DC娱乐网
教数学的陈师傅的文章
八上数学几何-A字模型‼️
2024-08-18 12:46
八上数学几何-A字模型‼️
九上数学必会-根与系数的关系‼️
2024-08-12 16:51
九上数学必会-根与系数的关系‼️
八上几何-双外角平分线模型‼️
2024-08-10 23:22
八上几何-双外角平分线模型‼️
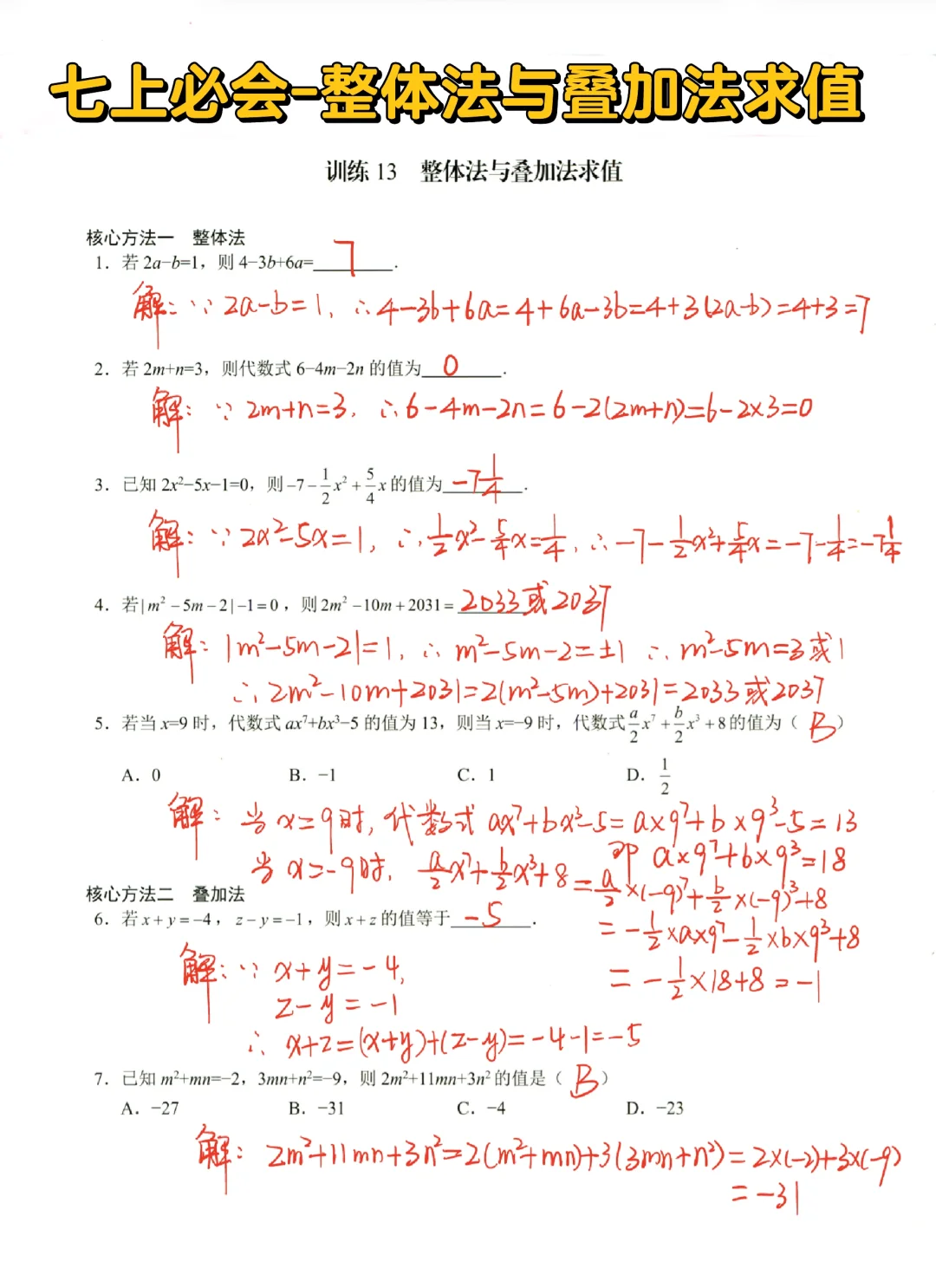
七上数学-整体法与叠加法求代数式值🔥
2024-08-08 18:35
七上数学-整体法与叠加法求代数式值🔥
九上数学-配方法求最值🔥
2024-08-06 15:42
九上数学-配方法求最值🔥
八上数学几何模型-双内角平分线
2024-08-04 13:14
八上数学几何模型-双内角平分线
九上数学必会-解一元二次方程🔥
2024-08-01 16:16
九上数学必会-解一元二次方程🔥
七上数学必会-整体代入法求值🔥
2024-07-31 15:57
七上数学必会-整体代入法求值🔥
七上数学必会-整式的加减‼️
2024-07-30 22:46
七上数学必会-整式的加减‼️
七上数学必会-整式的加减🔥
2024-07-30 20:50
七上数学必会-整式的加减🔥
七上数学必会-绝对值的计算🔥
2024-07-25 13:20
七上数学必会-绝对值的计算🔥
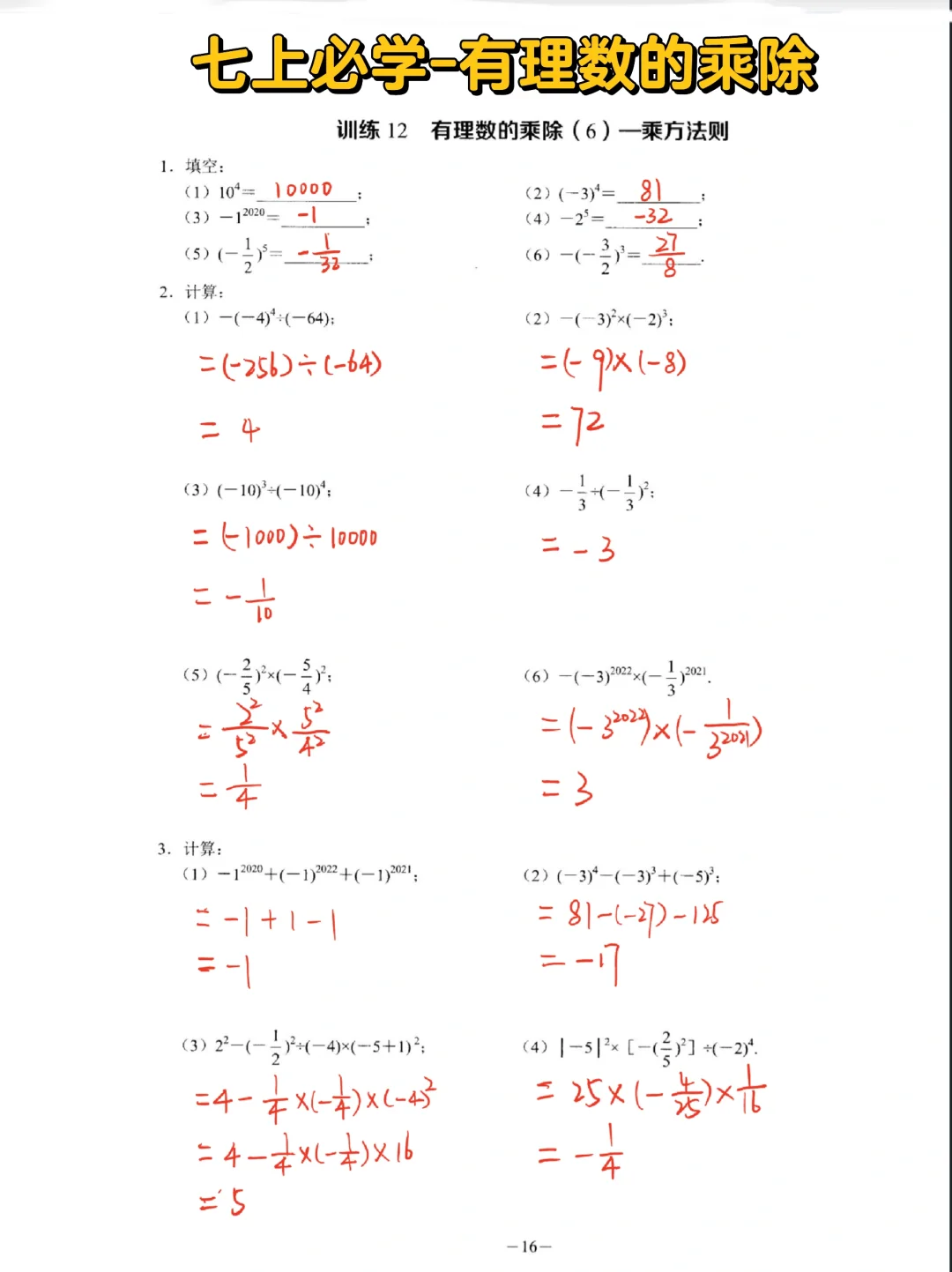
七上必学-有理数的乘除‼️
2024-07-23 13:01
七上必学-有理数的乘除‼️
七上必会-有理数的混合运算‼️
2024-07-17 12:56
七上必会-有理数的混合运算‼️
初三数学必学 一元二次方程的实际应用❗️
2024-07-16 12:44
初三数学必学 一元二次方程的实际应用❗️
中考必考-一元二次方程的解法及应用❗️
2024-07-15 12:40
中考必考-一元二次方程的解法及应用❗️
七上数学必会-有理数的乘除‼️
2024-07-14 12:15
七上数学必会-有理数的乘除‼️
初中数学必会 解一元二次方程❗️
2024-07-11 18:09
初中数学必会 解一元二次方程❗️
名校学霸必备 九上核心考点🔥
2024-07-09 20:21
名校学霸必备 九上核心考点🔥
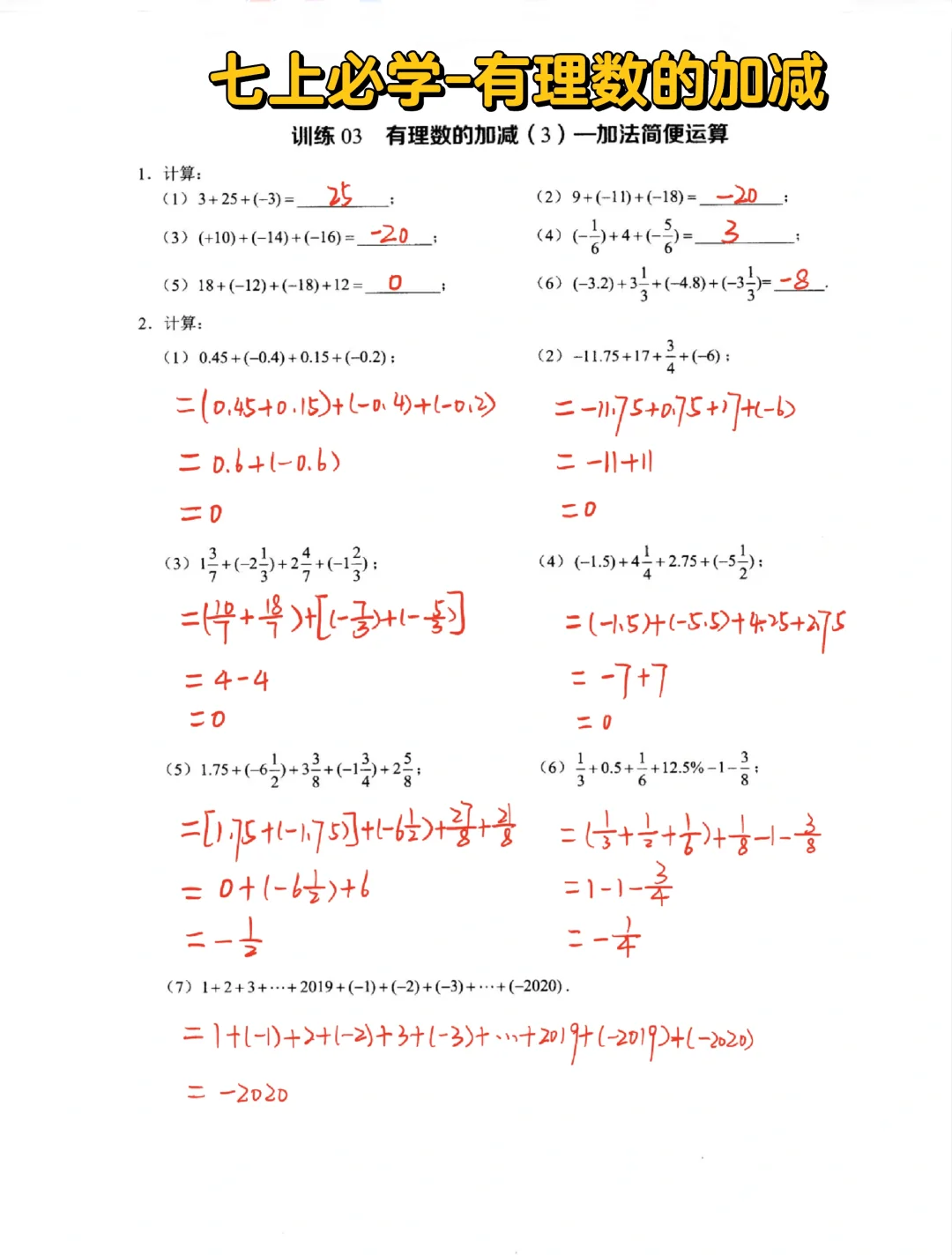
七上必学—有理数加法的简便运算‼️
2024-07-08 13:43
七上必学—有理数加法的简便运算‼️
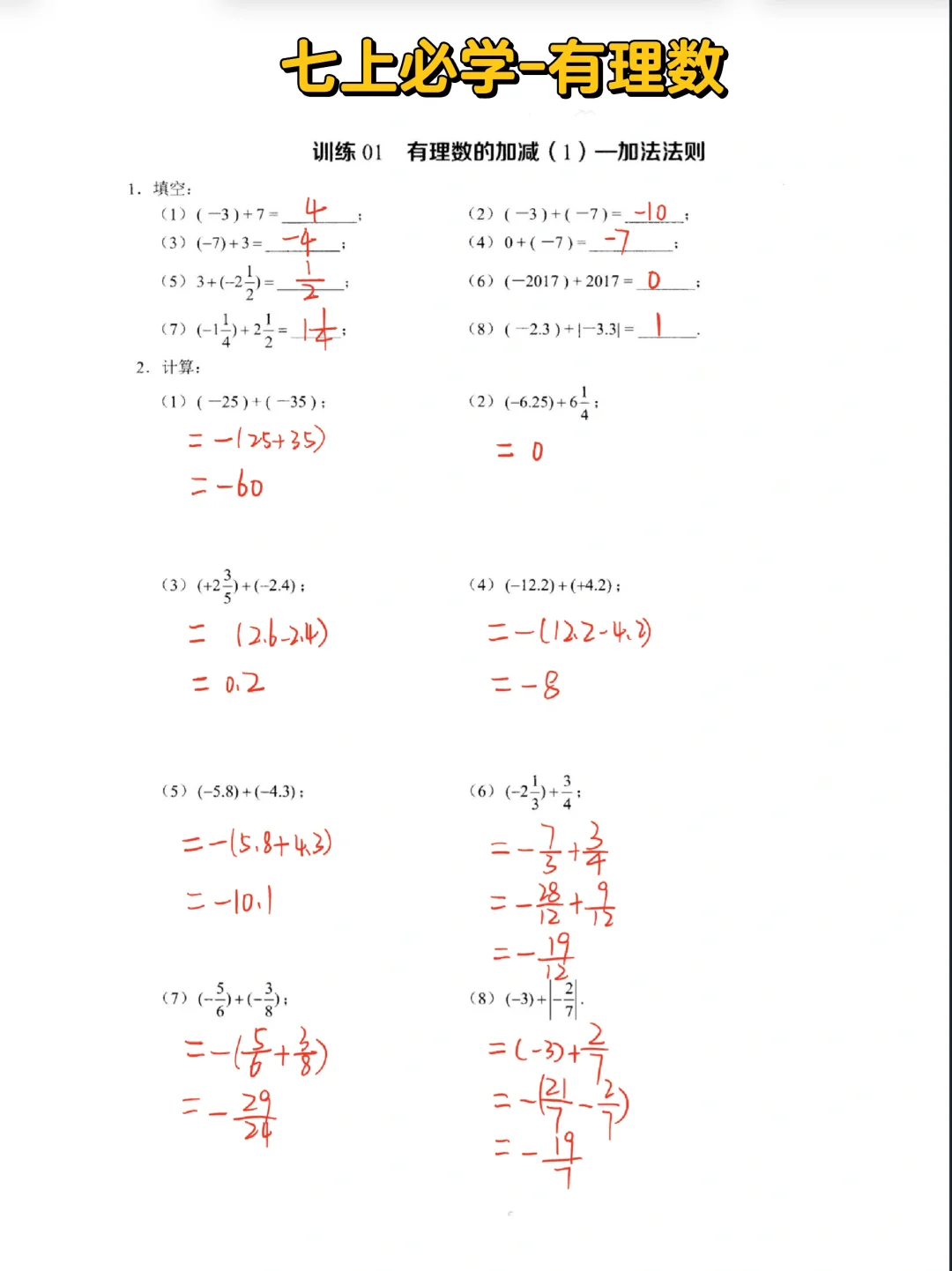
七上必学-有理数加法法则‼️
2024-07-05 18:48
七上必学-有理数加法法则‼️
第一页
下一页
作者信息
教数学的陈师傅
感谢大家的关注
分类: 教育
热门分类
推荐
热榜
军事
NBA
体育
社会
明星八卦
娱乐
财经
科技
汽车
历史
国际
游戏
动漫
公益
搞笑
商业
互联网
数码
国际足球
房产
家居
时尚
科学探索
职场
育儿
股票
教育
影视
情感
热点
中国军情
武器
中国南海
中国足球
亚洲杯
科比
综合体育
CBA
投资
楼市
大咖秀
外汇
创业
风口
SUV
豪车
概念车
优惠
新能源
美国
欧洲
朝日韩
俄罗斯
孕期
街拍
恋爱攻略
婚姻
正能量