奇异值分解(Singular Value Decomposition,SVD)是线性代数中的一种重要矩阵分解技术,它将任意矩阵分解为三个矩阵的乘积,揭示了数据的主要变化方向和强度。广泛应用于信号处理、图像压缩、推荐系统、自然语言处理等领域。
SVD的数学定义SVD将一个任意m×n的矩阵A分解为三个矩阵的乘积:A=UΣV^T。其中,U是一个m×m的正交矩阵,其列向量称为左奇异向量;Σ是一个m×n的对角矩阵,其对角线元素为非负实数,称为奇异值,且按降序排列;V是一个n×n的正交矩阵,其列向量称为右奇异向量。

这一分解具有唯一性(当奇异值按降序排列时),且对于任意矩阵都成立。当A为实矩阵时,U和V为实正交矩阵;当A为复矩阵时,U和V为复酉矩阵。
如何求解?现在我们想要对一个矩阵A进行奇异值分解,核心就是求出三个矩阵,那么这三个矩阵呢?
假设A为复矩阵,此时U和V为复酉矩阵,不要忘记复酉矩阵的性质。

这个的推断过程说明了:
A^HA的特征值是Σ²,然后特征向量是V
AA^H的的特征值是Σ²,特征向量是是U
那么就可以通过这个关系来求解Σ,V,U了
还有一个就是我们可以通过A^HA来求出Σ²和V,然后通过A=UΣV^H求出U,也就是:
实例前面我们介绍过:一个矩阵的奇异值,等于这个矩阵A^HA的特征值开根号,也就是说要想求解一个矩阵的奇异值,可以先求A^HA的特征值。这里我们要来用一下。

首先求A^HA的特征值和特征向量

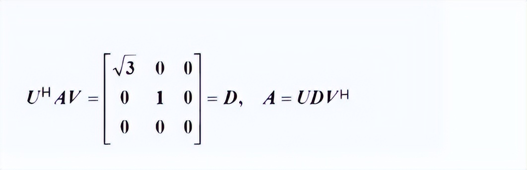
如上所示,我们可以求出非零特征值1和3,所以可以求出它的奇异值为1和根号3,此时可以得到Σ矩阵为:

我们只要非零的特征值,这里非零的只有两个,所以这里Σ只有两维。此时特征向量构成的V矩阵如下:

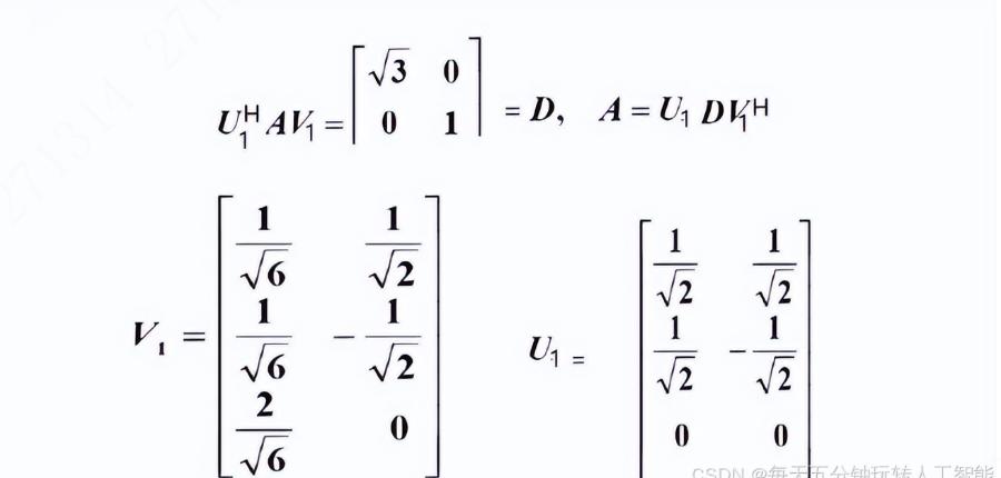
如图所示,我们可以看到因为rA=2,所以V变成了V1,维度变为了3*rA,也就是3*2,也就是第三列不要了,然后继续可以求出U1

然后求出U1之后如何推导U呢?需要再加一列,因为U是正交的,所以需要加一列,让U是正交的就可以了,此时可以加(0,0,1),此时的矩阵U为:


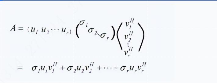
那么此时A的分解完成了,除了这样的表现形式还可以通过下面的方式表现形式,也就是说Σ不取全部只取一部分,那么此时矩阵A=

也就是说还可以通过这种方式来进行表示,此时V1的维度为m*r,Σ为r*r,U1的维度为n*r,三个乘起来A为m*n。然后它们可以继续进行处理,变成如下的形式:
压缩矩阵压缩矩阵A的方法是取一个秩为k (k≤r)的矩阵Ak来逼近矩阵A。

所有在秩为k (k≤n)的所有矩阵中,矩阵Ak所对应的图象和矩阵A所对应的图象最相近。一般的,k越大图像就越清晰。经典的方法是选取接近k,使Ak的存储量比A的存储量减少20%。
假设有一个 100×100 的灰度图像矩阵 A,对其进行SVD后,选择前 k=10 个奇异值。
原始矩阵 A 的存储空间为 100×100=10,000 个元素。
近似矩阵 A10 的存储空间为:
U10:100×10=1,000 个元素
Σ10:10×10=100 个元素
V10H:10×100=1,000 个元素
总计:1,000+100+1,000=2,100 个元素
存储空间减少了约 79%。
SVD的应用图像处理与压缩
SVD在图像处理中有着广泛的应用。通过保留主要奇异值,可以实现图像的有效压缩。例如,在JPEG2000等图像压缩算法中,SVD被用于将图像矩阵分解为较低秩的近似矩阵,从而减少存储空间和传输带宽。此外,SVD还可以用于图像去噪和恢复,通过去除较小的奇异值来滤除噪声和次要细节。
推荐系统
在推荐系统中,SVD是协同过滤推荐系统的基础算法之一。通过对用户-物品评分矩阵进行SVD分解,可以将用户和物品映射到一个隐空间中,并预测用户对未评分物品的可能评分。这种方法可以有效地处理稀疏数据,为用户提供个性化的推荐。
文本分析与主题建模
在自然语言处理中,SVD被用于创建词语和文档的向量空间模型。通过对文档-词项矩阵进行SVD分解,可以揭示潜在语义结构,用于文本聚类、搜索优化和主题建模等任务。例如,潜在语义分析(LSA)就是基于SVD的一种文本分析方法。
人脸识别与图像特征提取
SVD可以用于提取图像的关键特征。例如,在人脸识别中,对人脸图像数据集应用SVD可以提取主要特征向量(特征脸),用于高效匹配和识别。此外,SVD还可以用于异常检测,通过低维表示中的异常值来识别与训练数据差异较大的样本。
信号处理
在信号处理中,SVD可以用于信号分离和特征提取。例如,在语音信号或生物医学信号中,SVD可以提取有用的信息,去除噪声和干扰。