DC娱乐网
教数学的陈师傅的文章
八年级数学必会-几何全等基础题
2025-12-04 03:06
八年级数学必会-几何全等基础题
八年级数学必会-几何全等之魂
2025-12-04 03:07
八年级数学必会-几何全等之魂
初一数学必会—解一元一次方程
2025-12-04 03:07
初一数学必会—解一元一次方程
八年级数学必会-全等证明
2025-12-04 03:07
八年级数学必会-全等证明
七年级数学期中必考压轴题‼️
2025-12-04 03:07
七年级数学期中必考压轴题‼️
中考每日一练-圆专题
2025-12-04 03:07
中考每日一练-圆专题
初二数学几何模型-燕尾模型
2025-12-04 03:07
初二数学几何模型-燕尾模型
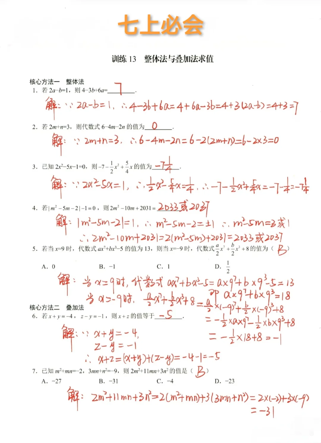
七上数学必会 作业帮AI解题上大分
2025-10-08 21:06
七上数学必会 作业帮AI解题上大分
2025中考数学复习‼️
2025-02-21 15:02
2025中考数学复习‼️
七八九年级 核心考点视频录播课‼️
2025-02-20 16:36
七八九年级 核心考点视频录播课‼️
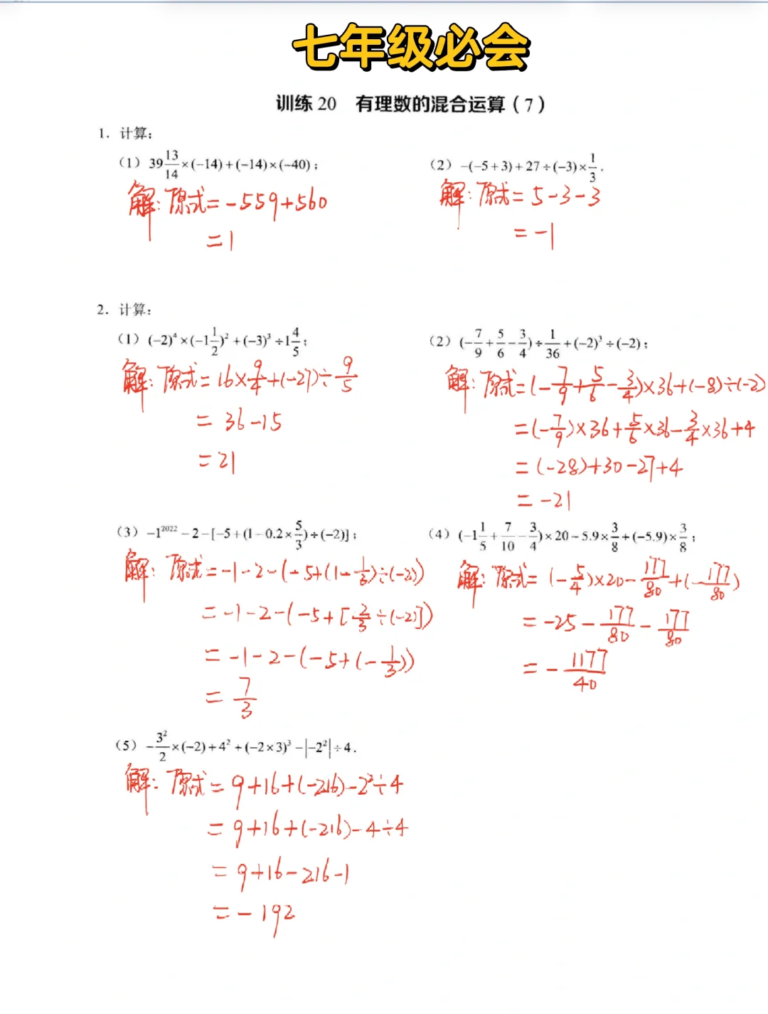
七年级必会—有理数的混合运算‼️
2024-12-17 15:53
七年级必会—有理数的混合运算‼️
七年级数学有理数必会‼️
2024-12-09 15:06
七年级数学有理数必会‼️
七年级数学必会-有理数的运算代数化‼️
2024-11-20 15:05
七年级数学必会-有理数的运算代数化‼️
七年级数学-有理数常用的计算方法‼️
2024-11-12 13:12
七年级数学-有理数常用的计算方法‼️
七年级数学上册-有理数‼️
2024-11-04 23:12
七年级数学上册-有理数‼️
七年级数学重难点‼️
2024-11-04 12:58
七年级数学重难点‼️
七年级数学上册必会-数轴“疯狗问题”‼️
2024-10-29 21:32
七年级数学上册必会-数轴“疯狗问题”‼️
九年级数学-坐标系中的旋转‼️
2024-10-27 00:48
九年级数学-坐标系中的旋转‼️
九年级数学重难点-旋转模型构造角度‼️
2024-10-25 09:43
九年级数学重难点-旋转模型构造角度‼️
七年级直线、射线、线段‼️
2024-10-19 12:55
七年级直线、射线、线段‼️
第一页
下一页
作者信息
教数学的陈师傅
感谢大家的关注
分类: 教育
热门分类
推荐
热榜
军事
NBA
体育
社会
明星八卦
娱乐
财经
科技
汽车
历史
国际
游戏
动漫
公益
搞笑
商业
互联网
数码
国际足球
房产
家居
时尚
科学探索
职场
育儿
股票
教育
影视
情感
热点
中国军情
武器
中国南海
中国足球
亚洲杯
科比
综合体育
CBA
投资
楼市
大咖秀
外汇
创业
风口
SUV
豪车
概念车
优惠
新能源
美国
欧洲
朝日韩
俄罗斯
孕期
街拍
恋爱攻略
婚姻
正能量