DC娱乐网

王师的数学物理课堂的文章

写给这次大连一模22题第三问直接跳过的同学:1️⃣学会考试,为什么几何放在23?

写给这次大连一模22题第三问直接跳过的同学:1️⃣学会考试,为什么几何放在23?

写给这次大连一模22题第三问直接跳过的同学:1️⃣学会考试,为什么几何放在23?
最近好多老师看了我分享的二次函数计算推理题,开始尝试给学生讲这类题。结果发现好多

最近好多老师看了我分享的二次函数计算推理题,开始尝试给学生讲这类题。结果发现好多

最近好多老师看了我分享的二次函数计算推理题,开始尝试给学生讲这类题。结果发现好多
有没有辽阳的老师和家长和我说一下
这次一模考试你们那里的分数怎么样?
这套卷放在

有没有辽阳的老师和家长和我说一下 这次一模考试你们那里的分数怎么样? 这套卷放在

有没有辽阳的老师和家长和我说一下 这次一模考试你们那里的分数怎么样? 这套卷放在
今天批改作业发现好多学生选择题第二题都错了,主要是三视图里不知道啥时候该画虚线、

今天批改作业发现好多学生选择题第二题都错了,主要是三视图里不知道啥时候该画虚线、

今天批改作业发现好多学生选择题第二题都错了,主要是三视图里不知道啥时候该画虚线、
我评论了@王老师的数学物理课堂 的作品:
大家不要求题了,这个题目是我一个字一个

我评论了@王老师的数学物理课堂 的作品: 大家不要求题了,这个题目是我一个字一个

我评论了@王老师的数学物理课堂 的作品: 大家不要求题了,这个题目是我一个字一个
每次初三数学一模考试之后,出现新的题型都要马不停蹄的更新题库,希望这24道二次函

每次初三数学一模考试之后,出现新的题型都要马不停蹄的更新题库,希望这24道二次函

每次初三数学一模考试之后,出现新的题型都要马不停蹄的更新题库,希望这24道二次函
高三解析几何大题的练习,看看这个,初三的二次函数计算推理还麻烦吗?初中数学 思维

高三解析几何大题的练习,看看这个,初三的二次函数计算推理还麻烦吗?初中数学 思维

高三解析几何大题的练习,看看这个,初三的二次函数计算推理还麻烦吗?初中数学 思维
到底什么是二次函数计算推理题目?类似去年甘区教研发的题目,就是很典型的二次函数计

到底什么是二次函数计算推理题目?类似去年甘区教研发的题目,就是很典型的二次函数计

到底什么是二次函数计算推理题目?类似去年甘区教研发的题目,就是很典型的二次函数计
我真的不知道市面上的各种中考模拟冲刺卷质量怎么样,在中考冲刺的阶段,我从来不带学

我真的不知道市面上的各种中考模拟冲刺卷质量怎么样,在中考冲刺的阶段,我从来不带学

我真的不知道市面上的各种中考模拟冲刺卷质量怎么样,在中考冲刺的阶段,我从来不带学
到中考这段时间,几何思维不一定会提升,但是函数的计算推理一定可以练出来!中考大概

到中考这段时间,几何思维不一定会提升,但是函数的计算推理一定可以练出来!中考大概

到中考这段时间,几何思维不一定会提升,但是函数的计算推理一定可以练出来!中考大概
跟着王老师有针对性的练习几何辅助线 三角函数题目 几何证明题解题技巧 几何神辅助

跟着王老师有针对性的练习几何辅助线 三角函数题目 几何证明题解题技巧 几何神辅助

跟着王老师有针对性的练习几何辅助线 三角函数题目 几何证明题解题技巧 几何神辅助
计算推理的习题练起来,画图画到手抽筋数学函数图 几何辅助线 几何辅助线技巧 平面

计算推理的习题练起来,画图画到手抽筋数学函数图 几何辅助线 几何辅助线技巧 平面

计算推理的习题练起来,画图画到手抽筋数学函数图 几何辅助线 几何辅助线技巧 平面
说大连一模数学简单的都是扯淡!网上一堆错误答案,别被这些声音带偏了。有问题就解决

说大连一模数学简单的都是扯淡!网上一堆错误答案,别被这些声音带偏了。有问题就解决

说大连一模数学简单的都是扯淡!网上一堆错误答案,别被这些声音带偏了。有问题就解决
大连数学一模结束!
1.典型甘井子区出题风格
2.甘井子区出题真不擅长二次函数

大连数学一模结束! 1.典型甘井子区出题风格 2.甘井子区出题真不擅长二次函数

大连数学一模结束! 1.典型甘井子区出题风格 2.甘井子区出题真不擅长二次函数
挑一些重点录制每日一题,为二模冲刺吧

挑一些重点录制每日一题,为二模冲刺吧

挑一些重点录制每日一题,为二模冲刺吧
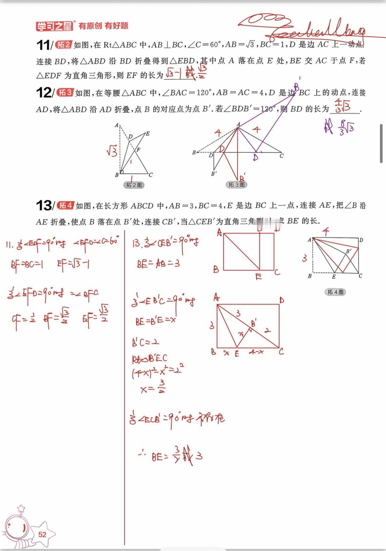
我真的做完了。。。初中数学 数学思维 数学 知识点总结

我真的做完了。。。初中数学 数学思维 数学 知识点总结

我真的做完了。。。初中数学 数学思维 数学 知识点总结
这道题我也很喜欢,考前刚带学生做了这道动矩形和抛物线有交点的问题,今天每日一题视

这道题我也很喜欢,考前刚带学生做了这道动矩形和抛物线有交点的问题,今天每日一题视

这道题我也很喜欢,考前刚带学生做了这道动矩形和抛物线有交点的问题,今天每日一题视
我喜欢沈阳浑南区的23题二次函数!那种需要真正琢磨思考,靠技巧而不是蛮算的题,做

我喜欢沈阳浑南区的23题二次函数!那种需要真正琢磨思考,靠技巧而不是蛮算的题,做

我喜欢沈阳浑南区的23题二次函数!那种需要真正琢磨思考,靠技巧而不是蛮算的题,做
视频版正在审核,等待中
全网首发,欢迎截图转发点赞总结 知识精选 必考考点 知识

视频版正在审核,等待中 全网首发,欢迎截图转发点赞总结 知识精选 必考考点 知识

视频版正在审核,等待中 全网首发,欢迎截图转发点赞总结 知识精选 必考考点 知识
万万没想到,沈阳居然出了九个区的一模考试,还有丹东、抚顺、营口等等,王老师已经快

万万没想到,沈阳居然出了九个区的一模考试,还有丹东、抚顺、营口等等,王老师已经快

万万没想到,沈阳居然出了九个区的一模考试,还有丹东、抚顺、营口等等,王老师已经快