
当大型强子对撞机又一次宣布没有发现超对称粒子时,一些物理学家会沮丧地叹息,认为这是又一次失败的实验。但真正懂行的人知道,这恰恰是物理学取得进展的方式。在过去十年里,我们通过排除数百种错误理论,比通过证实少数几个正确理论,更接近理解宇宙的本质。
2025年,LIGO引力波天文台记录下了第200个引力波信号,其中包括迄今观测到的最大质量黑洞合并事件。同年,大型强子对撞机向ATLAS和CMS实验各交付了125平方飞巴的碰撞数据,创下新纪录。但这些数据的真正价值不在于发现了什么新粒子,而在于它们排除了什么可能性。
被误解的科学进步公众对科学突破的想象往往充满戏剧性:一位天才科学家灵光一现,提出惊世骇俗的理论,然后实验证实了他的猜想。爱因斯坦预言引力波,一个世纪后LIGO探测到了它,这是个好故事。但这不是科学通常的运作方式。

图片来源:费米实验室今日新闻
高能粒子之间会发生碰撞,产生大量新粒子,这些粒子可以被探测器观测到。通过重建每个粒子的能量、动量和其他属性,我们可以确定最初碰撞的粒子种类以及在本次事件(以及许多其他类似事件)中产生的粒子种类。
更常见的情况是,数十位理论家提出数百种不同的想法,然后实验一个接一个地排除掉它们。超对称理论预言存在一系列新粒子,包括带电希格斯玻色子,但大型强子对撞机只找到了一个标准的中性希格斯。大统一理论预言质子会衰变,寿命约为10的30次方年,但日本超级神冈探测器已经将这个限制推到了10的34次方年以上。

图片来源:丹尼尔·多明格斯/欧洲核子研究中心
右侧图示了规范玻色子,它们传递着宇宙的三种基本量子力。电磁力由一个光子传递,弱力由三个玻色子传递,强力由八个玻色子传递。这表明标准模型是由三个粒子群:U(1)、SU(2) 和 SU(3) 组合而成,它们的相互作用和粒子共同构成了我们所知的一切。尽管这一模型取得了成功,但仍有许多谜题悬而未决。
2025年发表的一篇综述论文直言不讳地问:"大型强子对撞机真的排除了超对称吗?"尽管十多年来没有发现任何超对称粒子,但答案依然是"并没有完全排除"。这听起来像是理论家的固执,但实际上反映了科学方法的严谨性。超对称理论有太多变种,每排除一个,就意味着参数空间缩小了一点,真相的轮廓就清晰了一点。
数据的黄金时代我们正处于实验物理的黄金时代,但很多人没有意识到这一点。LIGO不仅在2024年10月和11月探测到了两个特殊的黑洞合并事件GW241011和GW241116,更重要的是,这些事件显示出黑洞旋转轴严重倾斜的特征,这被认为是"第二代黑洞"的证据,即由更早的黑洞合并形成的黑洞。

图片来源:《伦敦新闻画报》,1919年
1919年,亚瑟·爱丁顿的探险之旅证实并验证了爱因斯坦广义相对论的预测,但与牛顿力学的预测存在显著差异。这是爱因斯坦新引力理论的首次观测验证。日全食期间星光偏转的程度是爱因斯坦新理论独有的关键预测。
这类观测的价值不仅在于证实了某些理论预测,更在于它严格限制了引力理论的可能形式。2017年中子星合并事件GW170817的观测显示,引力波和电磁波几乎同时到达地球,两者相差仅1.7秒,而传播距离达1.3亿光年。这一观测直接否定了那些预言引力传播速度不同于光速的理论,比如高斯博内引力和某些标量张量引力理论。
超级神冈探测器和即将全面运行的超级神冈升级版正在继续寻找质子衰变的迹象。每过一年没有观测到质子衰变,质子寿命的下限就会提高,对大统一理论的约束就会更紧。目前的数据已经排除了最简单的格奥尔基格拉肖SU(5)统一模型,但这不是失败,而是进步。
理论家的真正价值
图片来源:Latham Boyle 和 Mardus/Wikimedia Commons
这张图展示了标准模型的结构(与基于4×4粒子方阵的常见图像相比,它更完整、更清晰地展现了关键关系和模式)。具体来说,这张图描绘了标准模型中的所有粒子(包括它们的字母名称、质量、自旋、手性、电荷以及与规范玻色子的相互作用,即与强力和电弱力的相互作用)。它还描绘了希格斯玻色子的作用以及电弱对称性破缺的结构,指出了希格斯玻色子的真空期望值如何打破电弱对称性,以及其余粒子的性质如何因此而改变。中微子的质量仍然无法解释。
很多人嘲笑理论物理学家沉迷于弦理论、超对称、额外维度等"不切实际"的想法。但这种嘲讽完全误解了理论物理的作用。理论家的工作不是猜对答案,而是提出可检验的预测。
一个好理论必须满足三个条件:它不能与现有数据冲突,它必须解释至少一个当前理论无法解释的现象,它必须做出与当前理论不同的、可检验的预测。满足这三个条件后,理论家的任务就完成了,剩下的交给实验。如果实验排除了这个理论,那也是巨大的成功。
以超对称为例,它试图解释为什么希格斯粒子的质量如此之小,为什么标准模型中的各种参数取特定的值,以及暗物质可能是什么。它预言了一系列新粒子,包括最轻超对称粒子作为暗物质候选者,以及多个希格斯玻色子。大型强子对撞机没有发现这些粒子,这意味着如果超对称存在,它发生的能量尺度必然高于当前对撞机能达到的水平。

来源:Universe-review
宇宙中基本粒子的静止质量决定了它们何时以及在何种条件下产生,也与它们在大爆炸高温时期产生后能够存活多久有关。粒子的质量越大,它在早期宇宙中自发产生的机会就越少,其寿命也就越短。虽然我们可以通过与希格斯玻色子的耦合来解释粒子的质量,但我们无法成功预测它们的具体数值;它们必须通过实验测量才能确定。
这不是失败,而是信息。每一次"没有发现"都在缩小理论参数的可能范围。物理学家现在知道,如果超对称存在,超对称粒子的质量必须大于几个TeV。如果暗物质是超对称粒子,它与普通物质的相互作用强度必须低于某个阈值。这些限制本身就是知识。
科学不是猜谜游戏普通人常常误以为科学就是猜测自然界的秘密,谁先猜对谁就是天才。但科学不是猜谜游戏,而是系统地排除错误可能性的过程。卡尔波普尔早就指出,一个理论的科学性不在于它能否被证实,而在于它能否被证伪。

图片来源:欧洲航天局和普朗克合作组织;注释:E. Siegel
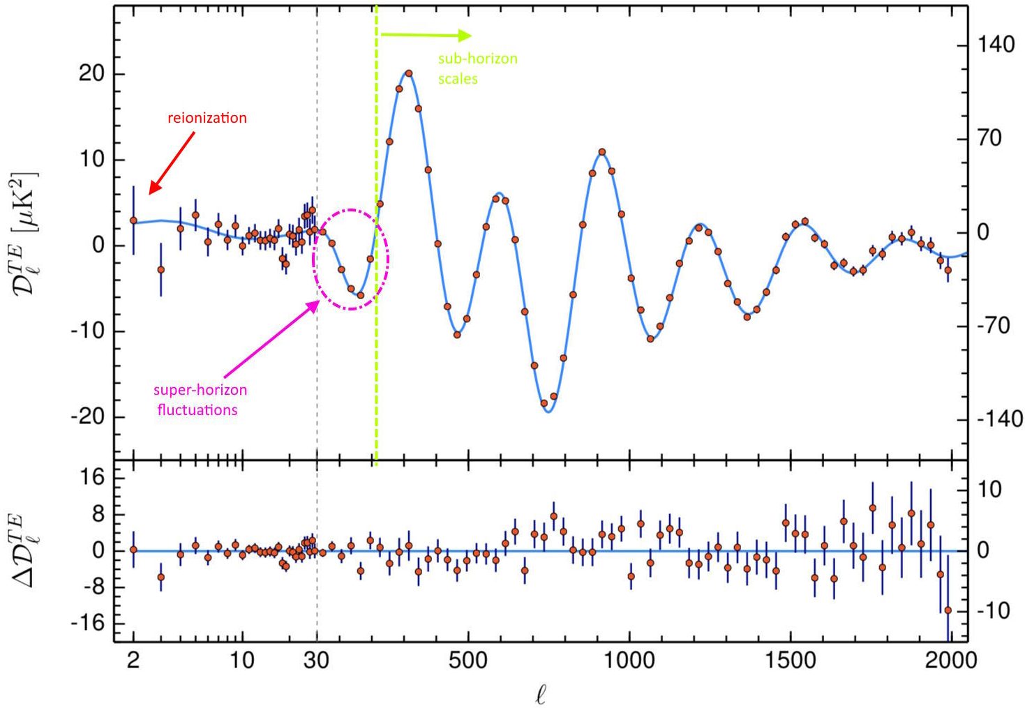
如果想要在可观测宇宙中寻找超视界涨落的明确证据,就需要考察宇宙微波背景辐射TE互相关谱中的超视界尺度。随着2018年普朗克卫星最终数据的公布,现有证据压倒性地支持超视界涨落的存在,验证了暴胀理论的一项非凡预言,并推翻了“如果没有暴胀,这种涨落就不应该存在”的预测。
从这个角度看,那些做出明确预测却被实验否定的理论,比那些含糊不清、无法检验的猜想要有价值得多。正是因为大统一理论明确预言质子会衰变,我们才能通过寻找质子衰变来检验它。正是因为超对称理论预言了特定质量范围内的新粒子,我们才能用对撞机去验证或排除它。
世界经济论坛最近的一份报告提到,物理学正在经历从"发现驱动"向"约束驱动"的转变。在20世纪,物理学的重大突破往往来自意外发现:X射线、放射性、宇宙微波背景辐射。但在21世纪,更多的进展来自精确测量和系统排除:我们没有发现新粒子,但我们知道了如果存在新粒子,它们必须有多重;我们没有探测到额外维度,但我们知道了如果存在额外维度,它们必须有多小。
逼近真相的曲折路径
图片来源:Johan Jamestad/瑞典皇家科学院
量子力学中的纠缠对可以比作一台向相反方向抛出颜色相反球的机器。当鲍勃接到一个球并看到它是黑色的时,他立刻就知道爱丽丝接到了一个白球。在一种使用隐变量的理论中,这些球一直包含着关于其颜色的隐藏信息。然而,量子力学认为,这些球在被观察之前是灰色的,或者黑白相间的,直到有人观察它们时,一个球随机变成白色,另一个变成黑色。贝尔不等式表明,存在一些实验可以区分这两种情况。这些实验已经证明量子力学的描述是正确的,球的颜色在测量之前是不确定的。
物理学的历史表明,理解自然的道路很少是直线。牛顿力学被证明只是相对论在低速情况下的近似,而相对论和量子力学至今仍无法统一。我们当前的标准模型虽然成功,但它无法解释暗物质、暗能量、中微子质量、物质反物质不对称以及为什么宇宙常数如此之小。
面对这些谜题,理论家提出了各种可能的解决方案:超对称、大统一、额外维度、弦理论、圈量子引力、修改的引力理论。其中大多数最终会被证明是错误的,但这不意味着它们毫无价值。每一个被排除的理论都在告诉我们,自然界不是那样运作的,从而缩小了搜索范围。

图片来源:Cjean42/Wikimedia Commons
假设的大统一群SU(5)包含了标准模型的所有粒子以及一些额外的粒子。特别地,图中标记为“X”的一系列(必然是超重的)玻色子同时具有夸克和轻子的性质,它们会导致质子从根本上不稳定。然而,这些玻色子的缺失以及观测到的质子稳定性,为该理论在科学意义上的有效性提供了强有力的反证。
当LIGO在2025年探测到第200个引力波信号时,它不仅证实了广义相对论的预言,更重要的是排除了数十种引力理论的替代方案。当大型强子对撞机在2025年交付创纪录的碰撞数据却依然没有发现超对称粒子时,它不是在浪费时间,而是在系统地探索自然界可能的理论空间。
这就是现代理论物理最被低估的成就:通过严格的实验和观测,系统地排除错误的理论,一步步逼近真相。这个过程或许不如发现新粒子那样激动人心,但它同样重要,甚至更加重要。因为在科学中,知道什么是错的,往往和知道什么是对的一样有价值。