
新程已启,知往鉴今。当时间迈向2025年的末尾,中国医学论坛报特别策划“创新·突破·引领丨2025肿瘤领域进展名家盘点”活动,诚邀肿瘤各领域专家回顾解读2025年度肿瘤领域重磅研究,传播前沿进展,引领学术创新。
本期,我们非常荣幸邀请到北京大学人民医院谢璐教授团队,为我们深入评述2025年度骨肿瘤领域的研究进展与临床意义。
2025骨肿瘤年度进展盘点
作者:北京大学人民医院骨肿瘤二科 杨晨晨 谢璐
前言
2025年骨肿瘤领域迎来了不少令人欣喜的突破。一方面,骨肉瘤与尤文肉瘤以MAP/VDC-IE为核心的化疗体系仍是基石,但靶向抗血管酪氨酸激酶抑制剂(TKI)的前移联合、DDR/合成致死和转录依赖通路的新药探索,正在为高危与复发转移人群打开新的生存窗口;另一方面,以B7-H3等“Surfaceoma”靶点为代表的抗体药物偶联物(ADC)与细胞治疗快速迭代,逐渐从概念验证走向注册研究。软骨肉瘤则在精准分层驱动下取得近年最实质性进展,IDH抑制剂与DR5激动剂首次为传统型晚期患者提供系统治疗获益。
总体而言,2025年的关键词是用药前移及联合、分子及免疫分型富集与表面靶点治疗的临床转化,骨肿瘤治疗正从“单一化疗时代”加速迈向“精准组合治疗时代”。
骨肉瘤进展
01HS-20093(B7-H3 ADC):Ⅱ期临床试验最新研究结果
HS-20093是一种靶向B7-H3的新型抗体偶联药物(ADC),相关的Ⅰ期临床试验(NCT05276609)已初步显示其抗肿瘤活性。2025年,由北京大学人民医院谢璐教授牵头的HS-20093的ARTEMIS-002Ⅱ期临床试验(NCT05830123)迎来最新研究进展。截至2025-07-01共入组 68例肉瘤患者,其中骨肉瘤48例,多为广泛转移、既往治疗 ≥2–3线的患者,最终共45例患者纳入疗效分析。12.0 mg/kg剂量组显示出更强疗效:客观缓解率(ORR)可达20.0%,疾病控制率(DCR)达86.7%,中位缓解持续实践(mDoR)为19.8个月,中位无进展生存(mPFS)期为8.4个月,15 个月总生存(OS)率85.7%。目前,中国将启动针对复发/难治性(R/R)骨肉瘤的期确证性研究,评估12 mg/kg Q3W的疗效与安全性。与此同时,HS-20093在国际上也正在以GSK5764227的名义进行早期临床开发,开启其全球化布局与跨区域可重复性验证,标志着该药物有望成为骨肉瘤领域未来“改变格局”的新疗法之一。

图 HS-20093在复发或难治性骨肉瘤患者中的II期研究结果(图源丨2025 ESMO年会)
02ALMB-0168:多中心、开放标签、单药、I/II期结果
ALMB-0168是一种新型单克隆抗体,通过“激活Cx43半通道”,诱导肿瘤细胞ATP/DAMPs外排和离子稳态紊乱,既直接造成肿瘤细胞应激/死亡,又把骨肉瘤微环境推向更易被先天-适应性免疫识别和清除的状态,从而形成抗肿瘤效应。该药物的多中心、开放标签、单药、Ⅰ/Ⅱ期(Phase 1/2)研究(NCT04886765)结果表明:6 mg/kgⅡ期推荐剂量,该剂量组的ORR为20%,DCR为90%,4个月PFS率为70%。在标准治疗失败的骨肉瘤中,ALMB-0168单药显示可接受安全性并观察到初步疗效,支持在选定剂量下继续扩展及验证。

图 ALMB-0168的Ⅰ/Ⅱ期临床试验疗效展示(图源丨2025ASCO年会)
03C019199:多中心、开放标签、单药Ⅰb期剂量探索及扩展试验
C019199是一种口服肿瘤微环境(TME)调节剂,具有独特的多靶点谱:CSF-1R、DDR1/DDR2以及VEGFR2,因此同时覆盖“巨噬细胞/髓系轴+基质/胶原-DDR轴+抗血管轴”,旨在通过抑制CSF-1R驱动的免疫抑制性TAM、干预DDR介导的肿瘤-基质侵袭通路并阻断VEGFR2 血管生成,从而实现对骨肉瘤“免疫冷+强基质+强血管依赖”三重微环境特征的综合打击。共纳入30例可评估患者,200 mg QD剂量组显示DCR为73.3%,3个月PFS率为66.7%,mPFS期为6个月。

图 C019199的Ⅰb期临床试验疗效展示(图源丨2025ASCO年会)
04Olaparib+Ceralasertib:Ⅱ期临床试验
Olaparib为PARP抑制剂,Ceralasertib为ATR抑制剂。该联合方案基于骨肉瘤存在较强基因组不稳定的生物学背景,意在通过PARP阻断单链修复+ATR抑制复制检查点诱导合成致死,从而增强DNA损伤累积、促进肿瘤细胞死亡。该研究为复发/不可切除骨肉瘤的Ⅱ期临床试验(Cohort 1)。结果显示,在未做生物标志物选择的总体人群中,疗效不佳:ORR仅为2.7%,4个月无事件生存(EFS)率为13.5%。整体而言,Olaparib+Ceralasertib在R/R骨肉瘤中安全性可管理但总体客观缓解率极低、无显著持久控制优势,提示该“DDR/合成致死”方向在骨肉瘤里更可能需要精准分层或与其他疗法更强联合后,才有望转化为可见的临床获益。

图 Olaparib联合Ceralasertib在进展期骨肉瘤中的Ⅱ期临床试验结果(图源丨2025ASCO年会)
05BIOVAS试验:生物标志物驱动的VEGFR2 抑制剂在骨与软组织肉瘤中的精准化探索
BIOVAS研究(NCT04072042)是一项生物标志物驱动的 VEGFR2抑制剂(阿帕替尼)单药Ⅱ期研究,核心思路是把过去“盲打式抗血管”变成“找对靶点脆弱人群的魔法子弹”。研究团队观察到:部分肉瘤患者在VEGFR抑制剂治疗中出现极其持久且深度的应答(如骨肉瘤肺转移“空洞化/气胸”伴长期 PR),提示存在特殊易感亚群;这一现象与VEGFR2 604A>G SNP(rs7667298)相关,进一步组学分析又发现CSF1扩增或高表达也富集于“超应答者”。基于此,BIOVAS 将患者按三类阳性标志物分队列入组:VEGFR2 604A>G(SNP阳性队列);CSF1扩增或高表达(CSF1-high队列);4q12(KIT/KDR/PDGFRA)扩增队列。
SNP阳性队列结果:16周无进展率(16w-PFR)为74%(SNP阳性)对42.3%(阴性对照);mPFS期为6.0个月(阳性对3.9个月(对照)。该队列中骨肉瘤占比最高(14/27),其中10/14在16周仍无进展,提示骨肉瘤确实是 SNP易感的重要代表亚型。CSF1-high队列结果:16w-PFR 70.3%(阳性)对42.9%(对照);mPFS期6.7个月对4.1个月。该研究把抗血管治疗从“概率性有效”推进到“可预测有效”。对R/R骨肉瘤而言,这相当于提供了两套可操作的精准筛选入口(基因SNP+组织/转录CSF1),为后续TKI个体化用药、与免疫/ADC联合前移、以及机制转化研究奠定了清晰框架。


图 VEGFR2 抑制剂在不同生物标志物分组中的疗效区别(图源丨2025ESMO年会)
06TQB2928联合安罗替尼:单臂、双剂量队列、Ⅰb期研究
TQB2928是一种新型抗CD47单克隆抗体。CD47作为先天免疫检查点与巨噬细胞表面的SIRPα结合,向巨噬细胞传递“别吃我”信号,使肿瘤细胞逃避免疫吞噬;TQB2928通过阻断CD47–SIRPα轴来解除这一抑制。同时,该抗体经过工程化设计降低了与红细胞的亲和力,旨在减少贫血等毒性,并在体内实验中与多靶点TKI安罗替尼呈协同抗肿瘤效应,为“巨噬轴免疫重塑+抗血管/抑制肿瘤生长”组合提供依据。该研究的ORR为25.0%,DCR为93.8%,中位DoR为5.7个月,mPFS期为5.6个月,6个月PFS率为48.9%。研究者进一步与既往安罗替尼单药历史队列比较后认为:尽管组合方案显示一定缩瘤与较高DCR,但未能在主要研究终点(6个月 PFS率)上优于历史安罗替尼数据,且客观缓解缺乏足够持久性,因此试验提前终止。结论中也指出样本量小、缺乏对照与同步转化研究为主要局限,并推测缺乏抗体依赖的细胞介导的细胞毒作用(ADCC)可能是未能产生耐久反应的重要原因。


图 TQB2928联合安罗替尼在进展期骨肉瘤中的Ⅰb 期研究结果(图源丨2025 CTOS年会)
07B7-H3(CD276)在骨与软组织肉瘤中的表达谱:为 ADC/CAR-T等“Surfaceoma”治疗提供人群与生物学依据
B7-H3(CD276)是一种膜性免疫检查点糖蛋白(同属 PD-L1家族),在肿瘤组织中相对正常组织高表达,因此成为肉瘤领域ADC、双抗与CAR-T的关键“Surfaceoma”靶点之一。该研究采用大规模质谱蛋白组学系统刻画了肉瘤中B7-H3的丰度分布、亚型差异、原发/转移状态差异及预后相关性。
B7-H3在肉瘤中广泛阳性,不同亚型丰度存在梯度:UPS、MFS/、LPS最高,Ewing与滑膜肉瘤相对较低;骨肉瘤位于中上水平,其中至少三分之一骨肉瘤为“高丰度人群”,骨肉瘤原发灶丰度约为转移灶的1.34倍,这支持B7-H3 ADC/CAR-T在骨肉瘤尤其是早期或原发阶段的应用与前移。但在LMS、骨肉瘤及12个STS亚型的总队列中,B7-H3 高低与转移无病生存(MFS)或OS均无显著差异,提示临床上应把它定位为“治疗靶点”,而不是单纯做风险分层指标。


图 B7H3表达与不同肉瘤中的预后(图源2025 CTOS年会)
尤文肉瘤进展
01瑞戈菲尼(regorafenib)+VDC/IE:Ⅰb期临床试验
Rego-Inter-Ewing-1研究为一项国际性、多中心、Ⅰb期临床试验,旨在将口服多靶点TKI瑞戈菲尼加入到标准剂量VDC/IE方案中,应用于新诊断的多发转移尤文肉瘤人群。该研究最终将82 mg/m²/day(上限160 mg/day),d5–d25作为推荐Ⅱ期剂量,并计划在2025年第三季度启动Inter-Ewing-1试验,用于检验“在新诊断转移尤文肉瘤(包括仅肺/胸膜转移)标准治疗中加入瑞戈菲尼”的疗效与临床获益。

图 瑞戈菲尼联合VDC/IE在尤文肉瘤中的Ⅰb期临床试验结果(图片来自2025 ASCO年会)
02rEECur研究(CE+HD-IFO方案):Ⅱ期临床试验最新研究结果
由欧洲尤文肉瘤协作组主导的rEECur是一个国际多中心、随机对照、多臂Ⅱ期临床试验,旨在评估对比卡铂+依托泊苷(CE)与高剂量异环磷酰胺(HD-IFO)的在复发或原发难治性尤文肉瘤中的疗效。CE组用药方案为:Carboplatin 400 mg/m² d1 + Etoposide 120 mg/m² d1-3 (q3w)。HD-IFO组用药方案为:Ifosfamide 15 g/m²连续5天(q3w)。试验结果表明,在中位EFS期上,HD-IFO组为5.1个月;CE组为3.5 个月,验后概率上,IFOS优于CE的概率为87%;6个月EFS率上,IFOS约为44%,CE约为36%,提示HD-IFO仍是控制疾病的更优方案。
在rEECur的Ⅱ期对比中,HD-IFO仍为R/R-Ewing肉瘤的最有效化疗选择;Carboplatin + Etoposide虽安全可行,但疗效不足以取代高剂量Ifosfamide。该结果强化了HD-IFO作为后续国际标准对照的定位。

图 卡铂+依托泊苷与大剂量异环磷酰胺在尤文肉瘤中的疗效对比(图源2025 ASCO年会)
03ONITT:脂质体伊立替康+PARP抑制剂(Talazoparib)/替莫唑胺(TMZ)的Ⅰ期试验
该试验分为Arm A:Onivyde + Talazoparib和Arm B:Onivyde + Temozolomide。Arm A的DLT主要为中性粒细胞减少、血小板减少和腹泻;在剂量DL2(Onivyde 55 mg/m²+Talazoparib 0.035 mg/kg)出现多例DLT,确定MTD为Onivyde 50 mg/m²+Talazoparib 0.025 mg/kg。Arm B(Onivyde+TMZ):耐受性较好,MTD接近Onivyde 60 mg/m² + TMZ 100 mg/m²(d1–5);主要毒性为中性粒细胞减少(G3–4约50%),可通过延迟与G-CSF支持控制。
在可评估患者中:Arm A的PR为10%~15%,DCR为50%;Arm B:PR为20%~25%,DCR约60%。Onivyde+TMZ 的疗效略优,毒性更可控,被建议优先进入Ⅱ期扩展。

图 脂质体伊立替康+PARP抑制剂(Talazoparib)/替莫唑胺(TMZ)的Ⅰ期试验在尤文肉瘤中的疗效对比(图源丨2025 ASCO年会)
04全肺放疗在成人小圆细胞肉瘤肺转移中的研究进展
全肺照射(WLI)在儿童Ewing肺转移的综合治疗中更常用,通常在化疗后肺转移达到影像学缓解/切除后作为巩固,在成人中的证据相对缺乏。该研究回顾分析了19例成人小圆细胞肉瘤肺转移全肺照射后的数据发现,⓵肺局部疗效:肺部局部ORR为78.9%,提示WLI对肺内病灶确实“能压下去”;⓶ 肺局部无进展:中位p-PFS期为6.7个月;⓷全身无进展: 中位s-PFS期为7.1个月;⓸OS期:中位OS期为73个月。且CIC-DUX4从WLI获益显著更差,提示这类亚型更需要系统治疗突破,单靠局部治疗很难改善预后。但该研究缺少未接受WLI的对照组,因此不能直接证明WLI提高OS,只能说明在被选中的成人患者里,WLI可实现较高肺部ORR且毒性可管理。

图 全肺放疗对小圆细胞肉瘤的不同PFS数据的影响(图源丨2025 CTOS年会)
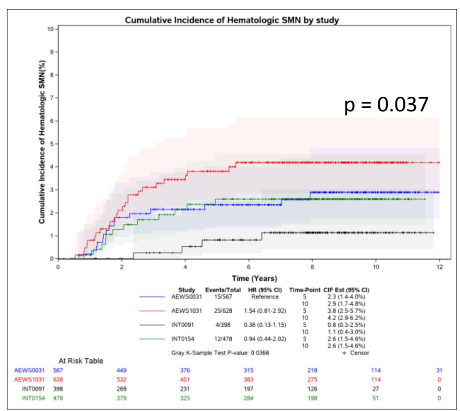
05尤文肉瘤患者接受一线方案治疗后发生第二恶性肿瘤(SMN)的相关探索
在COG/Intergroup多项III期尤文肉瘤试验的随访汇总中(n=2071,中位随访8.6年),共观察到74例第二恶性肿瘤,其中血液系统SMN占多数(56/74)。不同试验间5年血液系统SMN累计发生存在差异,AEWS1031最高(3.8%,95%CI 2.5%~5.7%,p=0.037)。多因素模型提示女性是总SMN与血液系统SMN的独立危险因素(HR分别为2.39与2.67),而实体瘤SMN风险与放疗暴露相关(HR为3.04)。

图 不同临床试验中尤文肉瘤患者接受一线方案治疗后发生第二恶性肿瘤的情况(图源丨2025 CTOS年会)
06脂质体伊立替康在尤文肉瘤中的探索
尤文肉瘤二线常用VIT方案,该方案虽然长疗程低剂量更有效,但住院时间长、影响生活质量,因此,每周给药的长效脂质体伊立替康(NALIRI)的探索正在展开,希望在“减少住院”的同时保持疗效,并探索儿童与成人的合适剂量。该研究的给药方案(21天一周期)为:VCR:1.5 mg/m²(最大2 mg)D1静滴;TMZ:100 mg/m² D1–5口服;NALIRI:D1/D8/D15,每次90分钟静滴(每周一次,剂量梯度:NALIRI 25 / 30 / 35 / 40 mg/m²)。最终的RP2D定为35 mg/m²,中位PFS 3.6个月(总人群),儿童4.7个月、成人3.0个月。

图 每周给药的长效脂质体伊立替康在尤文肉瘤中的探索(图源丨An Open-Label, Two-Cohort, Phase 1a/b Study of Weekly Irinotecan Hydrochloride Liposome Injection combined with Vincristine and Temozolomide (NALIRI-VT) in patients with advanced Ewing sarcoma)
软骨肉瘤进展
01DR5激动剂在晚期传统型软骨肉瘤中的探索
晚期、不可切除传统型软骨肉瘤系统治疗选择少、PFS期很短。研究表明,软骨肉瘤细胞系DR5高表达且对内源性凋亡耐受,一项DR5(TNFR家族,TRAIL结合后诱导凋亡)激动剂ozekibart(INBRX-109)的二期研究正在展开。该项随机对照试验表明:mPFS期:5.52个月对2.66个月(ozekibart对安慰剂);HR 0.479,p

图 DR5激动剂在晚期传统型软骨肉瘤中的疗效(图源丨2025 CTOS年会)
02软骨肉瘤观察终点的新选择
由于各项药物治疗在软骨肉瘤中的ORR仅0%~3%,一项来在MD Anderson的研究回顾性探索了软骨肉瘤最适合的研究观察终点。研究者发现SD相比PD的患者具有显著更长OS期(HR 0.23,p

图 任何缩小的SD作为软骨肉瘤临床试验观察终点(图源丨2025 CTOS年会)
03PD-1抑制剂+安罗替尼对比安罗替尼在软骨肉瘤中的探索
该项随机对照试验中的Arm A为:安罗替尼12 mg,d1–14,q3w;Arm B为:安罗替尼+PD-1抑制剂200 mg q3w。疗效分析表明:6个月PFS率:31.4%(A)对60.0%(B);mPFS:5.6个月对7.2个月;ORR:5.7%对 22.9%;DCR:68.6%对74.3%,其中获益最大的亚型是去分化软骨肉瘤。该研究还发现所有客观缓解(CR/PR)的患者都携带IDH1/2突变,提示IDH状态可能与免疫联合治疗获益相关。

图 PD-1抑制剂 + 安罗替尼对安罗替尼在软骨肉瘤中的疗效对比(图源丨Li B, Xie L,et.al. Anti-PD-1 antibody plus anlotinib vs. anlotinib alone in patients with refractory chondrosarcoma: A multicenter, non-randomized phase 2 FLAIL-C trial.)
总结
总体来看,2025年骨肿瘤治疗正在完成从“单一化疗维持”到“精准分层下的组合与前移”的关键过渡:一方面,骨肉瘤与尤文的标准化疗骨架仍不可替代,但B7-H3等表面靶点 ADC、巨噬轴免疫重塑、抗血管TKI的生物标志物富集、以及DDR/合成致死等新机制正在不断把复发转移与高危人群的“可治疗窗口”向前推进;另一方面,软骨肉瘤在DR5激动剂与更合理替代终点(如SD-ATR)框架下,首次出现可复制的系统治疗获益与更清晰的药物研发路径。
面向未来,真正“改变格局”的关键不只在于新药数量,更在于:用分子/免疫分型实现更精准的入组与联合策略、用高质量随机或平台试验完成确证、并同步把长期毒性与生存者随访(如SMN 风险)纳入治疗决策体系。随着多中心协作与转化研究进一步加速,骨肿瘤有望在接下来几年迎来一批能够进入标准治疗序列的精准组合方案。
专家简介

谢璐北京大学人民医院
博士,北京大学人民医院骨肿瘤二科副主任
副主任医师,副教授,硕士生导师
MIB Agents Osteosarcoma Alliance委员
中国医药教育协会骨软肿瘤专业委员会副主任委员
中国抗癌协会骨肿瘤和骨转移癌专业委员会委员
中国抗癌协会骨肿瘤和骨转移癌专业委员会药物与精准治疗学组副组长
中国抗癌协会肿瘤转移专业委员会委员
中国抗癌协会肉瘤专业委员会靶向免疫治疗学组副组长
中国抗癌协会肉瘤专业委员会放化疗学组委员
中国抗癌协会肉瘤专业委员会基础研究学组委员
中国医疗保健国际交流促进会盆腔肿瘤学分会委员
中国临床肿瘤学会肉瘤专家委员会委员
中国老年学和老年医学会老年骨科分会骨肿瘤学组委员
中国抗癌协会中西整合骨及软组织肿瘤专业委员会委员
北京医师协会腹膜后肿瘤分会委员
北京医师协会肿瘤生殖学专委会委员
中国罕见病联盟罕见肿瘤专业委员会委员
中国罕见病联盟/北京罕见病诊疗与保障学会骨与软组织肿瘤专业委员会委员
于2016年于美国Mayo Clinic的Pediatric oncology、Medical oncology做访问学者,进修骨与软组织肿瘤的内科治疗
以第一作者/通讯作者身份发表论文33篇,其中SCI论文共29篇
主持国家自然科学基金1项,北自然基金1项,北京科委基金2项等

杨晨晨北京大学人民医院
整理丨中国医学论坛报 胡岳