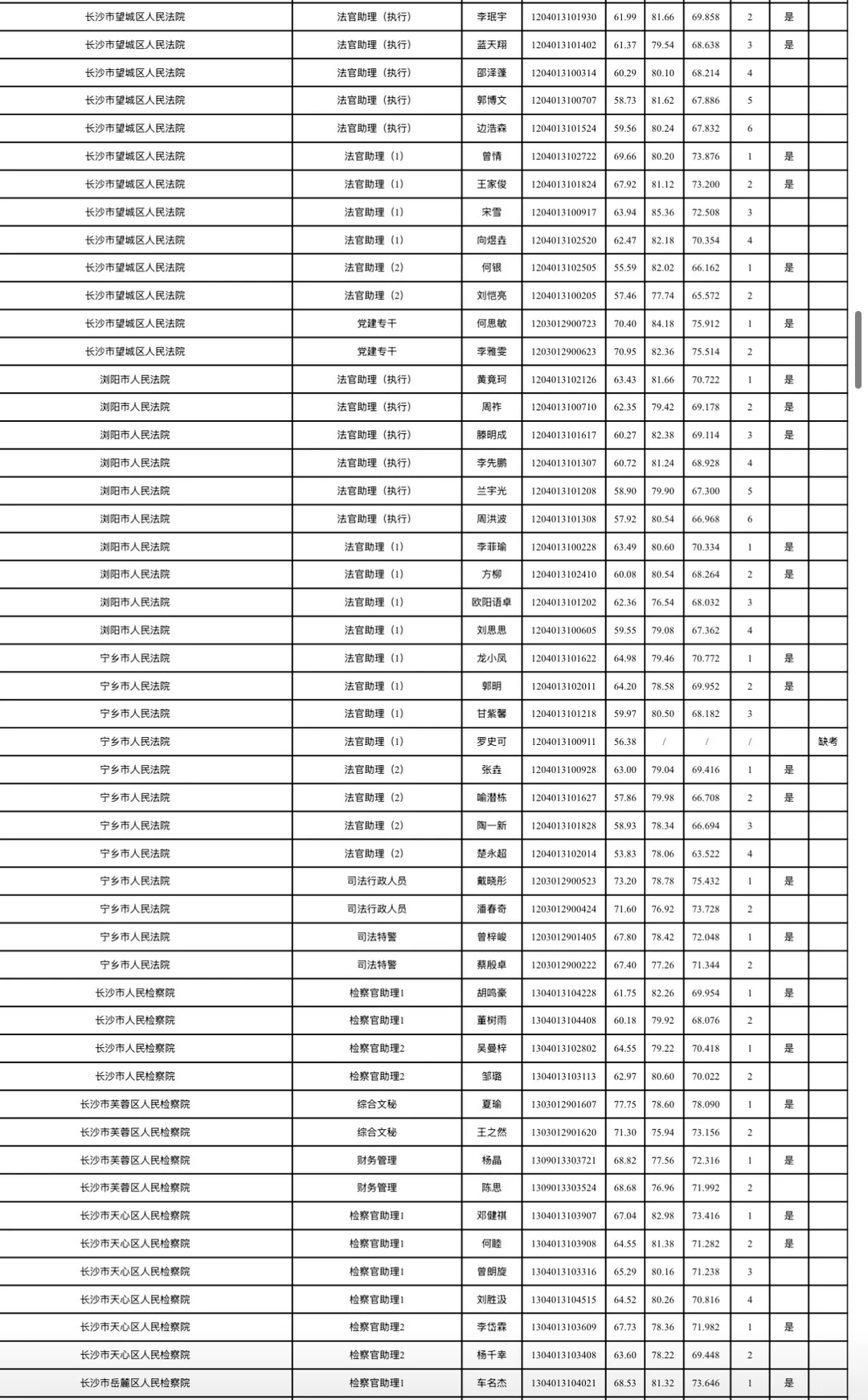
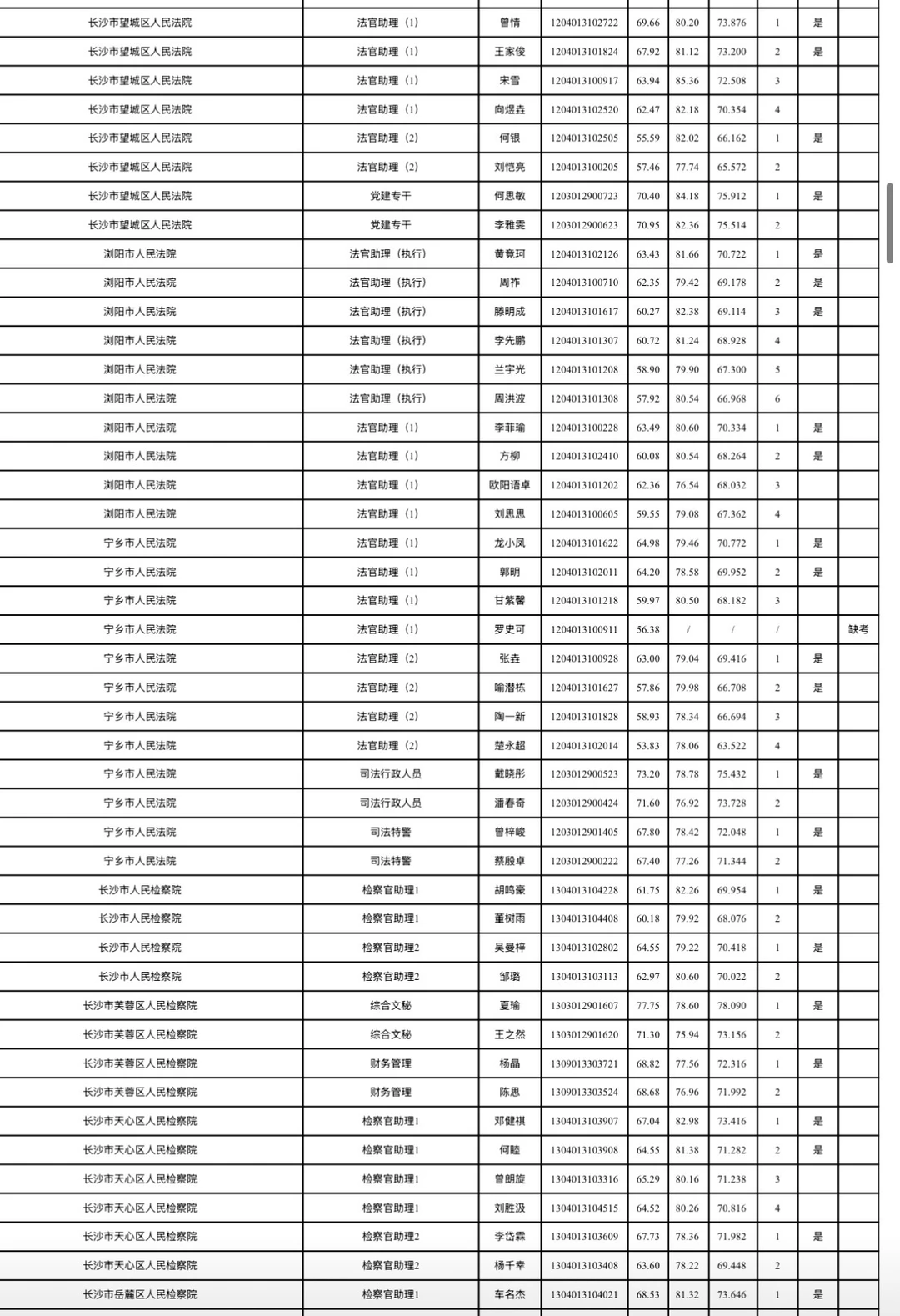
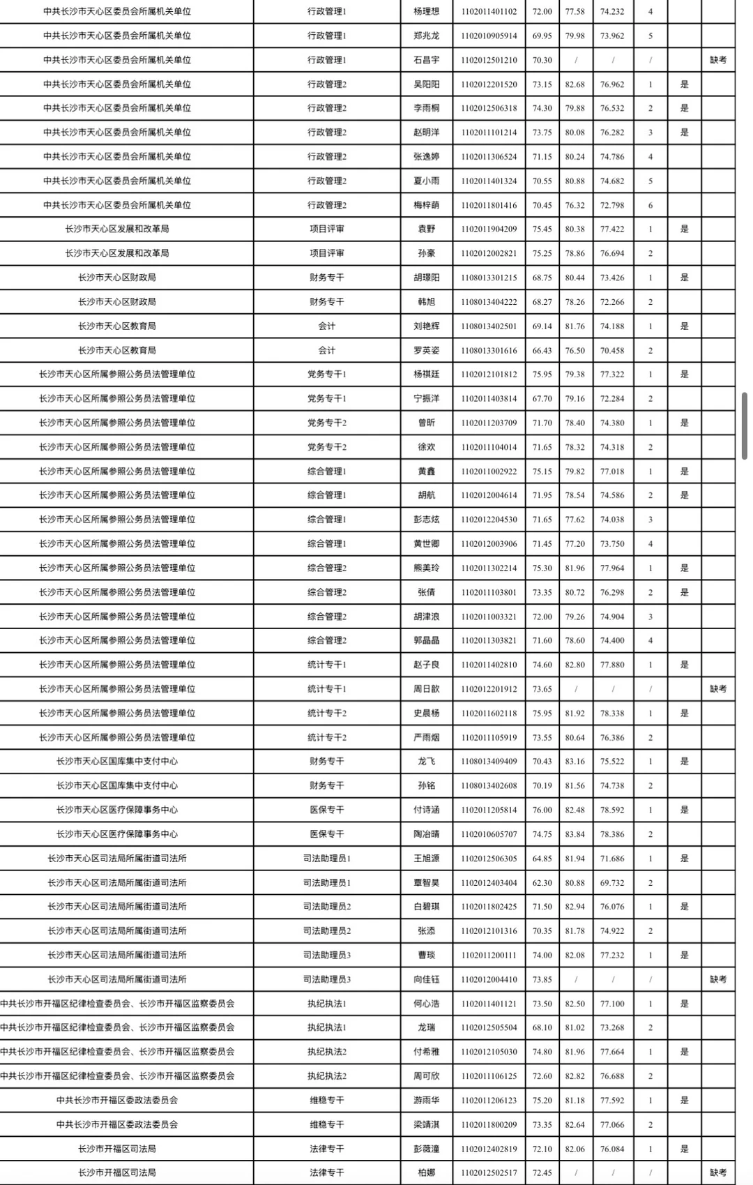
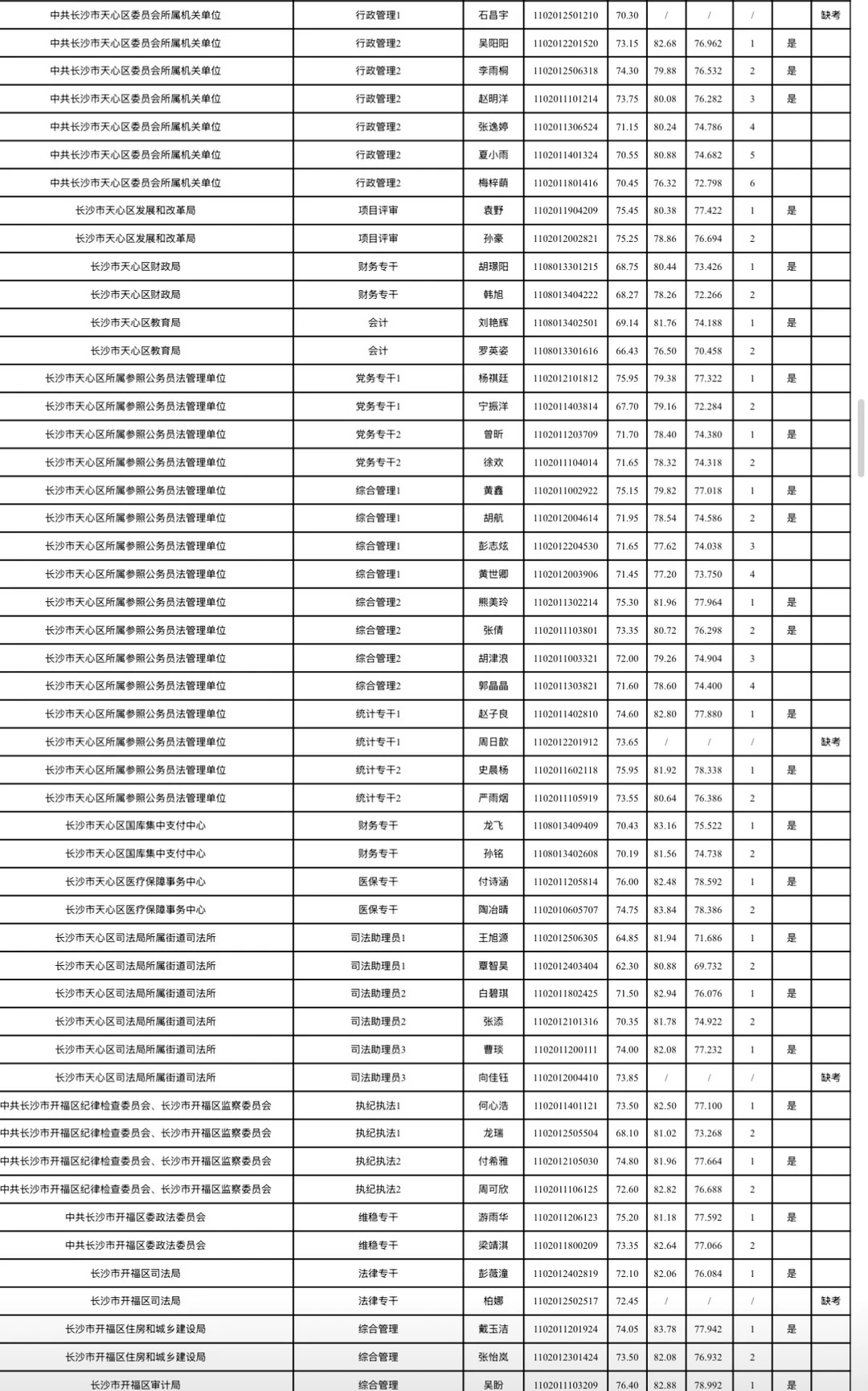
长沙市2026年考试录用公务员综合成绩排名及入围体检情况公告根据《湖南省2026年考试录用公务员公告》规定,经笔试、资格审查(体能测评)、面试等环节,按照招考职位计划1:1的比例,在参加面试人员中按综合成绩从高分到低分的顺序确定体检对象;招录职位实际参加面试人数没有形成有效竞争的,报考人员面试成绩必须不低于当场(同一场次、同一面试考官组、同一套面试题本)形成有效竞争职位入围体检人员的最低分数。根据政策规定,现将长沙市2026年考试录用公务员面试考生综合成绩排名及入围体检情况公布(见附件)。各招录机关近期将按公务员考试录用规定开展体检、考察等工作,请入围考生保持通讯畅通。











