
有一个有趣的问题:地球半径大约6371公里,地球赤道的周长大约40000公里。假如在地球的赤道紧紧捆住一根绳子,设半径为r,再把这根绳子加长1米,就得到一个赤道的同心圆,设半径为R。显然,R-r就是同心圆和赤道之间的缝隙,这个缝隙肯定大于零。现在问题来了,这个缝隙能否钻过一只老鼠?
如果你觉得题目有点难,那么我们可以得到一个思路,先降低难度,解决问题后再回到这个问题来思考,就容易得多。
于是,我们来解决下面这个类似的低难度问题。

这个问题容易解决。
比较2π(R+1)和2π(r+1),虽然R远远大于r,但是比较的是增量,都是2π,所以相等。实际上,出题老师问的是地球赤道周长增加1米和乒乓球周长增加一米,半径的增量哪个更大?这样问更有迷惑性。考的是思考问题的逻辑。
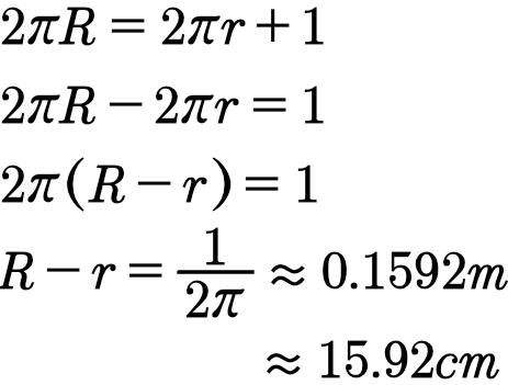
现在我们开始解题。

上图就是答案。
答案是一个常数,与r或R无关。

总结:本题看似反直觉,其实答案存在必然性。答案就藏在公式里:c=2πr
c代表圆周长,r代表圆的半径。
评论列表