DC娱乐网

别再用均值填充了!MICE算法教你正确处理缺失数据

缺失数据处理一直是机器学习实践中的难点。MICE(Multivariate Imputation by Chained

缺失数据处理一直是机器学习实践中的难点。MICE(Multivariate Imputation by Chained Equations)作为一种基于迭代思想的插补框架,可以处理复杂缺失值问题。因为它不是简单地用均值或中位数填补空缺,而是通过构建后验分布来建模不确定性,这种处理方式在统计学上更为严谨。

但MICE的学习曲线优点陡峭,迭代机制和模型依赖特性也让不少人望而却步,所以本文会通过PMM(Predictive Mean Matching)和线性回归等具体方法,拆解MICE的工作原理,同时对比标准回归插补作为参照。

MICE的基本概念

插补方法大致可以分三类:统计方法(均值、中位数、众数)、基于模型的方法(KNN、回归插补、GAIN等)、以及时间序列特有的前向后向填充。MICE属于模型方法,但它的实现路径更复杂——通过迭代式预测来逐步逼近真实分布。

整个流程如下图所示:

MICE首先运行多轮插补循环,用预测模型生成目标变量的后验分布。接着从这个分布中反复抽样(比如M次),生成多个版本的完整数据集。每个数据集的插补值都不相同,这种变异性是MICE的核心价值所在。

最后通过不确定性分析和池化(pooling),得到汇总的统计指标:池化参数估计、总标准误差、t统计量和p值。这些指标量化了缺失值带来的不确定性,帮助判断插补结果是否足够可靠。

链式预测的逻辑

MICE的关键在于"链式"二字。假设有个简单数据集,包含Income(X1)和Age(X2)两个特征,都存在缺失。

标准回归插补会直接用学到的函数填补空白:

因为模型只在残缺的数据上训练,插补结果难免带有很大的偏差。

而MICE采取的策略不同:

它先用均值之类的粗略值填充所有空缺(浅粉色),然后用包括这些初值在内的"完整"数据去改进插补(深粉色)。这个过程会重复多轮,直到插补值趋于稳定,或者说就是收敛了。

MAR假设的限制

MICE强依赖MAR(Missing At Random)假设——数据缺失与否只和已观测值相关,斌且给这个前提很严格的。

如果数据属于MCAR(完全随机缺失),用简单方法就够了。如果是MNAR(非随机缺失,比如高收入者故意不填收入),MICE效果会打折扣需要考虑自编码器或领域特定模型。

适用场景

MICE的优势在于:

迭代过程提供了有效的不确定性估计,比一次性插补准确;能捕捉多变量之间的复杂依赖关系;利用其他变量信息,减少插补偏差

但代价也明显:计算慢、实现复杂、受底层模型假设约束(比如线性假设)。

所以使用MICE选对场景很重要:

多个变量都有缺失,且彼此关联;数据类型混杂(连续型和分类变量都有);缺失率比较高,达到10%以上,简单方法会引入明显偏差。

临床试验和公共卫生调查就是典型应用,这些领域对无偏估计要求极高。

算法机制分解

按照图A,MICE分五步:

1、用占位符初始化

2、建模后验分布并采样

3、迭代至收敛

4、重复生成多个数据集

5、不确定性分析和池化

我们一步一步来介绍。

初始插补

第一步用均值或中位数填充所有缺失位置。

形式化表示:

这里Y是包含P个变量的数据集,Y(t)代表第t轮迭代的状态。插补前Y包含观测值和缺失值两部分。

后验分布与采样

接下来是核心步骤:

训练预测模型

构建目标变量的条件后验分布

从分布中抽样

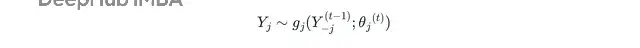
假设目标变量是X1(包含缺失),用列索引j和迭代轮次t来表示:

其中Y_j是观测值,Y_j^{(t−1)}是上一轮的插补结果,g_j是后验分布,θ_j(t)是模型参数。

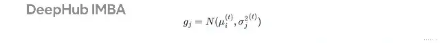
后验分布的形式取决于预测模型。

回归任务常用这几种:

正态线性回归:从正态分布采样,均值是预测值μ_i^(t),方差σ_j^2(t)来自贝叶斯框架。

带Bootstrap的正态线性回归:分布形式相同,但参数从自助法样本中估计。

PMM(预测均值匹配):先用线性回归生成预测均值,然后从"捐赠者池"中随机抽取实际观测值。捐赠者池由预测均值最接近的k个样本组成,类似KNN的思路。

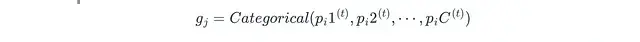
分类任务则用:

逻辑回归:从伯努利分布(二分类)或多项分布(多分类)中采样。

比例优势模型:参数量更少,因为所有截断点共享一组斜率系数。

迭代收敛

MICE会对所有缺失变量依次执行上述步骤,直到所有值都收敛。

比如数据集有4个目标变量(j = 0, 1, 2, 3),MICE会顺序处理:先给j=0建模采样,然后j=1以此类推。这种顺序确保了链式依赖——j=0的插补结果会用在j=1的预测中。

生成多数据集

单次收敛还不够。MICE会把整个迭代循环跑多遍(比如20次),每次都从后验分布随机采样,生成多个版本的完整数据集。这些数据集的插补值各不相同,正是这种变异性让不确定性量化成为可能。

不确定性分析与池化

最后对所有插补数据集做相同的统计分析。

比如说研究年龄和BMI对胆固醇的影响,用OLS线性回归建模:

Cholesterol ∼ β_0 + β_1·Age + β_2·BMI + ϵ

每个插补数据集D(m)会得到一组系数估计θ^_m和方差协方差矩阵U_m。

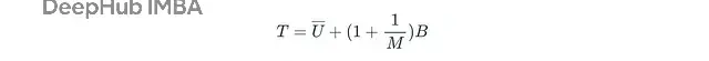
Rubin规则把这些结果合并。比如参数θ的池化估计是M个估计值的均值:

估计误差(池化标准误差)由总方差决定:

总方差分解为插补内方差和插补间方差:

Uˉ反映采样变异性,B量化插补引入的额外不确定性,M是数据集数量。有了这些,就能构建置信区间和p值。

代码

用合成数据集演示回归任务。数据包含10000个样本,三个特征X1、X2、Y。

对比三种方法:

MICE + PMM

MICE + 正态线性回归

标准回归插补(基线)

结构化缺失值

先把各种形式的缺失标记统一成np.nan。Pandas默认不识别空格、"NA"、"?"这类非结构化标记。

import pandas as pd  import numpy as np    def structure_missing_values(df: pd.DataFrame, target_cols: list = []) -> pd.DataFrame:      target_cols = target_cols if target_cols else df.columns.tolist()            # list up unstructured missing val options      unstructured_missing_vals = ['', '?', ' ', 'nan', 'N/A', None, 'na', 'None', 'none']        # structure      structured_nan = { item: np.nan for item in unstructured_missing_vals }      structured_df = df.copy()      for col in target_cols: structured_df[col].replace(structured_nan)        return structured_df    df_structured = structure_missing_values(df=original_df)

分析缺失类型

用t检验判断缺失模式。比较有无缺失两组样本在其他变量上的均值差异。

from scipy import stats    def assess_missingness_diagnostics(df, target_variable='X1', missingness_type='mcar'):      # create a missingness indicator      df_temp = df.copy()      df_temp['is_missing'] = df_temp[target_variable].isna().astype(int)      observed_vars = [col for col in df_temp.columns if col not in [target_variable, 'is_missing']]            # compare means of observed variables (x2, y) between 1) group_observed (x1 observed) and 2) group_missing (x1 missing)      for var in observed_vars:          # create the groups          group_observed = df_temp[df_temp['is_missing'] == 0][var]          group_missing = df_temp[df_temp['is_missing'] == 1][var]                    # check if enough samples exist in both groups          if len(group_missing) < 2 or len(group_observed) < 2: continue            # perform two-sample t-test to compute the mean difference          _, p_value = stats.ttest_ind(group_observed.dropna(), group_missing.dropna())          mean_obs = group_observed.mean()          mean_miss = group_missing.mean()                     # rejection of h0 (equal means) suggests missingness depends on the observed variable          if p_value < 0.05:              print(f"  -> conclusion: mar or mnar because means are statistically different.")          else:              # failure to reject h0 suggests independence              print(f"  -> conclusion: mcar because means are not statistically different.")    assess_missingness_diagnostics(      df=df_structured,      target_variable='X1',      missingness_type='mar'  )

结果显示X2和Y在两组间均值显著不同(p<0.05),符合MAR或MNAR特征。

实践中缺失类型往往模糊,可以试多种方法再比较泛化效果。

定义插补器

确认适用性后,用Scikit-learn的IterativeImputer配置MICE。

PMM版本:

from sklearn.impute import IterativeImputer    imputer_mice_pmm = IterativeImputer(      estimator=PMM(),            # pmm      max_iter=10,                # num of cycles          initial_strategy='mean',    # initial imputation val      random_state=42,            # for reproducibility  )

自定义PMM估计器:

import numpy as np  from sklearn.linear_model import LinearRegression   from sklearn.base import BaseEstimator, RegressorMixin    # implement a custom pmm estimator  class PMM(BaseEstimator, RegressorMixin):      def __init__(self, k: int = 5, base_estimator=LinearRegression()):          self.k = k # k-neigbor          self.base_estimator = base_estimator            def fit(self, observed_X, observed_y):          self.base_estimator.fit(observed_X, observed_y)                    # store the observed data          self.X_donors = observed_X.copy()          self.y_donors = observed_y.copy()                    # predict the means for all observed donors          self.y_pred_donors = self.base_estimator.predict(self.X_donors)          return self        # core pmm logic of sampling val from the k nearest neighbors of observed data. x has missing vals      def predict(self, X):          # predict the mean for the missing data (recipients)          y_pred_recipients = self.base_estimator.predict(X)          imputed_values = np.zeros(X.shape[0])                    # perform pmm for each recipient (row in x)          for i, pred_recipient in enumerate(y_pred_recipients):              # compute the absolute difference between the recipient's predicted mean and all the donor's predicted means.              diffs = np.abs(self.y_pred_donors - pred_recipient)                            # get the indices that correspond to the k smallest differences (k nearest matches)              nearest_indices = np.argsort(diffs)[:self.k] # taking k indices plus 1 to avoid an exact match of the imputed val from the prev round                            # randomly sample an observed value from the k nearest neighbors (donor_pool)              donor_pool = self.y_donors[nearest_indices]              imputed_value = np.random.choice(donor_pool, size=1)[0]              imputed_values[i] = imputed_value          return imputed_values        ## func for IterativeImputer compatibility      def _predict_with_uncertainty(self, X, return_std=False):          if return_std:              return self.predict(X), np.zeros(X.shape[0])  # pmm is semi-parametric. set standard deviation = 0          return self.predict(X)

库里的KNeighborsRegressor也能实现类似功能。

线性回归版本:

用BayesianRidge确保生成不同的插补值:

from sklearn.impute import IterativeImputer  from sklearn.linear_model import BayesianRidge    imputer_mice_lr = IterativeImputer(      estimator=BayesianRidge(max_iter=500, tol=1e-3, alpha_1=1e-10, alpha_2=1e-10, lambda_1=1e-10, lambda_2=1e-10),      max_iter=10,      initial_strategy='mean',      random_state=42,      sample_posterior=True # add random noise drawn from the posterior distribution to the prediction.  )

执行插补

迭代5次(M=5),每次生成一个完整数据集。

import pandas as pd  from sklearn.impute import IterativeImputer    def run_mice_imputation(df: pd.DataFrame, imputer: IterativeImputer, M: int = 5) -> list:      # iteration      imputed_datasets= [] # subject to analysis and pooling later      imputed_values_x1 = {}      missing_indices_x1 = df[df['X1'].isna()].head(3).index.tolist()        for m in range(M):          # setup imputer for each interation (unique random state controls the numpy seed for pmm's sampling)          setattr(imputer, 'random_state', m)            # impute df and convert generated array to pandas df          df_m = pd.DataFrame(imputer.fit_transform(df), columns=df.columns)            # recording          imputed_datasets.append(df_m)          imputed_values_x1[m] = df_m['X1'].loc[missing_indices_x1].tolist()        # outputs - unique imputation values      print("Imputed values across M datasets (True PMM - expecting variability):")      print(f"imputed dataset 1 - the first three imputed values for X1: {[f'{x:.14f}' for x in imputed_values_x1[0]]}")      print(f"imputed dataset 2 - the first three imputed values for X1: {[f'{x:.14f}' for x in imputed_values_x1[1]]}")      print(f"imputed dataset 3 - the first three imputed values for X1: {[f'{x:.14f}' for x in imputed_values_x1[2]]}")      print(f"imputed dataset 4 - the first three imputed values for X1: {[f'{x:.14f}' for x in imputed_values_x1[3]]}")      print(f"imputed dataset 5 - the first three imputed values for X1: {[f'{x:.14f}' for x in imputed_values_x1[4]]}")        return imputed_datasets

PMM结果:

imputed_datasets_mice_pmm = run_mice_imputation(df=df, imputer=imputer_mice_pmm, M=5)

5个数据集的X1插补值各不相同,体现了随机性:

imputed dataset 1: ['9.24212539359209', '8.86784044761337', '16.27959379662983']imputed dataset 2: ['10.67728456933526', '6.72710070935441', '8.84037515230672']imputed dataset 3: ['10.15359370564326', '6.72710070935441', '18.59563606925789']imputed dataset 4: ['10.78202129747172', '6.72710070935441', '8.84037515230672']imputed dataset 5: ['9.35638700644611', '5.15233963776858', '13.88818918534419']

线性回归结果:

imputed_datasets_mice_lr = run_mice_imputation(df=df, imputer=imputer_mice_lr, M=5)

同样生成了5组不同的插补值:

imputed dataset 1: ['12.21062281693754', '9.96558458658052', '12.49501000922409']imputed dataset 2: ['8.71573023588752', '10.85416071007341', '12.35300502646557']imputed dataset 3: ['12.72459653377737', '8.71106811173562', '11.99063594937416']imputed dataset 4: ['9.73654929041454', '3.72657966114651', '12.08960122126962']imputed dataset 5: ['8.59526280022813', '12.78831127091796', '12.39797242039489']

池化分析

对5个数据集做统计推断,用Rubin规则合并结果。

import numpy as np  import statsmodels.formula.api as smf  from scipy.stats import t    def perform_analysis_and_pooling(imputed_datasets, target_param='X1'):      m = len(imputed_datasets)      estimates = []  # theta_m      variances = []  # within-imputation variance u_m        # 1. analysis - run the model on each imputed dataset      for i, df_m in enumerate(imputed_datasets):          # ols model          model = smf.ols(formula='Y ~ X1 + X2', data=df_m).fit()          # extract the estimate (theta_m) and its variance (u_m) for the target parameter          estimate = model.params[target_param]          variance = model.bse[target_param]**2                    estimates.append(estimate)          variances.append(variance)        # 2. pooling w rubin's rules      # pooled point estimate (theta_bar)      theta_bar = np.mean(estimates)            # within-imputation variance (u_bar)      u_bar = np.mean(variances)            # between-imputation variance (b)      b = (1 / (m - 1)) * np.sum([(est - theta_bar)**2 for est in estimates])            # total variance (t)      t_total = u_bar + (1 + (1 / m)) * b            # total standard error (se)      se_pooled = np.sqrt(t_total)            # relative increase in variance (riv) and degrees of freedom (v)      riv = ((1 + (1 / m)) * b) / u_bar      v_approx = (m - 1) * (1 + (1 / riv))**2          # confidence interval      t_critical = t.ppf(0.975, df=v_approx)      ci_lower = theta_bar - t_critical * se_pooled      ci_upper = theta_bar + t_critical * se_pooled        print("\n--- pooled results using rubin's rules ---")      print(f"pooled estimate ({target_param}): {theta_bar:.10}")      print(f"within variance (u_bar): {u_bar:.10}")      print(f"between variance (b): {b:.10f}")      print(f"total variance (t): {t_total:.10}")      print(f"pooled standard error: {se_pooled:.10}")      print(f"relative increase in variance (riv): {riv:.10}")      print(f"degrees of freedom (approx): {v_approx:.2f}")      print(f"95% ci: [{ci_lower:.10}, {ci_upper:.10}]")            return theta_bar, se_pooled, t_total, v_approx

PMM池化结果:

X1系数估计2.021,95%置信区间[1.954, 2.087]。相对方差增幅(RIV)仅5.7%,说明插补引入的不确定性很小。

pooled estimate (X1): 2.020731625within variance (u_bar): 0.001079913886between variance (b): 0.0000517265total variance (t): 0.001141985746pooled standard error: 0.0337932796relative increase in variance (riv): 0.05747852707degrees of freedom (approx): 1353.9295% ci: [1.95443875, 2.087024499]

线性回归池化结果:

X1系数2.029,置信区间[1.963, 2.096],RIV约6.8%,同样在可接受范围。

pooled estimate (X1): 2.029474175within variance (u_bar): 0.001082280232between variance (b): 0.000060931total variance (t): 0.001155397613pooled standard error: 0.03399114021relative increase in variance (riv): 0.06755864026degrees of freedom (approx): 998.8195% ci: [1.962771936, 2.096176414]

两种方法的不确定性都控制得不错。

模型评估

在每个插补数据集上训练SVR(支持向量回归),平均MSE作为最终指标。

from sklearn.model_selection import train_test_split  from sklearn.preprocessing import StandardScaler  from sklearn.compose import ColumnTransformer  from sklearn.pipeline import Pipeline  from sklearn.svm import SVR  from sklearn.metrics import mean_squared_error    mse_train_mice_pmm_list = []  mse_val_mice_pmm_list = []  for i, df in enumerate(created_datasets):      # create X, y      y = df['Y']      X = df[['X1', 'X2']]        # create train, val, test datasets      test_size, random_state = 1000, 42      X_tv, X_test, y_tv, y_test = train_test_split(X, y, test_size=test_size, shuffle=True, random_state=random_state)      X_train, X_val, y_train, y_val = train_test_split(X_tv, y_tv, test_size=test_size, shuffle=True, random_state=random_state)        # preprocess      num_cols = X.columns      num_transformer = Pipeline(steps=[('scaler', StandardScaler())])      preprocessor = ColumnTransformer(transformers=[('num', num_transformer, num_cols),], remainder='passthrough')      X_train = preprocessor.fit_transform(X_train)      X_val = preprocessor.transform(X_val)      X_test = preprocessor.transform(X_test)        # train the model      model = SVR(kernel="rbf", degree=3, gamma='scale', coef0=0, tol=1e-5, C=1, epsilon=1e-5, max_iter=1000)      model.fit(X_train, y_train)        # inference      y_pred_train = model.predict(X_train)      mse_train = mean_squared_error(y_pred_train, y_train)      y_pred_val = model.predict(X_val)      mse_val = mean_squared_error(y_pred_val, y_val)        # recording      mse_train_mice_pmm_list.append(mse_train)      mse_val_mice_pmm_list.append(mse_val)    # final performance metric that accounts for imputation uncertainty.  pooled_mse_train_mice_pmm = np.mean(mse_train_mice_pmm_list)  pooled_mse_val_mice_pmm = np.mean(mse_val_mice_pmm_list)  print(f'\nfinal performance - train mse: {pooled_mse_train_mice_pmm:.6f}, val mse: {pooled_mse_val_mice_pmm:.6f}')

对比结果:

MICE + PMM:训练394.14,验证368.20

MICE + 线性回归:训练331.43,验证308.42

回归插补:训练412.05,验证383.25

两种MICE方法都显著优于基线。其中线性回归版本表现最佳,验证MSE降到308.42。

原因可能有两点:一是线性回归模型精准捕捉了数据关系;二是PMM的随机采样引入了额外噪声,虽然理论上更稳健但在这个数据集上反而增加了误差。

小结

MICE在处理复杂缺失数据时有明显优势,尤其是需要无偏推断的场景。实验表明它确实能提升模型表现,比单次回归插补效果更好。

不过实践中还有优化空间:估计器选择、迭代次数、收敛标准都会影响最终效果。另外MAR假设的适用性判断也需要仔细评估,盲目套用可能适得其反。

缺失数据处理本身就是个权衡问题——计算成本、模型复杂度、统计有效性之间需要找平衡点。MICE提供了一种严谨的解决方案,但不是万能钥匙,要结合具体问题具体分析。

完整代码:

https://avoid.overfit.cn/post/e54f988c93df418db5ccbd1d37a92007

作者:Kuriko Iwai