成为一名科学异议者的正确方式
并非所有人都接受科学共识;有些人甚至以挑战它为职业。但只有极少数人以正确的方式这样做。

爱因斯坦(右)与物理学家罗伯特密立根(左)和乔治勒梅特(中)合影,这张照片拍摄于他承认自己最大错误的几年之后。如果你觉得当今的批评已经很严厉,那么可以想象,当年勒梅特收到爱因斯坦称其物理学糟糕透顶的信件时,内心该是何等感受幸运的是,正如爱因斯坦当年并未被当时权威人士的意见所动摇一样,勒梅特等人也未因爱因斯坦对其理论站不住脚的断言而放弃探索。
每当科学界就某一观点形成共识,其原因在于该领域内绝大多数科学家基于证据的强度,已将其接纳为基本原理。 然而,挑战已被普遍接受的观点,是科学不可或缺的一部分;这包括对当前科学共识提出质疑,并探索其他可能的解释。 针对科学共识的质疑屡见不鲜,来源广泛,既有本领域的专家,也有具备一定知识背景的非专业人士及普通公众。但其中存在恰当与不恰当的方式,二者之间的区别如下。
一般来说,科学进步主要通过两种方式实现:一种是缓慢而渐进的变革,这构成了大多数科学进展的主体;另一种则是突破性的变革,即一项新发现,有时甚至仅是一种新的理论框架,彻底颠覆了我们原有的科学基础,迫使我们以一种全新的观念来理解宇宙中某些现象的真实运作机制。
后一类进展——代表我们科学基础的重大变革——此前已多次出现。例如:
开普勒提出以太阳为中心的太阳系模型,指出行星沿椭圆轨道运行; 大陆漂移与板块构造理论用于解释地球岩石圈的运动; 达尔文提出的进化论,以自然选择和随机突变为机制; 爱因斯坦颠覆牛顿引力理论,用广义相对论取而代之。
这些进展与知识的渐进式改进不同,代表了人类对自然世界认知中最宏大、最具革命性的转变。
这些变革之所以能够发生,正是因为科学家们勇于质疑已被广泛接受的观点,并敢于构想超越当前认知边界的全新基础。显然,科学上的异议者存在一种恰当的方式,否则此类科学革命便无法在科学体系内部得以实现。

16世纪的一大难题是行星为何会呈现出明显的逆行运动。这一现象既可用托勒密的地心说模型(左图)解释,也可用哥白尼的日心说模型(右图)解释。然而,无论哪一种模型,都难以在任意精度上准确描述行星的运动细节。直到开普勒提出日心说框架下的椭圆轨道理论,以及牛顿随后建立万有引力机制,日心说才在科学意义上取得决定性胜利。 图片来源:E.SiegelBeyondtheGalaxy
但要发起这样一场变革,必须具备若干关键动因,同时还要有一个足够坚实的思想框架:它不仅要能解释原有理论所无法解释的现象,还必须能够复现原有理论的所有成功之处。这是一项极高的要求。
开普勒以哥白尼早先提出的日心说为基础,但需进一步改进行星轨道模型,使其比托勒密长期占主导地位的地心说更精确地拟合当时已有的观测数据。 阿尔弗雷德魏格纳于1912年提出的大陆漂移假说,需要一个能够支撑该假说的物理机制(后来发展为板块构造理论及地球内部各圈层结构),这一探索过程历时近半个世纪。 达尔文的进化论需要直接的观察与实验证据来确立其相对于其他演化路径(例如拉马克主义)的优越性,孟德尔遗传学及后续的DNA研究为其提供了必要的底层机制支持。 爱因斯坦不仅需要解释水星近日点进动这一异常现象,还必须完整复现牛顿万有引力理论此前所取得的全部成功,并提出一项可被检验的新预言(例如星光在太阳引力场中的偏折),且该预言须与牛顿理论的预测存在可观测差异。
只有在新理论重现了原有理论的所有成功之处,能够解释原理论无法说明的现象,并且提出与旧理论不同的新预测,这些预测能够通过观测或实验得到验证的情况下,科学革命才可能发生。
如今,许多持异议者正全力以赴地开展这项工作。但他们采用的方法是否恰当?回答以下五个关键问题,便能清楚地反映出这些研究者是否秉持严谨、审慎与全面的态度,抑或仅仅是在刻意抬高某种异议观点——乃至抬高自身地位——而罔顾实际证据所揭示的事实。

亚瑟爱丁顿于1919年组织的远征观测,首次通过实测证实并验证了爱因斯坦广义相对论的预言,其结果与牛顿引力理论的相应预言存在显著差异。此次观测的关键在于:在日全食期间,星光经过太阳附近时发生的偏折角度——这一预测是爱因斯坦新引力理论所独有的。
1.)他们是否准确地反映了主流共识观点?
这是最基础、首要且最直接的合理性检验:他们所试图推翻的,是否准确反映了当前科学界的主流共识?抑或他们已将真实的科学共识曲解为一个被歪曲、简化的虚假靶标?
科学家们素来以不易相处而闻名。我们常被描绘成令人难以忍受的人:总是质疑一切,不断追问某项主张究竟得到了多少证据的支持,以及当前认知框架之外尚存多大的调整空间。正因如此,共识往往难以达成,尤其是在专家群体之中。
事实上,共识的形成仅当某一特定解释、框架、理论或模型在定量描述和预测能力上远远优于其他所有选项时才会出现,拒绝其结论才属于不科学的行为。宇宙大爆炸理论之所以成为主流共识,并非源于群体思维,而是因为它对宇宙结构形成、最轻元素丰度以及大爆炸遗留辐射等现象的定量预测与实际观测高度吻合。当然,总会有科学家持续挑战大爆炸理论——这类质疑始终具有重要意义——但这些挑战往往歪曲了该理论的重大成功之处。

该图像展示了温度为2.998K的黑体谱(蓝色曲线),以及宇宙膨胀导致光子能量损失、但未能保持其黑体特性的谱形变化。因此,我们可以确定:宇宙微波背景辐射中疲倦光光子所占比例至多为0.001%。 来源:内德赖特宇宙学教程
每隔几年,总有人重新提出早已被证伪的光疲劳宇宙学理论:认为我们观测到的遥远天体的红移现象并非源于宇宙膨胀,而是因为光在传播过程中逐渐疲乏,能量不断损耗所致。更有不少文章和论文声称,暗物质与暗能量并不存在,只要更多科学家转变思路,像这些富有想象力且自诩卓越的异议者一样思考,便能豁然开朗。又或者,我们对宇宙年龄的认知有误,抑或对超新星本质的理解存在偏差,再或其他已被广泛接受的主流理论框架中的某个基本环节出了问题。
但所有这些主张在粗略审视之下便难以成立。疲劳光理论会导致传播中的光谱与发射时的光谱不同,这与直接观测结果相矛盾。暗物质理论在多种宇宙尺度上作出了一系列预测,而整套预测至今仍与观测结果相吻合;相比之下,所有替代理论若要与观测保持一致,都必须引入某种在行为上等效于暗物质的成分。(倘若最终仍需暗物质,那么该替代方案又能带来什么额外优势?)宇宙加速膨胀现象(即所谓暗能量效应)无法通过假设宇宙在大尺度上存在不均匀性或结构起伏而得到解释,尽管某些非主流观点曾提出此类可能性。
如果有人仅通过歪曲主流观点本身,来抬高自己提出的替代性观点的地位,那么此人很可能正在自欺欺人。你也切勿因此被误导。

该四格图片展示了阿贝尔2744(即潘多拉星系团)中各成员星系的分布,同时叠加了钱德拉X射线天文台观测到的X射线辐射数据(以红色表示)以及基于引力透镜效应构建的质量分布图(以蓝色表示)。X射线辐射与透镜质量分布之间的显著偏离,在众多X射线辐射星系团中普遍存在,是支持暗物质存在最有力的观测证据之一。子弹星系团及其他多个星系团也展现出类似特征。 资料来源:NASACXCITAINAFJ.Merten等;引力透镜分析:NASASTScIR.Dupke;图片制作:E.Siegel
2.)您是否综合考量了全部证据,还是仅选取了其中一部分?
这是那些试图推广一种实际上无法与主流观点相匹敌的替代理论者惯用的手法:即抓住大爆炸理论中一个特定环节——原初核合成——来质疑整体理论。在这一环节中,某些直接观测结果与标准核合成预测之间存在微小偏差。然而,唯有忽略其他关键元素(如氢和氦)或无视支持大爆炸理论的其他重要证据(如宇宙大尺度结构和宇宙微波背景辐射),这些替代理论才可能看似具有竞争力。
同样,你可以编造很多不需要暗物质的关于星系的解释,只要忽略那些对共识观点不必要的更大范围的参数。任何好的科学理论的关键在于用尽可能少的变量或参数来解释全部数据。如果有人忽视共识理论能够解释的证据(而这些证据共识理论解释得比他们提出的替代方案更好),他们不只是在兜售反主流的观点;他们是在兜售一种纯粹的胡说八道。

实验室泄漏假说的核心观点是,病毒源自武汉病毒研究所。这一假说成立的前提是,SARSCoV2的直接祖先病毒确实曾存在于该研究所内。若该病毒为自然起源,其部分基因组序列已在老挝野外种群的动物样本中被发现——这一发现由基因组测序研究证实——则实验室泄漏假说即被排除。因为通过功能获得性研究无法创造出与自然界中经重组等自然过程产生的病毒在基因序列上完全一致的病毒。
3.)您提出的替代方案是否能够解释当前共识所成功解释的所有现象?
假设有人愿意全面审视全部证据,那么接下来必须提出的后续问题是:对于现有主流理论所能成功预测的所有现象,这一新提出的替代性理论是否也能对每一项都作出同样成功的预测?
这实际上是一个极具启发性的思考角度,适用于当今社会中一个备受公众和政策制定者热议的话题——尽管这一话题在专业人士内部并不存在显著争议。
它可能源于自然的动物源性溢出事件,即人类与野生动物种群发生接触,病原体从动物传播给人类,随后发生人际传播,从而引发一场全球性疫情。 或者,它可能源于实验室泄漏事件:即病毒被带入实验室,在实验过程中可能经过基因改造,随后因未报告的意外事故导致实验室工作人员感染,并将病毒传给首位人类感染者;此后发生人际传播,进而引发同一起全球性疫情。
一段时间以来,许多人认为这两种解释都是可以接受的。但近年来,情况已不再如此。

该彩色编码图展示了15种SARS相关β冠状病毒的重组片段,与最初感染人类的SARSCoV2原始基因组进行比对。多种不同毒株在这些15个片段中各自呈现最优匹配,表明SARSCoV2具有重组起源特征,且其形成过程难以通过实验室中的功能增益研究实现。
由于在2021年和2022年期间,一系列研究揭示了感染人类的SARSCoV2样本的基因序列,同时发现这些相同的基因序列——其中部分为此前未见的新类型——也存在于野外动物种群中。此外,最早期的SARSCoV2基因序列显示,人类中的病毒存在两个独立的演化谱系:约三分之一的病例属于谱系A,其余三分之二则属于谱系B。若为单一来源引入事件(如实验室泄漏情形),则不应出现如此多样性。唯有自然发生的跨物种传播情景能够解释这一现象。
但除非你已深入探究新冠病毒起源背后的科学细节,否则你很可能从未听说过这两条证据,也未必了解功能获得性研究与此次疫情的起源毫无关联。唯有全面审视所有相关信息,将我们实际掌握的数据与主流观点和非主流观点各自提出的各种假说进行比对,才能得出关于哪些解释仍可能成立、哪些已不再成立的有意义结论。从科学角度出发,实验室泄漏这一关于SARSCoV2起源的假说,早已失去支撑依据;而这一点,仅浏览某些ZF网站可能难以获知。

十余年来,罗杰彭罗斯一直大力宣扬一些极富争议的观点,声称宇宙中存在若干特征——例如低温涨落的同心圆结构——这些特征源于大爆炸之前遗留下来的物理过程。然而,这类特征在观测上并不稳健,其证据强度远不足以支撑彭罗斯的相关主张。 来源:V.G.古尔扎迪安与R.彭罗斯,《欧洲物理杂志Plus》,2013年
4.)是否存在一种公平的直接对比测试,能够将主流观点与替代观点进行比较?
假设你(或你所支持的持不同意见者)到目前为止一直是公正的。他们已充分考虑了全部证据,能够复现主流共识观点所取得的所有成功,并且所有内容都得到了准确呈现。那么,是否存在某种方式可以将主流共识观点与你自己的观点区分开来?
如果答案是否定的,那么弦理论、循环宇宙学模型、量子力学的不同诠释等就会面临问题。如果没有公平的直接对比实验可以进行,就无法期待出现一场科学革命。除非新的数据出现,并且支持某个替代理论胜过当前主流理论,否则现有共识就无法被推翻。
当宇宙暴胀理论首次提出时,这一关于宇宙起源的新图景成功地解释了热大爆炸理论所面临的三个主要疑难问题:视界问题(即为何宇宙在各个方向上温度如此均匀)、平坦性问题(即为何宇宙的膨胀速率与总能量密度之间存在极为精确的匹配),以及磁单极子问题(即若早期宇宙曾处于极高温度和密度状态,为何至今未观测到这些高能遗迹粒子)。

在上图中,我们现在的宇宙在所有地方都有相同的特性(包括温度),因为它们起源于一个具有相同特性的区域。在中图中,原本可能有任意曲率的空间被膨胀到今天我们无法观测到任何曲率的程度,从而解决了平坦性问题。在下图中,原有的高能遗迹被膨胀掉,从而解决了高能遗迹问题。这就是暴胀如何解决大爆炸理论本身无法解释的三个重大谜题。 图片来源:E.SiegelBeyondtheGalaxy
然而,仅仅注意到在主流理论框架下无法解释的谜题在替代理论中得到了解决和说明是不够的;仅仅再成功复现主流理论的其他预测也是不够的。新理论还必须能够推导出新的预言,并且这些预言必须与现有主流理论的预言有所不同。在非暴胀热大爆炸模型与由宇宙暴胀所设定的大爆炸模型之间,曾识别出四个关键差异。
种子涨落的功率谱是否为尺度不变(如标准热大爆炸理论所预言),抑或存在微小的偏离尺度不变性(如暴胀理论所预言); 原初涨落是否全部为绝热型(如暴胀理论所预言),抑或包含绝热与等曲率两种成分的混合(如非暴胀的热大爆炸模型所允许); 是否存在尺度大于自热大爆炸起始以来光信号所能传播距离的超视界涨落(暴胀理论预言存在,非暴胀的热大爆炸模型则禁止); 宇宙在其演化早期是否曾达到普朗克能量对应的温度(非暴胀模型允许此情形),抑或其最高温度被限制在远低于普朗克能量的水平(暴胀模型所预言)。
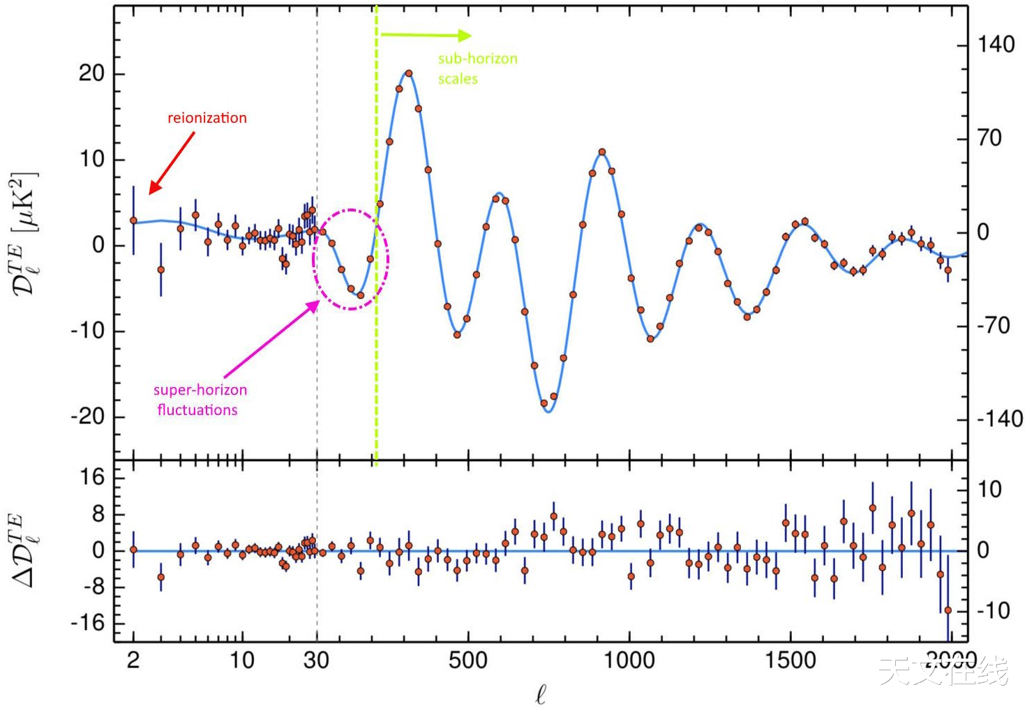
通过直接观测和测量,包括对宇宙大尺度结构以及宇宙微波背景辐射的温度与偏振特性的研究,暴胀理论在这四方面均得到支持,而未引入暴胀的原始大爆炸模型则在这些方面均未获得支持。因此,科学界已普遍接受,在标准热大爆炸之前存在一个更早的演化阶段——宇宙暴胀时期,它为热大爆炸的发生奠定了初始条件。设计至少一项可观测检验,是实现二者公平比较的关键。

若要探测可观测宇宙中的信号,以寻找超视界涨落的确凿证据,需考察宇宙微波背景辐射温度与E模式极化(TE)交叉关联谱在超视界尺度上的特征。基于最新的普朗克卫星观测数据,现有证据强有力地支持超视界涨落的存在,这验证了暴胀理论的一项非凡预言,同时与非暴胀图景下此类涨落不应存在的预期形成鲜明对比。 图片来源:欧洲空间局(ESA)与普朗克合作组;标
5.)您是否如实说明了该替代方案的成功与失败?持主流观点者是否会认同您的说法?
如果你向任何采取相反立场的人提出第一个问题,他们很可能会强烈地回答是。但仅仅这样并不能说服他人;还需要对第二个问题也给出是的回答。并非每个人都必须认同持相反立场者得出的结论,但所有人都应达成一致:
他们的方法和分析是严谨的, 他们没有选择性地忽略那些削弱其立场的数据, 他们公正地考虑了主流共识,并准确地呈现了它, 而且,如果一位持主流共识立场的人讨论该替代理论的成功与不足之处,其观点会与该替代理论或非主流观点有许多共同之处。
当然,科学中真正出现这种情况的实例极少。达成共识非常困难,通常只有在存在压倒性证据、足以证明某一种理论、模型或数据解释明显优于所有其他方案时,共识才可能形成。对既有共识提出质疑始终具有重要意义,但这种质疑必须基于正当理由,而非凭空捏造的理由。通过同行评议并不意味着某种反主流观点本身具有合理性,而仅表明该观点已达到某一门槛,即至少有一位评审者认为其值得提交给更广泛的科学共同体予以审慎考量。
在这个世界上,我们必须以严谨的态度对待科学问题:进行充分的审视和毫不留情的质疑,唯有最经得起考验的观点才能留存下来。如果一个观点与现实不符,就应当被摒弃。毕竟,无论怎样雄辩都无法改变现实本身;我们必须如实接受并理解事物的本来面貌,无论这多么违背我们的直觉。
科学与科技 宇宙膨胀 天文学 宇宙学 广义相对论
相关知识
科学质疑是基于证据和逻辑对现有科学观点或实验结果提出合理怀疑的过程,旨在推动知识进步与真理探索。它强调严谨的思维、可重复的验证以及开放的讨论态度,是科学发展的核心动力之一。
BY: Ethan Siegel
FY: AI
如有相关内容侵权,请在作品发布后联系作者删除
转载还请取得授权,并注意保持完整性和注明出处
评论列表