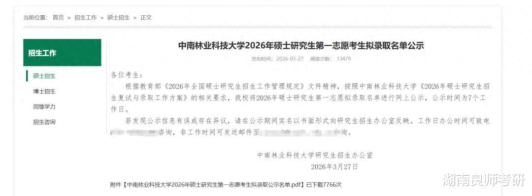
中南林业科技大学在湖南省内院校中,可以说是第一批发布复试方案,和组织复试的。
在别的院校还没组织复试的时候,中南林业科技大学在3月27日,就发布了一志愿的拟录取名单的公示,公示时间为7个工作日。

中南林业科技大学26考研一志愿拟录取名单
名单共34页,共有874名同学一志愿复试被拟录取,对比25考研一志愿拟录取(908人被拟录取)情况来看,缩招了3%。
目前,各院校陆续也将陆续发布调剂信息了,意向调剂的同学,可以开始着手了哦!
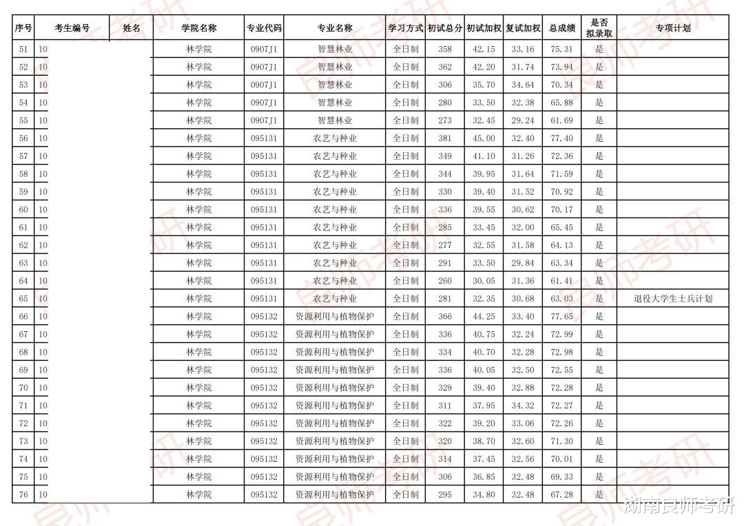
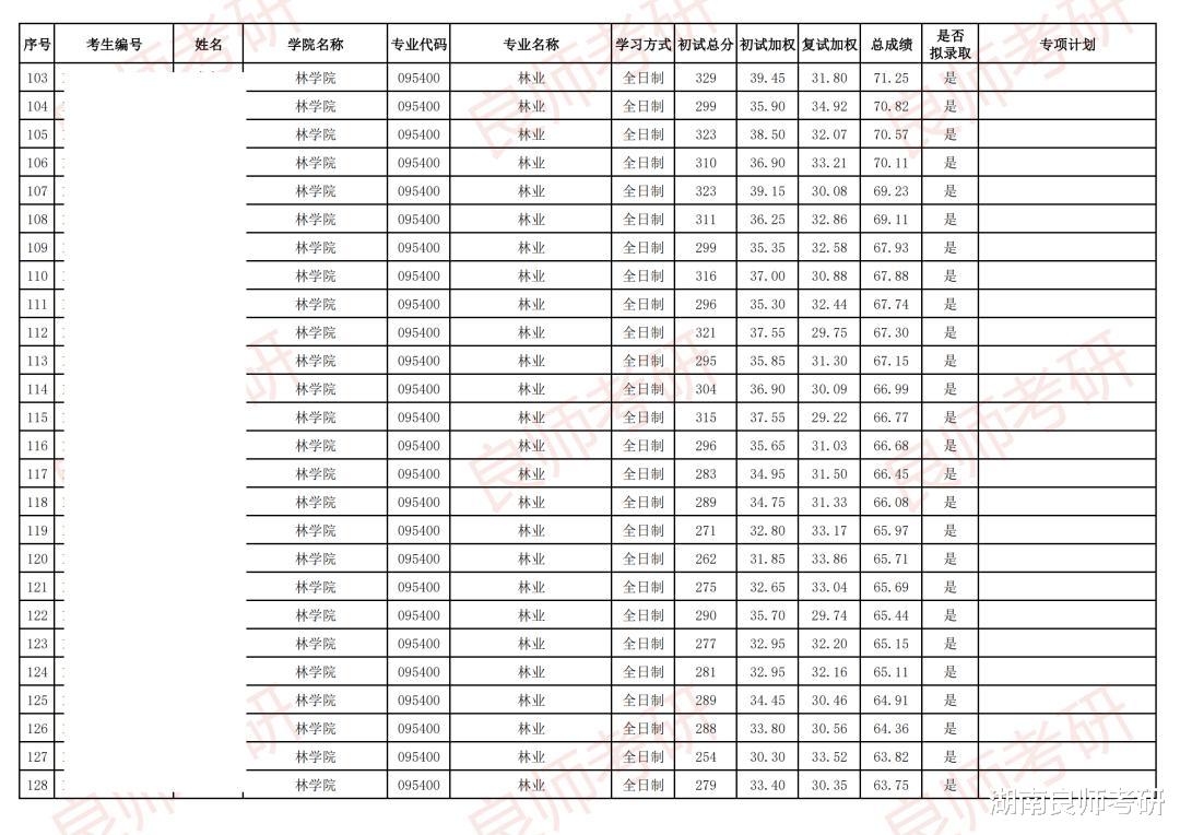
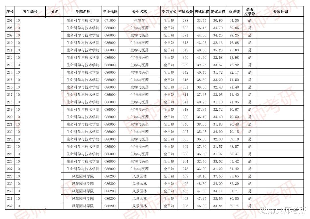
以下为中南林业科技大学26考研一志愿复试拟录取名单(部分)










中南林业科技大学在湖南省内院校中,可以说是第一批发布复试方案,和组织复试的。
在别的院校还没组织复试的时候,中南林业科技大学在3月27日,就发布了一志愿的拟录取名单的公示,公示时间为7个工作日。

中南林业科技大学26考研一志愿拟录取名单
名单共34页,共有874名同学一志愿复试被拟录取,对比25考研一志愿拟录取(908人被拟录取)情况来看,缩招了3%。
目前,各院校陆续也将陆续发布调剂信息了,意向调剂的同学,可以开始着手了哦!
以下为中南林业科技大学26考研一志愿复试拟录取名单(部分)









