
虽然大家普遍认为量子力学非常复杂,但这个科学领域,至少允许我们通过实验去直接向自然界求解。然而,当我转向经典概率学时,我发现那里的挑战似乎更加令人困惑,甚至可以说是一种超越常规的“疯狂”。在经典概率学中,深层次的理论探索可能会引发更大的混乱和挑战,与量子力学相比,经典概率学在某些方面可能更加难以理解和掌握。
当科学家或研究者对某个领域或某些理论过于熟悉时,他们可能会变得过于自信,从而忽视其他可能性或新的观点。这种现象在量子力学的学习过程中尤为明显,许多初学者试图用他们所熟悉的经典概率理论来解释量子力学,这其实是一种误解,因为概率论本身就是一个极其复杂的概念。
因此,我倾向于将量子力学看作是对现实世界随机过程的基本模型,这是一个可以通过实验来验证的具体领域。量子力学不仅是理论的起点,也是一个不断发展中的领域,特别是在解释量子结果方面。
坦诚地说,我对概率论的理解是有限的,并且我怀疑是否真的有人能完全理解它。
经典概率实际上暗示了量子力学
在量子力学中,有一个来自数学视角的独特见解,认为量子力学的核心特征——幅度(magnitude)加法,实际上可能是概率存在的根本原因。幅度加法涉及到量子状态的叠加,这些状态用复数表示,它们的平方和给出了发现粒子在特定状态的概率。

在任何自然过程中,所有可能结果的概率之和都是固定的,总是等于1,这说明概率在自然界中的一致性。这个性质与数学中描述向量的平方范数概念相似,即一个向量的各分量平方的和。
将这个概念应用于量子力学,我们可以把量子态想象为一个向量,其分量代表不同状态的幅度。这些分量的平方和——也就是概率——始终保持不变。通过将概率论中的“可能性”转换为量子力学中的“状态”,我们可以看到这两个概念之间的紧密联系,这突出了量子力学对于理解概率本质的重要性。
量子力学中有个至关重要的概念叫幺正算子U(Unitary Operator),因为它们保持概率总和的不变性。类似地,左随机、右随机和双重随机(马尔可夫)矩阵在矩阵乘法下形成一个群,就像幺正矩阵一样。
马尔可夫矩阵,也称为马尔可夫转移矩阵,是用来描述马尔可夫过程中各状态之间转移概率的矩阵。在马尔可夫过程中,系统的未来状态只依赖于当前状态,而与过去的状态无关。
这些矩阵的特点是它们的行或列元素之和为1,这在描述概率过程中非常关键。这些数学概念的结合为理解量子系统的性质提供了深刻的视角。
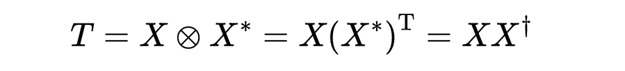
给定任何作用于有限n维量子空间的幺正转换矩阵U,和一个量子概率幅值状态向量X,概率(平方大小)位于n×n矩阵下面矩阵的对角线上:

(这里†代表复共轭转置),而幺正转换对这个实体的作用是线性的,“旋量”左右作用称为U的伴随表示,即

因为幺正矩阵的逆是其复共轭转置。因此,这种伴随表示是线性的,在矩阵T中保持迹不变,即概率(因为U通过相似变换作用)。因此,每个马尔可夫矩阵及其对概率向量的线性作用可以由作用于包含该概率向量在其主对角线上的n×n矩阵:

的一整个幺正矩阵家族的线性、伴随表示作用来表示。当然,这种对应关系是高度的一对多(马尔可夫矩阵对幺正矩阵),因为我们可以将X的元素乘以任意相位因子而不改变T的主对角线。
实值的幺正矩阵称为“正交”矩阵。幺正性实质上是指在复数向量空间中,通过保持向量间的复数内积不变,来维持它们的正交关系。这种性质表明,当向量经过幺正变换后,它们之间的正交性(即内积为零的关系)得以保持。
我们的概率直觉从哪里来?
我们对概率的直观理解,我相信,并非源于对随机性或随机过程的理解(这些概念本身就相当复杂和混乱),而实际上更可能来源于我们对测量的本能认知,例如对面积和体积的直观感受。

在数学中,概率理论的严格处理以测度理论为基础。测度理论提供了一种精确的方式来定义和处理集合的“大小”,这在概率理论中至关重要。在这个背景下,集合的“大小”可以被理解为该集合内元素发生的概率。
测度理论是一个高级的数学领域,包含许多新的和复杂的概念,如勒贝格积分。对于只上过一门相关课程的学生来说,这些概念可能会显得非常难以理解和吸收。尽管测度理论在初学时可能显得复杂和困难,但其核心目标实际上是将我们对物理世界中的“大小”概念(如长度、面积和体积)进行形式化和公理化。例如,在测度理论中,“面积”和“长度”这些术语被用于描述更一般的集合大小的概念,无论它们是在一维、二维还是更高维度的空间中。
在概率论中,我们将所有可能发生的事件的集合视为一个测度空间,其中每一个点代表了一个特定的事件。更复杂的事件,如由一定规则定义的一组事件,形成了这个空间的子集。为了理解这些事件的概率,我们可以将它们的发生概率想象为它们在测度空间中所占的比例,类似于在一个目标上盲目投掷飞镖,飞镖落点代表发生的事件。因此,一个特定事件发生的概率就是这个事件(子集)在整个测度空间中所占比例的大小。

在讨论测度空间和相关术语时,这些词语的具体含义仅在与测度空间的概念相联系时才成立。这是科学研究的一个常见特点,即通过精确定义术语来消除概念上的不确定性和模糊性。这样做的目的是为了建立可以通过实验验证的清晰模型,确保在科学探究中有一个共同的理解基础,并使理论可以在实验中得到检验。
许多人自然而然地具有一种理解随机性的直觉,这种直觉是基于测度理论的。换句话说,即使没有经过正式的数学教育,很多人似乎能够本能地把握概率和随机事件的概念。这种能力可能是人类进化过程中形成的,就像一种内置的、与生俱来的特性。
此外,这种对随机事件的直觉不仅限于人类,对于动物也是非常重要的。动物需要在充满不确定性和不可控因素的环境中生存下去,例如天气变化、食物来源的不确定性等。能够直观地理解和预测这些不确定性,对于动物做出有效的生存决策至关重要。这样的能力有助于它们更好地适应环境,提高在自然选择中的存活率,进而影响它们的进化过程。
放弃这种直觉
当你深入探索这种直觉时,你会迅速发现情况变得异常神秘且让人感到不安。
就像量子力学一样,概率理论包含了多种解释和理论框架。尽管传统教育中通常强调频率主义这种严格的概率定义,但在物理学,特别是理论物理学的发展中,需要采用更广泛的视角,包括考虑那些尚未发生的事件,如“未抛掷的硬币”。这要求物理学家们不仅局限于客观主义的概率观念,而是更多地融入主观主义和贝叶斯方法。这些方法为处理不确定性和未知事件提供了更大的灵活性。最重要的是,无论采用哪种概率解释,都必须通过实验来验证这些理论,确保理论物理学的发展与实际物理现象相符合。
频率主义是一种概率论的解释和方法论,它定义概率为一个事件在长期重复试验中发生的相对频率。根据频率主义的观点,概率是一个客观的量,它反映了特定事件发生的长期趋势或规律性。
与量子力学不同,概率理论没有办法直接通过实验来测试。事实上,它在物理学中之所以有效,是因为物理结果对预测它们的概率理论非常不敏感!
热力学中的手法!
玻尔兹曼在热力学中对能量分布的推导实际上是基于一种主观的方法论,这种方法依赖于对称性的概念。特别是,他使用了被称为“最大熵”的原则,这是一种理论上的假设,旨在通过假设系统状态尽可能均匀和随机来排除任何特定偏好。简言之,玻尔兹曼的方法强调了在信息缺乏的情况下,系统倾向于达到可能性分布最均匀的状态,即熵最大的状态。

这里没有频率主义的严格性。对于热力学数量级的分子,这种严格性将是完全不可能的。
在这个热力学模型中,我们考虑一个包含N个相同气体分子的系统,这些分子可以占据一系列特定的离散能量状态,标记为E_j。这个系统被置于绝热瓶内,因此系统内部的总能量保持恒定,不会有热量或能量的流入或流出。我们这里所讨论的是能量状态的离散化,而不是量子化过程。这种离散化是作为对连续能量谱的一种近似。虽然开始时考虑的是离散的能量状态,但在进一步分析的过程中,这些状态可以被视为连续谱的一部分,以便更全面地理解系统的特性。
那么具有能量E_j的分子数量为n_j。如果所有分子的排列都同样可能,那么这种特定排列的概率可以通过多项式分布来找到:


这个近似叫做斯特林近似,它对于热力学大小的数是非常精确的。由于假设气体分子数和总能量恒定,我们有约束条件:

现在我们在两个约束条件下最大化概率 p(n_1,n_2,n_3,…)。由于数字非常大,我们可以将离散的整数视为连续的实数,并简单地将概率条件与两个拉格朗日乘数 和 结合起来进行微分,然后将整个方程组置为零,以找到最大似然或最大熵的玻尔兹曼分布:

我们将在下面回到为什么要最大化这个问题的原因。
拉格朗日乘数 的倒数 ⁻¹ 很容易被证明与分子的平均能量成正比,因此我们称 ⁻¹ 为分布的温度参数(取模一个用于匹配维度的常数,我们称之为玻尔兹曼常数 k)。因此,我们通常这样表示玻尔兹曼分布:

这或许是热力学中最重要的方程。它假设系统的总能量是恒定的,分子的数量是恒定的,并且处于“热力学平衡”,这显然意味着系统处于其最可能的状态。发现并假定一个“最有可能”的状态具有特定的物理意义是一件有趣的事情,但这究竟是为什么呢?
最大熵是一个非常温和的假设
如果你对被普遍认为简单明了的概率论论点感到困惑,这实际上是合理的。概率论的某些概念可能对初学者来说并不那么直观。然而,概率论在应用中通常非常可靠,因为其结果的健壮性不完全依赖于具体的假设或理论分析。特别是在涉及大量数据时,如大数定律所示,概率分布变得更加集中和明确,即使有些初始的理论假设不那么精确,最终的结果仍然是有效的。

首先,考虑一个简单的二项概率分布,比如,从一个红球占比43%的总体中抽样。如果你抽样十个,那么你最有可能得到四个或五个红球,但得到2个、3个、8个或9个的可能性也非常大,甚至全部或没有红球的概率大约是0.1%。这表明,在小样本量时,结果的变化性较大。
然而,如果取一百万个球,红球的数量将是430000,误差比例非常小,大约是1/√N的数量级,这里大约是0.001。
这种现象揭示了二项分布随着样本量的增大而变得更集中的趋势,几乎所有的样本都紧密围绕着理论预期的43%分布。这意味着,对于大量样本,尽管精确获得43%的红球的概率很小,但大多数样本的结果都会非常接近这一比例。这是大数定律的一个显著体现,表明在大样本量下,观测结果会更加接近理论预期,从而提高了统计结果的可靠性。
我见过的几乎所有推导都忽略了以下这个强有力的观点:
分布变得“越来越尖锐”,以至于几乎所有的排列都非常像最可能的那个。在大量粒子的热力学极限下,出现与最可能状态在宏观上明显不同的情况的概率极低,几乎可以忽略。
所以,在任何大量粒子的系统中,都存在与最可能的宏观状态几乎完全相同的状态,而几乎没有其他状态。重要的点不是最可能的宏观状态最有可能,而是几乎所有的宏观状态看起来都像这个“最可能”的宏观状态!一个热力学系统并不是神奇地选择最大熵状态,这个系统像一袋锤子一样笨!它甚至不会写“熵”,更不用说“找到”它的最大熵状态了!最大熵就是最可能的状态,所以它是最有可能发现系统处于的状态,但肯定还有其他状态吗?是的,但当你做数学计算时,你会发现不像最大熵状态的状态实际上有多少,真的令人难以置信!
因此,如果由于某种原因,一个系统发现自己处于一个与最可能状态显著不同的状态,那么它几乎肯定会通过其相位空间中的任何随机行走,达到一个与最可能状态在宏观特征上几乎相同的状态。
在热力学规模的数量分析中,导致结果稳健和一致的并非是复杂的概率理论,而是大数定律的效应。大数定律指出,在大量样本的情况下,即使基于不同的假设,得出的结果也会趋向于一致性。这意味着在处理大量数据时,推导的结果对具体的假设细节不太敏感,因为大样本量本身就足以保证结果的准确性和一致性。因此,这类热力学推导具有很高的健壮性,可以在多种不同假设下产生相同或相似的结果。
评论列表