DC娱乐网

王牌小付的文章

广厦男篮致歉声明广厦表示诚恳接受中国篮协及 CBA 公司的处罚,但官方公众号放出

广厦男篮致歉声明广厦表示诚恳接受中国篮协及 CBA 公司的处罚,但官方公众号放出

广厦男篮致歉声明广厦表示诚恳接受中国篮协及 CBA 公司的处罚,但官方公众号放出
2人因传播涉刘国梁不实信息被罚 周知。严打体育饭圈不是开玩笑的,勿谓言之不预也。

2人因传播涉刘国梁不实信息被罚 周知。严打体育饭圈不是开玩笑的,勿谓言之不预也。

2人因传播涉刘国梁不实信息被罚 周知。严打体育饭圈不是开玩笑的,勿谓言之不预也。
前两天我论述了部分民营职业篮球俱乐部生计日艰、投资规模收缩的产业现象,在业内也引

前两天我论述了部分民营职业篮球俱乐部生计日艰、投资规模收缩的产业现象,在业内也引

前两天我论述了部分民营职业篮球俱乐部生计日艰、投资规模收缩的产业现象,在业内也引
刘国梁联合国参加活动 周知。国球名宿无奈只能用这一方式变相辟谣、回击传闻了。散了

刘国梁联合国参加活动 周知。国球名宿无奈只能用这一方式变相辟谣、回击传闻了。散了

刘国梁联合国参加活动 周知。国球名宿无奈只能用这一方式变相辟谣、回击传闻了。散了

中国男足和中国男篮不时就会出现国际名帅执教成绩不及预期的情况,不少人对此的评价往

中国男足和中国男篮不时就会出现国际名帅执教成绩不及预期的情况,不少人对此的评价往
中国男篮世预赛与日本韩国同组 中国男篮的世界杯预选赛分组是妥妥的东亚四强赛。FI

中国男篮世预赛与日本韩国同组 中国男篮的世界杯预选赛分组是妥妥的东亚四强赛。FI

中国男篮世预赛与日本韩国同组 中国男篮的世界杯预选赛分组是妥妥的东亚四强赛。FI
近年来,足球、篮球、羽毛球、田径运动员跟腱断裂伤病频发,而且日趋年轻化。这不仅与

近年来,足球、篮球、羽毛球、田径运动员跟腱断裂伤病频发,而且日趋年轻化。这不仅与

近年来,足球、篮球、羽毛球、田径运动员跟腱断裂伤病频发,而且日趋年轻化。这不仅与
山西男篮冠名费接近9500万山西男篮2024年度获得了近9500万元的冠名费。根

山西男篮冠名费接近9500万山西男篮2024年度获得了近9500万元的冠名费。根

山西男篮冠名费接近9500万山西男篮2024年度获得了近9500万元的冠名费。根
掘金2比1雷霆 亚历山大本场22投7中得到18分13篮板7助攻2抢断,加时赛零出

掘金2比1雷霆 亚历山大本场22投7中得到18分13篮板7助攻2抢断,加时赛零出

掘金2比1雷霆 亚历山大本场22投7中得到18分13篮板7助攻2抢断,加时赛零出
河南男篮退出NBL联赛  民营职业体育俱乐部日益式微已成大势所趋。杨鸣指导近期直

河南男篮退出NBL联赛 民营职业体育俱乐部日益式微已成大势所趋。杨鸣指导近期直

河南男篮退出NBL联赛 民营职业体育俱乐部日益式微已成大势所趋。杨鸣指导近期直
接上一条。有民营俱乐部认为,篮协倡导各俱乐部引入归化球员,归根结底还是要为国家队

接上一条。有民营俱乐部认为,篮协倡导各俱乐部引入归化球员,归根结底还是要为国家队

接上一条。有民营俱乐部认为,篮协倡导各俱乐部引入归化球员,归根结底还是要为国家队
中国篮协已下发《入籍篮球运动员管理办法(试行)》,我下午向几家CBA俱乐部老总请

中国篮协已下发《入籍篮球运动员管理办法(试行)》,我下午向几家CBA俱乐部老总请

中国篮协已下发《入籍篮球运动员管理办法(试行)》,我下午向几家CBA俱乐部老总请
CBA总决赛 开战在即,在评论区留下你的总决赛预测,比如北京男篮4-2浙江广厦,

CBA总决赛 开战在即,在评论区留下你的总决赛预测,比如北京男篮4-2浙江广厦,

CBA总决赛 开战在即,在评论区留下你的总决赛预测,比如北京男篮4-2浙江广厦,
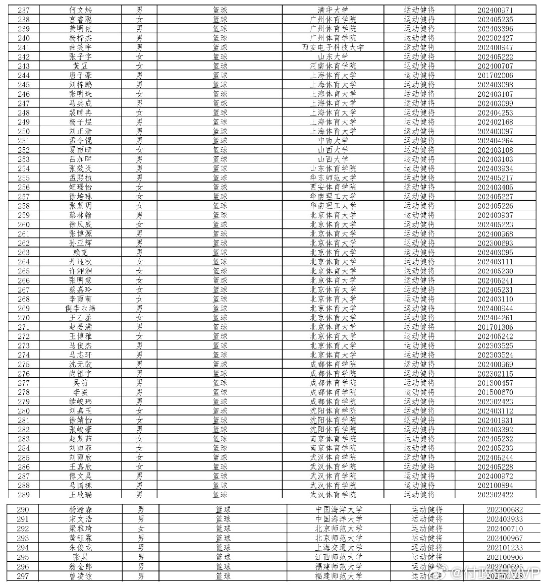
全红婵等1101名运动员保送公示本届有61名篮球运动员获得保送资格,其中,何文炜

全红婵等1101名运动员保送公示本届有61名篮球运动员获得保送资格,其中,何文炜

全红婵等1101名运动员保送公示本届有61名篮球运动员获得保送资格,其中,何文炜
有股民对上市公司山东高速(600350)贴脸开大,称高速投资篮球俱乐部这些年,投

有股民对上市公司山东高速(600350)贴脸开大,称高速投资篮球俱乐部这些年,投

有股民对上市公司山东高速(600350)贴脸开大,称高速投资篮球俱乐部这些年,投
抢七大战仅得7分!在生死战拉胯方面,哈登从未拉胯过。哈登从雷霆三少时起至今,虽然

抢七大战仅得7分!在生死战拉胯方面,哈登从未拉胯过。哈登从雷霆三少时起至今,虽然

抢七大战仅得7分!在生死战拉胯方面,哈登从未拉胯过。哈登从雷霆三少时起至今,虽然
很多人都说NBA不好看了。80后曾如痴如醉的NBA、英超等最顶级的足篮球赛事IP

很多人都说NBA不好看了。80后曾如痴如醉的NBA、英超等最顶级的足篮球赛事IP

很多人都说NBA不好看了。80后曾如痴如醉的NBA、英超等最顶级的足篮球赛事IP
李铁二审仍被判20年  去年李铁一审判决出来后不服想上诉时,我就判断:二审大概率

李铁二审仍被判20年 去年李铁一审判决出来后不服想上诉时,我就判断:二审大概率

李铁二审仍被判20年 去年李铁一审判决出来后不服想上诉时,我就判断:二审大概率
篮球国家队今年获2500万拨款    总局篮管中心2025 年支出预算为7044

篮球国家队今年获2500万拨款 总局篮管中心2025 年支出预算为7044

篮球国家队今年获2500万拨款 总局篮管中心2025 年支出预算为7044
五场比赛全部被判0-20负!全运会U22女篮资格赛结束,原本以3胜2负成绩晋级全

五场比赛全部被判0-20负!全运会U22女篮资格赛结束,原本以3胜2负成绩晋级全

五场比赛全部被判0-20负!全运会U22女篮资格赛结束,原本以3胜2负成绩晋级全