DC娱乐网
教数学的陈师傅的文章
中考必考题—幂的运算‼️
2024-04-14 12:56
中考必考题—幂的运算‼️
七下数学实数计算期中考题精选🔥
2024-04-12 12:17
七下数学实数计算期中考题精选🔥
中考真题复习题 实数计算‼️
2024-04-12 12:19
中考真题复习题 实数计算‼️
七下数学必考题 实数的综合计算❗️
2024-04-11 12:16
七下数学必考题 实数的综合计算❗️
七下数学必考题 实数的运算
2024-04-10 12:32
七下数学必考题 实数的运算
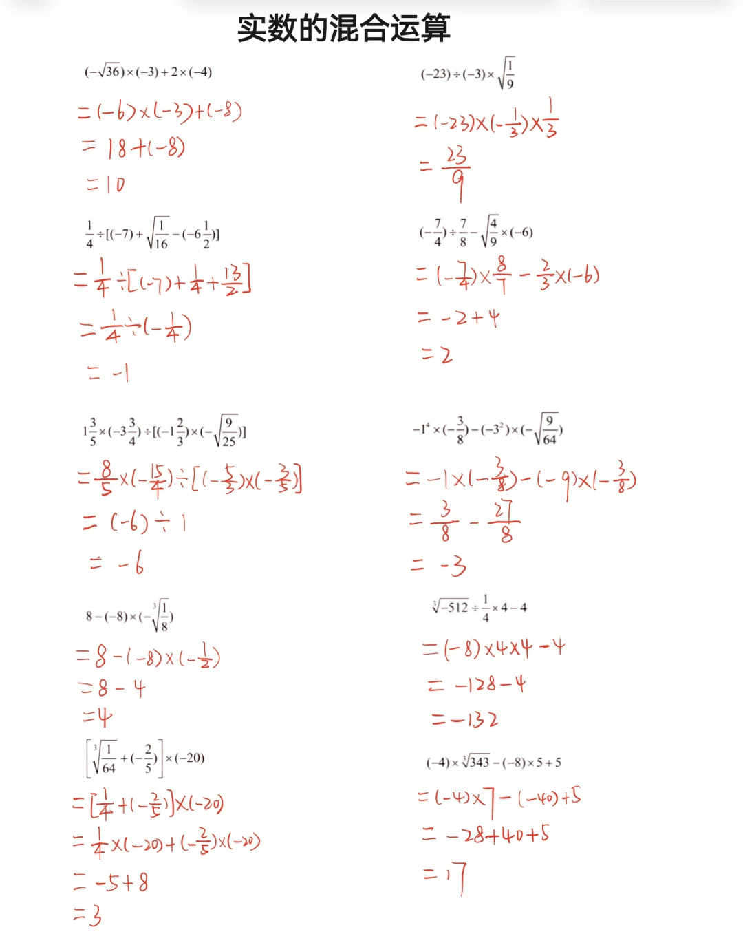
七下数学 实数的混合运算❗️
2024-04-08 12:32
七下数学 实数的混合运算❗️
中考复习强化—二次函数实际问题🔥
2024-04-07 12:26
中考复习强化—二次函数实际问题🔥
中考复习—求阴影部分的面积❗️
2024-04-04 12:33
中考复习—求阴影部分的面积❗️
高中导数—函数图像与切线计算基础题❗️
2024-04-03 12:26
高中导数—函数图像与切线计算基础题❗️
中考复习—动点与直线型函数图像‼️
2024-04-02 15:32
中考复习—动点与直线型函数图像‼️
九年级三月调考强化专题—动点轨迹问题🔥
2024-03-31 12:59
九年级三月调考强化专题—动点轨迹问题🔥
2024武汉市初三数学调考题
2024-04-03 01:54
2024武汉市初三数学调考题
2024中考数学复习—考前复习串讲🔥
2024-04-03 01:24
2024中考数学复习—考前复习串讲🔥
八年级下册数学勾股定理与构图
2024-03-28 12:19
八年级下册数学勾股定理与构图
八年级数学下册二次根式的加减🔥
2024-06-24 22:57
八年级数学下册二次根式的加减🔥
八年级数学下《二次根式的分母分子有理化》
2024-06-24 13:20
八年级数学下《二次根式的分母分子有理化》
九上一元二次方程“根的判别式”🔥
2024-06-24 20:52
九上一元二次方程“根的判别式”🔥
一元二次方程的实际应用-几何图形🔥
2025-09-28 20:37
一元二次方程的实际应用-几何图形🔥
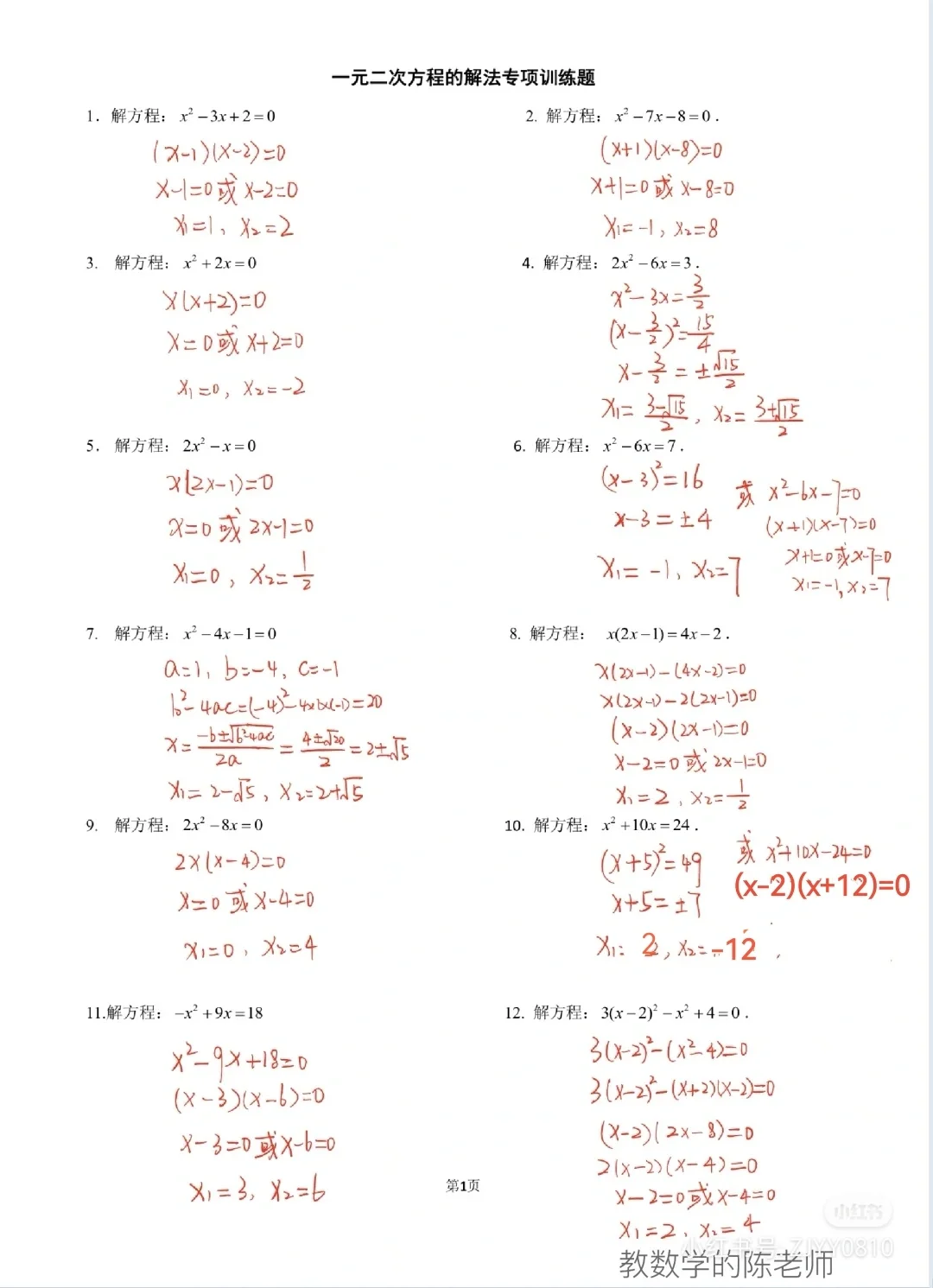
一元二次方程计算过关经典训练题(九上)
2024-06-26 03:51
一元二次方程计算过关经典训练题(九上)
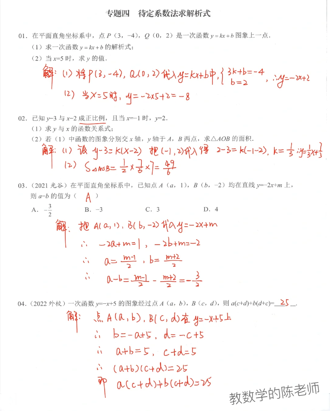
八下数学“待定系数法求函数解析式”‼️
2025-10-05 14:09
八下数学“待定系数法求函数解析式”‼️
第一页
下一页
作者信息
教数学的陈师傅
感谢大家的关注
分类: 教育
热门分类
推荐
热榜
军事
NBA
体育
社会
明星八卦
娱乐
财经
科技
汽车
历史
国际
游戏
动漫
公益
搞笑
商业
互联网
数码
国际足球
房产
家居
时尚
科学探索
职场
育儿
股票
教育
影视
情感
热点
中国军情
武器
中国南海
中国足球
亚洲杯
科比
综合体育
CBA
投资
楼市
大咖秀
外汇
创业
风口
SUV
豪车
概念车
优惠
新能源
美国
欧洲
朝日韩
俄罗斯
孕期
街拍
恋爱攻略
婚姻
正能量