
提起胎教,你首先想到什么?
这是从国外传过来的概念?是睡前给肚子里的宝宝放一段莫扎特?还是准爸爸对着孕肚讲个童话故事?
在很多准父母看来,胎教更像是一个温馨的、增加夫妻亲子互动与期待感的小仪式。
我们抱着做了总比没做好、反正没什么坏处的心态参与,但内心深处,或许并没真指望它能对孩子产生什么翻天覆地的影响!
它似乎一直处在科学与玄学的模糊地带,直到最近,一系列发表在顶级期刊上的严肃科学研究,为我们带来了颠覆性的答案。
万万没想到,这个我们以为聊胜于无的孕期小事,其重要性被严重低估了!
科学不仅证实了它的真实、强大且可预测的效用,更揭示了其作用机制远比你想象的更直接更深刻!
01顶刊最高证据证明胎教真有用我们先来看斯坦福大学医学院的这项研究,这是一项双盲随机对照研究,是目前证据等级级别最高的研究,可以证明因果关系。

胎教具体给孩子带来什么效果,我们一般是没办法做到即时量化的,但是超早产儿的相关研究弥补了这个空白。
斯坦福大学医学院的这项研究选择的是怀孕24周到32周之间出生的极早产宝宝,排除有重大先天疾病宝宝。
抽签决定哪个宝宝接受干预,哪个宝宝是安慰剂对照组。家长、医生和护士都不知道哪个宝宝分在哪一组,防止他们的行为或判断影响结果。
所有妈妈在分组前,都录下自己朗读同一本儿童书的录音,像给宝宝讲故事一样朗读。
治疗组宝宝每天通过固定在床边的播放器自动播放妈妈的录音,每天约160分钟。
对照组妈妈也录了音,设备也在床边,但完全不播放任何声音。
等他们快出院时,用精密的脑部磁共振MRI去测量他们他们大脑中左右两侧大脑白质发育和髓鞘化程度。
总共有33个宝宝完成了这项研究,在研究前确认治疗组和对照组的宝宝在安全指标上没有任何差异。
02研究结果如何研究人员重点看了大脑中那根负责语言的弓状束,结果发现治疗组宝宝左侧大脑的弓状束松散程度显著低于对照组。
也就是说,听了妈妈声音的宝宝,他们左侧语言线路发育得更紧密、更成熟。

这个差异不是一点点的,而是非常显著的。
研究发现,仅仅是通过录音增加妈妈声音的接触,这一项干预措施,就能解释婴儿该脑区发育差异的27%到33%。
但是,在右侧大脑同样位置,两组宝宝没有显著差别,效果很小。
我们再来看大脑左侧各项异性分数和弛豫率,这两个指标可以理解为语言电缆规整度和绝缘层厚度,数值越高,代表发育越好。
结果发现,治疗组宝宝左侧大脑语言电缆规整度和绝缘层厚度都显著高于对照组。
这个效果也很明显,有统计学意义。
同样,研究者测量右侧大脑这两个指标,两组宝宝没有明显差别。
研究者使用了不同统计方法,也考虑了其他因素,上面的结果依然成立。
研究者还发现,这些指标之间是互相关联的,比如语言电缆弓状束降低时,语言电缆规整度和语言电缆绝缘层厚度就会升高。
这说明,这几个指标虽然测量角度不同,但都指向一个事实,大脑白质在变得更成熟。

总之,以前的观察只是发现,肚子里的宝宝多听家长说话,会让胎儿大脑发育更好,但是没法证明听说话直接导致了发育好。
但这项最高等级的随机对照研究,通过公平分组和严格控制条件,首次提供了因果证据——
那就是多听妈妈声音这件事,直接促使了宝宝大脑语言区的结构变得更成熟。
这个促进效果非常大,大到它和足月宝宝与早产宝宝之间的大脑发育差距幅度类似。
这可能是因为研究补充的声音,刚好接近宝宝在妈妈肚子里最后几个月本该听到的日常量。
这也印证了胎教的重要性,妈妈的声音、言语,确确实实在塑造胎儿的大脑。
除了声音,妈妈的情绪对宝宝也有很大的影响,情绪也是一种胎教,这也是有科学证据的。
03孕期情绪起伏重塑宝宝大脑看这项研究之前,我们先来一个60年前的蒙眼小猫试验。
科学家把刚出生小猫的一只眼睛蒙上一段时间,结果发现,这只眼睛虽然没坏,但大脑里负责处理这只眼睛视觉的区域没有正常发育,导致这只眼睛功能性失明了。
这证明在生命早期的关键窗口期,感官体验对大脑相应区域的发育绝对是必需的。
现代科学发现,这个原理可能也适用于更高级的情绪和认知脑区。
研究发现,不仅仅是有没有刺激,刺激的模式也极其重要。
比如幼年动物如果从父母那里得到的信号是混乱不可预测的,它们大脑中负责情绪的线路就会长得不正常。
在人类研究中发现,孕期情绪不稳定的妈妈,孩子从婴儿期到童年期都表现出更多负面情绪,并且在青春期更容易自我报告焦虑和抑郁。
以上的这些人类研究结果是通过一次性问卷计算出来的,它虽然能反映不稳定性,但不是对日常情绪波动的直接测量。
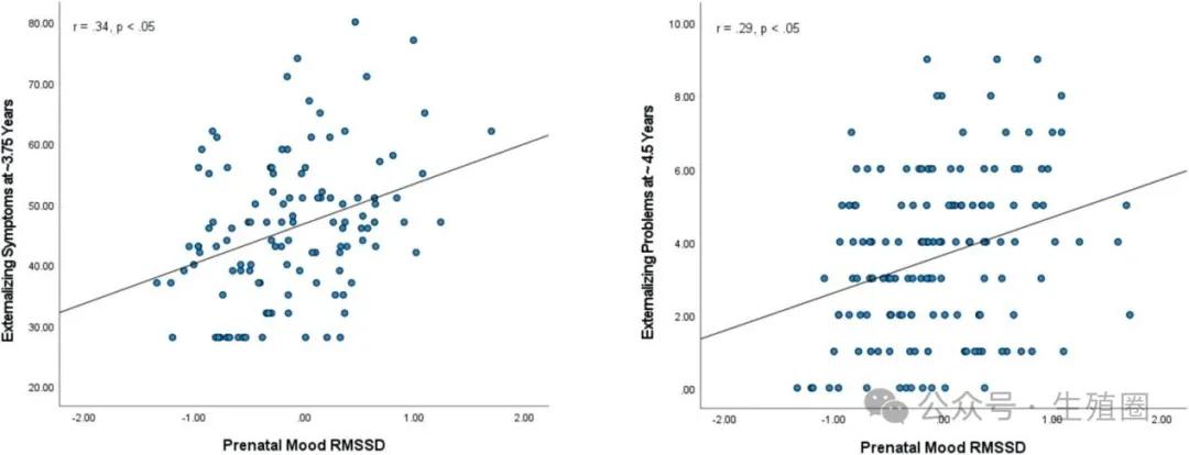
所以本次研究使用一种更先进、更可靠的方法,让孕妇在日常生活中,一天多次、实时在手机APP上报告自己的情绪状态。
这样得到的数据更准确、更真实,避免了事后回忆偏差,能真正捕捉到情绪的动态变化。
本研究希望用最先进的实时评估方法,探究怀孕妈妈在孕期情绪不稳定性,是否真的会导致孩子在未来出现更多外化行为问题。
04这项研究的主要成果数据分析显示,妈妈在怀孕期间的情绪越不稳定,她的小孩在幼儿时期出现外化行为问题,比如发脾气、不听话、攻击等行为的程度就越高。
相关系数为0.34和0.29,表示这是一种中等程度的关联,在心理学和行为科学中,这被认为是一个值得重视、具有实际意义的发现,而不是微弱联系。

研究者想到了一个合理的质疑,会不会不是情绪不稳定在搞鬼,而是妈妈长期情绪低落、压力大或焦虑本身影响了孩子。
研究者在统计时把这种情况做了排除,结果发现孕期情绪不稳定性仍然能独立预测孩子的行为问题。
另一个合理质疑是,家庭经济困难是不是才是根本原因?因为经济压力可能导致妈妈情绪不稳定,也会影响孩子成长环境。
研究者在统计时,把这个因素也做了排除,结果发现,孕期情绪不稳定和孩子行为问题之间的关联依然存在,没有减弱。
这说明,经济压力无法解释这个发现。
最关键的一个质疑是,是不是孩子出生后,妈妈继续情绪不稳定,影响了孩子的养育环境,才是导致孩子行文问题的根源,而不是怀孕时的影响?
研究者把这个因素放在同一个统计模型进行排除,结果发现孕期情绪不稳定仍然能显著预测孩子的行为问题。
以上这些证据强有力地证明,胎儿在子宫里经历妈妈情绪波动,对孩子大脑和行为发育有独立且持久的影响。
这种影响不是单纯通过出生后的养育环境传递的。
妈妈怀孕时情绪不稳定,就像给胎儿大脑发出了混乱的信号,可能直接影响了孩子未来控制情绪和行为的能力,这种影响会持续到童年早期。
看到这里,我相信各位姐妹都已经深深了解胎教的重要性了。可你知道吗?胎教很重要,但它却并不起源于西方,而是在我国已经流传三千年了。
05三千年前的胎教胎教一词源于我国古代,最早出现在西周时期。《大戴礼记·保傅》:“古者胎教,王后腹之七月,而就宴室。”
又说“周后妃任(孕)成王于身,立而不跂(不踮脚尖),坐而不差(身子歪斜),独处而不倨(傲慢),虽怒而不詈(骂),胎教之谓也。”
也就是说:周后妃怀孕的时候行走不能踮脚尖,坐下的时候最好不要歪歪斜斜的,自己独处时也不傲慢发火,不轻易动怒动气,这就是女子怀胎要做到的一些基础原则。
另说,周文王之母太任在妊娠期间,“目不视恶色,耳不听淫声,口不出傲言,能以胎教。”
意思是说,太任怀孕时,眼不看邪恶的东西,耳不听淫乱的声音,口不说狂傲的话,这就是行的胎教。
古人认为,胎儿在母体中能够容易被孕妇情绪、言行同化,所以孕妇必需谨守礼仪,给胎儿以良好的影响,后世把这总结为外象内感,也就是胎教。
据刘向《列女传》记载,历史上著名的周文王“生而明圣,太任教之以一而识百,君子谓太任为能胎教。”
文王生下来非常聪明,学习能力强悍进步飞快,被归纳于良好的胎教的结果。
原来,我们当下流行的胎教之法在数千年前就被载入史册了。
太任因此被称为中华胎教第一人,用今天的话来说,就是从孕期就教科书级别的精英培养。
06这两项研究带给我们的启示颜之推要求孕妇“目不邪视,耳不妄听”,现代科学用文献数据证实了这个道理,母亲的声音和环境直接影响胎儿大脑神经发育。
除了妈妈的声音,在《黄帝内经》中关于胎教主张孕期“形神共养、养神为要、心神宁则气血顺,胎儿方得安稳滋养。”
古代胎教特别强调孕期情绪的平和,而现代医学给这种胎教提供了科学证据。
这两项研究用文献证据告诉我们,胎教对孩子大脑发育来说是非常关键的,告诉我们在胎教过程中要注意以下几个方面。
首先,胎教的核心是感而非教
胎儿不需要刻意学习知识,他们在全息感知妈妈的状态。你情绪平稳,是胎儿情绪脑区的定海神针;
你丰富的话语,是胎儿语言脑区的施工蓝图。
其次,质比量更重要,但规律也很关键
不必苛求自己永远开心,孕期那么漫长,情绪有波动是正常的,但妈妈应该意识到剧烈、无常的情绪波动可能带来风险,这点更值得引起爸爸以及整个家庭的关注。
另外,你不必24小时不停和胎儿交流,但每天规律、丰富的交流,效果远胜于偶尔的突击。
最后,这是最简单最深刻的养育投资
胎教无关经济条件,只需你的一份察觉。当你感到烦躁时,一次深呼吸、一次散步,既是在照顾自己,也是在呵护宝宝的大脑。
当你自然而然地对腹中的宝宝描述窗外的风景、今天的晚餐,你已经在参与进行最顶尖的胎儿大脑神经建构。
科学最终告诉我们,最好的胎教,不是刻意为之的教育,而是你稳定而丰盈的存在。
你的声音,是他的世界最初的旋律;你的平静,是他心灵最初的地基。

总之,科学让我们看懂了古人的智慧,也重新认识了胎教的力量。
胎教,从来不是一项充满压力的任务,而是家庭最原始、最深刻的链接。
当我们查到怀孕,我们每一个平静而喜悦的当下,我们口中每一段温柔的话语,都在为我们所爱的那个生命,构筑他一生身心健康最初、也是最坚实的地基。
请相信,这份延续了三千年的本能之爱,有着你想象不到的力量,加油!
全文完!现在流量为王的年代,围观也是一份力量,转发就是一份担当,希望动动您发财的小手,给我点个赞,如果您能转发到微信群或朋友圈,就会让更多孕育困难的小家庭受益,谢谢您!
郑重声明
本账号发表的内容仅作为科普分享,不对所引用文献的准确性和完整性作出任何承诺和保证,亦不承担因该内容已过时、所引用资料可能的不准确或不完整等情况引起的任何责任,请相关各方在采用或者以此作为决策依据时另行核查。本账号不做任何形式的营销推广,在采取任何预防或治疗措施前,请与你的医疗保健提供者沟通。
不传小道消息和谣言
不做只为转发量而存在的公众号
永远在意真实数据和文献论证
抱娃路上,我愿意陪你一起走过最无助的岁月
——THE END——
参考文献
Listening to mom in the neonatal intensive care unit: a randomized trial of increased maternal speech exposure on white matter connectivity in infants born preterm. Front Hum Neurosci. 2025 Oct 14;19:1673471. doi: 10.3389/fnhum.2025.1673471.
Prenatal maternal mood instability and child externalizing problems: An ecological momentary assessment study. J Affect Disord. 2025 Dec 15;391:119947. doi: 10.1016/j.jad.2025.119947. Epub 2025 Jul 18.