DC娱乐网
享受作文的文章
作文不错,修改的多了点!
2024-07-23 17:20
作文不错,修改的多了点!
作文是这姑娘的长处
2024-07-28 01:57
作文是这姑娘的长处
偏理科的孩子这次已经很努力了
2024-07-23 17:20
偏理科的孩子这次已经很努力了
这次很认真,棒棒哒
2024-07-24 00:08
这次很认真,棒棒哒
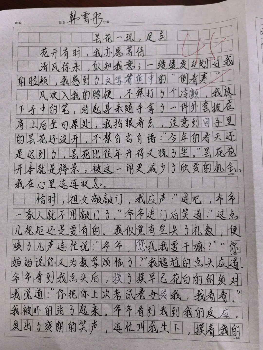
还不错,但更需努力
2024-07-26 00:48
还不错,但更需努力
一个很听话的姑娘,努力上进!
2024-07-28 02:05
一个很听话的姑娘,努力上进!
依旧棒棒哒
2024-07-24 00:13
依旧棒棒哒
取材不错
2024-07-28 02:34
取材不错
总是能给我惊喜!
2024-07-25 00:52
总是能给我惊喜!
征文比赛,全校21篇,我班占5篇且均获奖!
2024-07-27 01:00
征文比赛,全校21篇,我班占5篇且均获奖!
我最喜欢的小丫头的最真实的表达
2024-07-25 00:44
我最喜欢的小丫头的最真实的表达
当堂作文,这次很认真!
2024-07-26 00:26
当堂作文,这次很认真!
这语言读起来让人是那么多舒服!赞!
2024-07-27 00:20
这语言读起来让人是那么多舒服!赞!
教过,他们就能用上,甚慰!依旧棒棒哒!
2024-07-28 02:36
教过,他们就能用上,甚慰!依旧棒棒哒!
本次作文孩子们学会了几个词,还用得不错
2024-07-24 00:13
本次作文孩子们学会了几个词,还用得不错
托物言志,引出物、言物、言志,不错。
2024-07-24 00:13
托物言志,引出物、言物、言志,不错。
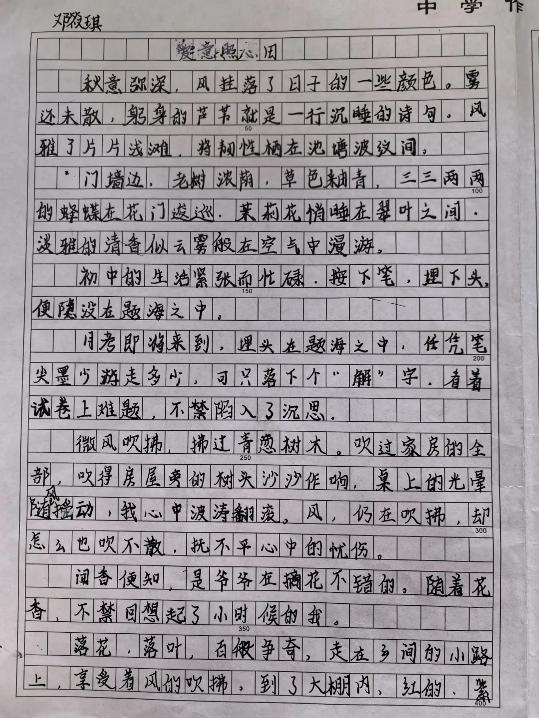
这次作文孩子们学会了把深秋写成秋意弥深
2024-07-26 00:40
这次作文孩子们学会了把深秋写成秋意弥深
托物言志,不错
2024-07-27 01:14
托物言志,不错
双胞胎妹妹的作文显然比姐姐写的好多了
2024-07-25 00:35
双胞胎妹妹的作文显然比姐姐写的好多了
丫头很用心,题目也不错!
2024-07-26 00:03
丫头很用心,题目也不错!
第一页
下一页
作者信息
享受作文
感谢大家的关注
分类: 文化
热门分类
推荐
热榜
军事
NBA
体育
社会
明星八卦
娱乐
财经
科技
汽车
历史
国际
游戏
动漫
公益
搞笑
商业
互联网
数码
国际足球
房产
家居
时尚
科学探索
职场
育儿
股票
教育
影视
情感
热点
中国军情
武器
中国南海
中国足球
亚洲杯
科比
综合体育
CBA
投资
楼市
大咖秀
外汇
创业
风口
SUV
豪车
概念车
优惠
新能源
美国
欧洲
朝日韩
俄罗斯
孕期
街拍
恋爱攻略
婚姻
正能量