DC娱乐网

民国课本中的江西|复兴地理教科书·高小第二册(商务印书馆,1933)

作者:冯晓晖 编校:殷英本系列旨在梳理与解读民国时期中小学课本中有关江西的文字记载。通过对地理、历史、文化等内容的考察与

作者:冯晓晖 编校:殷英

本系列旨在梳理与解读民国时期中小学课本中有关江西的文字记载。通过对地理、历史、文化等内容的考察与分析,呈现当时教育视野下的江西形象。

【教材信息】

书名:复兴地理教科书·高小第二册

著作与发行:商务印书馆(上海)

印刷:商务印书馆(上海)

出版日期:民国二十二年(1933)七月

【教材说明】

本书与前一篇(见《民国课本中的江西|高小地理教科书·第二册(北京,1941)》)所介绍的地理教科书相同,供高小一年级使用,相当于现在小学五年级下学期的课本。

本书由商务印书馆出版发行。商务印书馆是中国出版业中历史最悠久的出版机构,对中国现代出版、文化与教育事业产生了深远影响,也是民国时期中小学教材中被选用最多的出版社之一。

本教材编著者冯达夫,为民国时期经济地理学专家,曾主编多部中小学及大学教科书。校订者王云五,为近代著名教育家、出版家和政治家,当时任商务印书馆总经理。

本教材内容起于青海、西藏,终于新疆,共二十课,主要介绍长江流域、陇海铁路及西部诸省。本文节录其中有关江西省的部分内容(第八至第十课)。编者根据当代汉语标准,对原文中的用词、标点有所修订。

【正文】

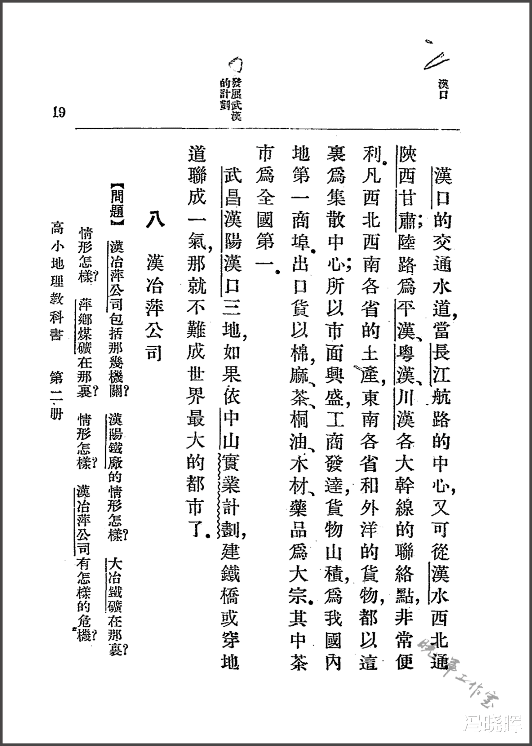
八 汉冶萍公司

【问题】汉冶萍公司*包括哪几机关?汉阳铁厂的情形怎样?大冶铁矿在哪里?情形怎样?萍乡煤矿在哪里?情形怎样?汉冶萍公司有怎样的危机?

汉冶萍公司,是汉冶萍煤铁有限公司的简称。里面包括汉阳铁厂、大冶铁矿、萍乡煤矿三个机关,是我国最伟大的实业。

汉阳铁厂*在汉阳的龟山脚下,是我国最大的炼铁厂,有化铁炉、炼钢炉多座。炼成的钢铁,品质极好,可制机器和轨道,制成的翻砂铁,销售全国各地。但因借款的关系,输出于日本的也很多。

大冶的铁矿*在湖北大冶县,每天出矿石二千吨。矿石含铁质的成分,平均在百分之六十以上,可以和世界最好的铁矿相比。采出的矿石除供给汉阳铁厂外,全部输出日本*。

萍乡煤矿*在江西省的萍乡县,矿苗很旺。煤质极好,色黑如漆,富黏结性,并且磷质极少,宜于炼焦。汉阳铁厂炼钢铁的燃料,都从这矿供给。

汉冶萍公司是我国唯一的供铁公司,有工人二万,每年可产生铁四十万吨,钢二万七千吨,煤八十万吨。可惜负债日多,近来几乎停业了*。

【注释与解读】

本课中因包括江西萍乡煤矿,故录入。

* 汉冶萍公司:成立于1908年,统辖汉阳铁厂、大冶铁矿、萍乡煤矿等厂矿,兼炼铁、采矿、开煤三大端,它是中国第一代新式钢铁联合企业,也是当时亚洲最大和最早的钢铁联合企业,被誉为“中国钢铁工业的摇篮”。

* 汉阳铁厂:是中国近代最早的官办钢铁企业,诞生于1890年,由晚清名臣张之洞创办,是当时中国第一家,也是最大的钢铁联合企业,中国宝武钢铁集团有限公司前身。

* 大冶铁矿:1890年由张之洞兴办,引进西方先进设备、技术和人才,为中国第一家用机器开采的大型露天铁矿,汉阳铁厂的原料基地。

* 矿石输出日本:由于缺乏建设资金,大冶铁矿及后来的汉冶萍公司先后向日本多次借款,借款协议要求必须以规定价格长期向日本供应铁矿石,这也因此造成了该公司后来的衰败。

1937年的萍乡煤矿 图源:亚东印画辑

* 萍乡煤矿:或称安源煤矿,位于今萍乡市安源区境。1898年,清末大臣、官商盛宣怀为解决汉阳铁厂燃料问题,引进西方技术,创建萍乡等处煤矿总局,煤矿于1906年投产,成为我国第一座准机械化煤矿。又为煤炭运输,修建株萍铁路。 1922年,中国共产党在萍乡煤矿和株萍铁路工人中发起罢工运动,是为安源路矿工人大罢工。1928年,煤矿工人组成的红二团成为了秋收起义的主力军。

【正文】

九 九江和南昌

【问题】九江的交通怎样?九江的商业怎样?庐山在哪里?江西的省城在哪里?有什么名胜古迹?

从武汉乘轮顺流东下,直达九江。九江当鄱阳湖西岸,扼长江要冲,外通凡沪、汉,内达全省,是江西唯一大商埠。商业以茶为最盛,和福州、汉口,被称为我国三大茶市。此外瓷器、夏布、纸张、木材,都是本埠大宗的输出品。九江本有英国租界,自国民革命军到后,已经收回了*。

九江的东南有庐山,高四千多尺,周二百多里。山中常有云雾围绕,有『难见庐山真面目』的传说。中间古迹名胜很多,各有奇趣,著名于世。庐山的西北部有牯牛岭,别墅相连,是著名的避暑地。

从九江经南浔铁路,直达南昌。南昌是江西的省城,城在鄱阳湖西南,赣江沿岸水陆四通,商业繁盛,全省木材,多集于此,米市亦非常兴盛*。城西有滕王阁,著名于古今,东湖湖畔的百花洲,多古迹,风景也佳。

【注释与解读】

* 九江收回租界:1861年3月,英国租借九江城外沿江地段,建立英租界,前后66年。1927年1月,在北伐军的支持下,九江人民占领租界。3月,英国政府将九江租界交还中方管理。

* 米市:江西为中国南方重要的稻米种植区。清末到民国初年,南昌为中国四大米市之一。1916年南浔铁路(今昌九铁路)建成后,江西稻米转由铁路运输到九江港出口,故九江替代了南昌米市的地位。

【正文】

十 景德镇的瓷器

【问题】景德镇在哪里?制造瓷器用什么原料?这些原料产自哪里?制造瓷器要多少手续?景德镇的瓷器有什么缺点?要怎样改良?

从南昌渡鄱阳湖,溯昌江,到景德镇。景德镇属浮梁县境,千余年前就因制瓷器著名;现在我国所用的瓷器,大半是这里出产。造瓷的瓷土,由鄱阳湖沿岸和安徽的祁门运来。制瓷手续很多,大别为淘泥、制坯、修坯、上釉、烧制、施彩数种,都用分工的制度。现在全镇的瓷窑共计五百余所,每年烧窑的时候,人口骤加,通夜火光烛天,是内地极盛的工业区域。

景瓷色泽光润,质地精良。不过式样和绘画,往往陈旧。近年江西瓷业公司*,用新式机器,改良制造,出品在各处赛会中,都得着很好的评论。

景瓷的产额,年达五百余万。销路除运到九江外,或溯赣江运入广东,或经安徽南部运入浙江*,运销到外国去的也很多。将来如能一面努力改良制造,一面设法推广销路,那么,景德镇的瓷器,更有发展了。

【注释与解读】

* 江西瓷业公司:到了清朝末年,景德镇的传统制瓷业已积重难返、衰败不堪。1910 年,在冀、鄂、苏、皖、赣五省协办下,成立股份制的江西瓷业公司,采用新法和机器制瓷。

* 景瓷的输出:主要有三条通道,其一为赣江到广州出口,需要挑担过大庾岭;其二为景德镇挑担到皖南,入钱塘江水路到宁波出口;其三为昌江入鄱阳湖转九江,全为水路。因此九江是景瓷最大的输出地,有瓷市之称,一度景瓷被称为九江瓷。

【后记】

这是本系列的第二篇。这本地理教科书比前一本(见《民国课本中的江西|高小地理教科书·第二册(北京,1941)》)早出版八年,内容相对简略些。

值得注意的是,本书在叙述中直言社会与经济问题,如汉冶萍公司的危机、景瓷业的衰落等;尤其在谈到汉冶萍公司的问题时,明确指出由于受到日资控制,中国企业因此走向衰落,体现出一种鲜明的爱国主义宣传氛围。这也是商务印书馆教材的一大特色。