溶剂化效应solute这一过程的核心是溶剂壳层()。这种相互作用不仅影响溶质的溶解度、稳定性和反应活性,也会对溶剂的宏观性质(如密度、粘度)产生影响。

1. h.i.DOI:10.1038/溶剂化效应的根源在于溶质与溶剂分子之间复杂的力。这些作用力根据其性质可分为以下几类:
这是离子型溶质与溶剂分子间最主要的作用力NaCl图示意溶液中Na⁺/Cl⁻的第一溶剂壳及壳内氢键链部分恢复水的四面体结构。10.1038/s41467-022-28538-8
–适用于极性溶质和极性溶剂。图不同极性溶剂下的稳态时间分辨荧光红移。氢键:–。当溶剂(如水、醇)或溶质含有与电负性很强的原子(如O,,)相连的氢原子时,可以作为氢键供体或受体,形成强大的。
图4氢键调控溶剂化结构示意图。DOI: 10.1002/adfm.202519001
包括,普遍存在于所有分子之间。对于非极性溶质在非极性溶剂中的溶解,色散力是主要的驱动力。

.DOI: 10.1038/s42004-019-0242-0
化学键,最终反映在分子能级的变化上,这可以通过光谱学手段(如紫外可见吸收光谱的溶剂化致变色效应)直接观察到。
非特异性效应特定效应图6非特异性溶剂化(介电连续体)模型示意。光谱学是研究溶剂化效应最常用、最强大的工具之一,它利用分子与电磁波的相互作用来获取关于其电子结构、振动模式和所处微环境的信息。
稳态光谱测量的是体系在平衡态下的平均性质,能够有效地反映溶剂对溶质分子基态和激发态能量的影响。
–这两种技术是研究溶剂致变色效应的经典方法。,从而导致其吸收光谱或发射光谱的峰位发生移动。
Kamlet-Tauf-Abboud或Catalán等多参数方程图7通过紫外–可见图谱(UV-vis)测量计算β的方法示意图。DOI: 10.1021/acsenergylett.5c02291
(NMR)NMR溶剂化会导致溶质原子核周围的电子云密度发生变化,从而引起化学位移的改变此外,通过测量核的T2可以获得溶剂分子在溶剂化壳层内运动和交换的动力学信息。
能够探测原子间在空间上的接近性(通常小于5 Å),从而用于解析溶质与邻近溶剂分子之间的相对位置图8电解质中锂离子溶剂化结构的1谱和1表征。红外光谱:羰基()或羟基(O-H)伸缩振动峰位的变化图9原位方法深入研究了锌沉积(Zn去溶剂化)和锌剥离(2+DOI: 10.1021/jacs.4c02558
为了捕捉溶剂分子围绕溶质动态弛豫的超快过程,必须借助时间分辨光谱技术。
–这是研究溶剂化动力学的核心技术。实验中,一束超快激光脉冲(泵浦光)将溶质分子激发到电子激发态,。随后,另一束延迟可调的探测光脉冲则监测体系光谱信号(如吸收或荧光)随时间的演化。
重新取向和弛豫过程,会体现在光谱峰位的动态红移(斯托克斯位移)中图0–DOI: 10.1590/S0103-50532010001200005
(3PEPS)这是一种更为先进的非线性光谱技术,能够更精细地测量溶剂化相关函数,提供关于溶剂化过程非均匀展宽和动力学细节的丰富信息,揭示溶剂响应的复杂性。
结构表征方法
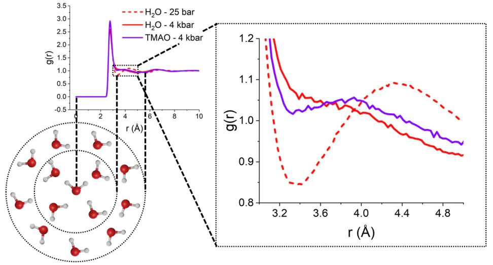
X:X径向分布函数(RDF)RDF的峰位和峰面积直接反映了溶剂化壳层的平均半径和配位数。

1中子散射建模得到的径向分布函数(RDF)解析溶剂化结构。DOI: 10.1038/s42004-022-00726-z
X这两种技术适用于研究溶液中较大尺寸的客体,如蛋白质、胶束、纳米颗粒等的溶剂化情况。它们能够提供关于。
SANS2)进行对比度匹配,选择性地“隐藏“或“凸显”体系的特定部分,从而精确解析出溶剂化壳层的结构信息。

1.SLD–DODOI: 10.1016/j.sbi.2022.102375