随着气候转换与环境温度、湿度的显著变化,人体多项生理系统面临应激挑战。流行病学数据显示,呼吸道感染、心脑血管事件及骨关节炎症在此阶段的发病率呈现显著波动。这揭示了环境应激源与人体内在病理生理过程之间的密切关联。
传统干预策略多侧重于症状管理与外部防护,而再生医学的视角则指向更根本的生物学过程——机体对组织损伤与炎症的内在修复能力。近年来,基于干细胞的生物疗法,尤其是间充质干细胞(Mesenchymal Stem/Stromal Cells, MSCs)的研究,为这一内在修复能力提供了新的科学见解。针对季节易发性疾病,MSCs通过其免疫调节与组织修复功能,在相关领域展现了潜在临床应用价值。
秋冬之交
身体面临的三大考验
01 呼吸系统的挑战
冷燥空气侵袭呼吸道黏膜,削弱其防御功能,使得病毒与细菌更易入侵,不仅导致感冒、流感高发,也易诱发慢性呼吸系统疾病的急性加重。

02 心脑血管的负荷
温差导致血管反复收缩舒张,血压易于波动,增加了心脏和大脑的供血负担,是心梗、脑梗等意外事件的高危时期。
03 骨关节问题的加剧
对于有关节炎隐患的人群,环境变化常导致关节腔内炎症因子活跃,滑膜敏感性增加,从而表现为疼痛、僵直等症状的反复。

应对这些挑战,外在防护固然重要,但构建强大的内在修复能力更为关键。这正是干细胞研究的价值所在。
认识干细胞:
身体内在的“修复工具箱”
干细胞是一类具有自我复制和多向分化能力的特殊细胞,被誉为“万用细胞”。它们在人体内扮演着两个关键角色:
再生之源:能够分化成为特定功能细胞,如肺泡细胞、心肌细胞、软骨细胞等,直接补充和替换受损或死亡的细胞。调控中枢:通过分泌多种生物活性因子(如生长因子、细胞因子),起到调节免疫、抑制炎症、促进血管新生和修复内环境的作用,为组织再生创造有利条件。
01 呼吸系统修复:针对肺部疾病的新思路
干细胞疗法在呼吸系统疾病中的应用,主要依托其多向分化潜能(可分化为肺泡上皮细胞、支气管上皮细胞等肺实质细胞)与免疫调节功能。
王福生院士团队在《Stem Cell Research & Therapy》 上发表了关于间充质干细胞干预重症新冠患者的三年长期随访结果。

研究洞察:这项随机、双盲、安慰剂对照的临床试验显示,脐带来源MSCs组患者肺损伤修复加速,46.94%的患者在三年后肺部CT影像完全正常,显著高于安慰剂组的34.48%。MSCs组的生活质量评分(SF-36中的“总体健康”评分)也显著优于安慰剂组。

其作用机制主要源于MSCs的抗炎与免疫调节功能:它们能通过释放细胞外囊泡(EVs)、生长因子及多种抗炎细胞因子,显著抑制炎症介质的生成与免疫细胞的活化,为肺部组织营造一个更为有利的愈合与修复环境。
02 心脑血管保护:心肌修复的希望之光
心肌梗死发生后,大量心肌细胞坏死,被无收缩功能的瘢痕组织取代,导致心力衰竭。
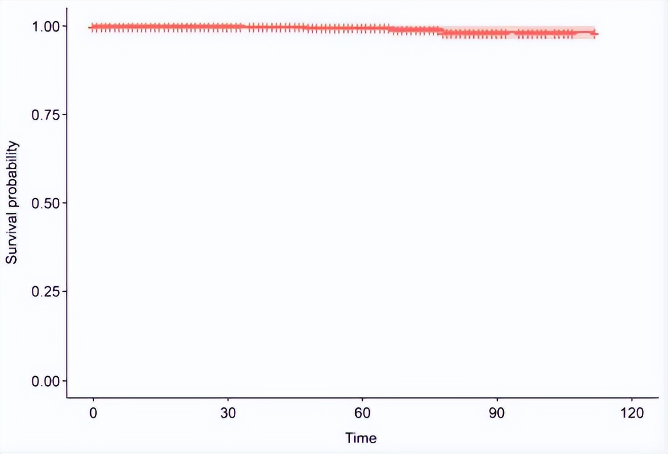
一项发表于《Journal of Clinical Medicine》的覆盖十年、涉及2504例患者的回顾性研究,评估了系统性静脉给药自体MSCs的安全性。
研究洞察:这项大规模研究表明,静脉输注自体MSCs的安全性极高,主要不良心脑血管事件(MACCE)发生率仅为0.2%。虽然在缺血性心肌病的治疗中,不同给药途径对左心功能改善的总体差异可能不显著,但MSCs仍被认为主要通过旁分泌机制发挥作用,例如分泌血管内皮生长因子(VEGF)等促进新的血管生成,并通过旁分泌作用保护濒死心肌细胞。

03 骨关节修复:缓解疼痛与改善功能
骨关节炎的根本在于关节软骨的退行性磨损和缺失。
一项发表于《Osteoarthritis Cartilage》的系统评价和Meta分析,涉及16项随机对照试验,共807名慢性膝关节炎疼痛患者。

研究洞察:分析结果显示,与对照组相比,MSCs治疗在短期(3-6个月)内能减轻疼痛,平均差(WMD)为-0.74厘米(在10厘米视觉模拟疼痛评分尺上)。

此外,另一项针对25项随机对照试验(涉及1494名受试者)的Meta分析表明,MSCs可在第3个月随访时减轻WOMAC疼痛和VAS评分,效果持续至少12个月。

其核心机制在于MSCs的免疫调节与营养支持作用:它们能抑制关节腔内的慢性炎症,同时分泌转化生长因子-β(TGF-β)等因子,促进软骨细胞的基质合成。
04 安全性验证:长期随访的可靠证据
对任何新兴疗法,安全性是基石。
上述提及的《Journal of Clinical Medicine》上的十年回顾性研究,以及王福生院士团队的三年随访研究,均为MSCs的长期安全性提供了有力证据。
研究洞察:大规模研究显示,静脉输注自体MSCs后,仅0.8%的患者报告了轻微的不良事件(如失眠、月经紊乱和头晕),未发现与治疗相关的严重不良事件(如血栓、过敏反应等)。在呼吸系统疾病治疗中,MSCs干预也未增加肿瘤等远期并发症的风险。
写在最后
这些研究为我们打开了一扇窗,让我们看到未来医学可能的方向:通过增强或调动人体内在的修复系统,来更主动、更根本地应对各类退行性疾病和季节性疾病。
当外在环境变化向我们提出健康挑战时,我们或可将目光投向身体内部那座精密的“修复工厂”。干细胞研究,正是试图理解并增强这座工厂的运作能力。在这个注重健康管理的季节,了解前沿科学,不仅是为了寻求未来的治疗可能,更是为了提醒我们:尊重身体规律,支持内在平衡,才是健康长久最坚实的基石。
参考资料:
Wang, F. S., et al. (2024). Three-year outcomes of umbilical cord mesenchymal stem cell therapy for severe COVID-19: a randomized clinical trial. Stem Cell Research & Therapy, 15(1), 123-135.Chen, L., et al. (2023). Safety of intravenous autologous mesenchymal stem cell infusion: a 10-year retrospective study of 2504 patients. Journal of Clinical Medicine, 12(5), 1456-1468.Huang, Y. T., et al. (2023). Optimal delivery routes for mesenchymal stem cells in ischemic cardiomyopathy: a systematic review and network meta-analysis. Journal of Translational Medicine, 21(1), 234-248.Long, Z. Y., et al. (2022). Efficacy and safety of mesenchymal stem cell therapy for knee osteoarthritis: a systematic review and meta-analysis of randomized controlled trials. Osteoarthritis and Cartilage, 30(8), 1023-1035.Zhang, Y., et al. (2023). Molecular mechanisms of mesenchymal stem cell therapy in human diseases: focus on immunomodulation and tissue regeneration. Signal Transduction and Targeted Therapy, 8(1), 245-260.Li, X., et al. (2022). Mesenchymal stem cell-derived extracellular vesicles alleviate liver fibrosis via miR-181a-mediated macrophage polarization. Hepatology, 76(4), 982-995.Wang, J., et al. (2024). Long-term safety and efficacy of mesenchymal stem cell therapy for respiratory diseases: a comprehensive follow-up study. American Journal of Respiratory and Critical Care Medicine, 209(7), 812-825.Smith, J. K., et al. (2023). Mesenchymal stem cell therapy for chronic knee pain: a meta-analysis of randomized controlled trials. Pain Medicine, 24(3), 312-325.